Simpangan Kuartil – Pengertian, Rumus, Jangkauan antar Kuartil, dan Contoh Soal
APSiswaNavbarV2
Tesssss Tesssss
CssBlog
redesain-navbar Portlet
metablog-web Portlet
Blog
Foto oleh Lukas dari Pexels
Sobat Pintar pasti sudah kenal dengan statistika, bukan?
Statistika banyak dimanfaatkan untuk mengumpulkan data, baik data tunggal maupun data kelompok, dalam skala kecil atau skala besar. Statistika terbagi menjadi beberapa subbab, salah satunya adalah ukuran letak data.
Sobat Pintar sudah tahu belum ukuran letak data terbagi menjadi berapa macam, hayo?
Yap! Betul sekali, Sobat! Ukuran letak data meliputi kuartil, desil, dan persentil.
Nah, kali ini kita akan membahas mengenai simpangan kuartil. Sebelumnya, Sobat Pintar harus tahu cara menentukan kuartil atas dan kuartil bawah ya!
Masih ingat nggak cara menentukan kuartil?
Yuk! Kita belajar bersama untuk mengenal apa itu simpangan kuartil serta cara menentukan simpangan kuartil lewat artikel ini.
Sobat Pintar, sudah tahu belum apa sih kuartil itu?
Kuartil adalah nilai yang membagi data yang berurutan menjadi empat bagian yang sama banyak. Karena data terbagi menjadi empat bagian yang sama, artinya terdapat tiga nilai kuartil, yaitu kuartil bawah (Q1), kuartil tengah (Q2), dan kuartil atas (Q3Â).
Nah, terus apa hubungannya kuartil dengan simpangan kuartil?
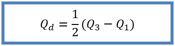
Jika kuartil merupakan salah satu jenis ukuran letak data, simpangan kuartil sendiri merupakan ukuran penyebaran data. Simpangan kuartil atau bisa disebut juga jangkauan semi antar kuartil merupakan setengah dari jangkauan antar kuartil. Istilah lain dari simpangan kuartil adalah deviasi kuartil atau rentang semi-interkuartil.
Seperti yang Sobat tahu nih, Jangkauan antar kuartil sendiri merupakan selisih antara kuartil atas dengan kuartil bawah. Jadi, cara untuk menentukan simpangan kuartil adalah dengan menentukan nilai dari kuartil atas dan juga kuartil bawah. Nilai dari simpangan kuartil dapat digunakan untuk melihat jarak dari kuartil dua ke kuartil satu atau ke kuartil tiga, karena sebenarnya nilai simpangan kuartil adalah rata-rata jarak dari kuartil tersebut.
Inget ya, Sobat, nilai rata-rata jarak dari kuartil ini tidak selalu benar.
Simpangan kuartil dilambangkan dengan Qd. Secara sistematis, rumus dari simpangan kuartil yaitu:
Seperti yang sudah kakak sebutkan sebelumnya, untuk menentukan simpangan kuartil, kita harus menentukan nilai dari kuartil atas dan kuartil bawah dahulu, Sobat.
Dalam menentukan nilai kuartil atas dan bawah terbagi menjadi dua cara berdasarkan data yang diketahui, yaitu data tunggal dan data kelompok.
Masih ingat cara menentukan nilai kuartil atas dan kuartil bawah dari data tunggal maupun data kelompok?
Nah biar ingat, kita latihan dulu, yuk!
Sebelum latihan soal, kalau Sobat Pintar butuh pembelajaran materi lewat video?
Â
Coba simak contoh soal berikut ya!
Diketahui data : 10, 10, 10, 11, 13, 10, 6, 2, 5, 6, 10, 3, 3, 3, 6, 6, 10, 11, 10. Simpangan kuartilnya adalah ….
Pembahasan
Urutkan data terlebih dahulu menjadi:
2, 3, 3, 3, 5, 6, 6, 6, 6, 10, 10, 10, 10, 10, 10, 10, 11, 11, 13
Kemudian bagi data menjadi 4 bagian dengan menentukan nilai kuartilnya
Jadi, simpangan kuartilnya adalah 2,5
Perhatikan tabel berikut ini!
Jangkauan semi antarkuartilnya adalah ….
Jadi, jangkauan semi antarkuartilnya adalah 1
Perhatikan tabel data berkelompok berikut!
Nilai simpangan kuartilnya adalah ….
Jadi, simpangan kuartilnya adalah 5,625
Nah, Sobat, segitu dulu nih materi dan contoh soal mengenai simpangan kuartil. Ternyata mudah, bukan? Selain materi simpangan kuartil, kalian juga bisa belajar tentang materi-materi statiska yang lebih lengkap melalui aplikasi Aku Pintar di fitur Belajar Pintar mata pelajaran Matematika. Sampai bertemu di pembahasan berikutnya, Sobat Pintar!
Sobat Pintar punya tugas yang susah?
ArtikelTerkaitV3
Dari Bangku Kuliah ke Ruang Operasi: Begini Perjalanan Seru
Halo, Sobat Pintar! Punya mimpi jadi dokter? Atau sekadar penasaran dengan perjalanan panjang yang harus dilalui sebelum bisa memakai jas putih dan stetoskop? Yuk, simak cerita seru tentang perjalanan pendidikan dan karier menjadi dokter, mulai dari kulia...
Baca Selengkapnya
4 Bulan Menuju SNBT-UTBK 2026: Strategi Belajar Kilat yang B
Hai, Sobat Pintar! Ujian SNBT-UTBK 2026 sudah di depan mata, dan kamu hanya punya waktu sekitar 4 bulan untuk mempersiapkannya. Jangan panik! Dengan strategi yang tepat, waktu 4 bulan ini bisa kamu manfaatkan sebaik mungkin untuk meraih nilai tinggi. Yuk,...
Resolusi 2026: Rahasia Sukses Siswa Pintar untuk Gapai Targe
Hai, Sobat Pintar! Sudah punya rencana buat tahun 2026? Jangan cuma jadi penonton, yuk jadi pemain utama di hidupmu dengan menyusun resolusi yang smart! Buat kamu yang masih duduk di bangku sekolah, ini saatnya mempersiapkan diri untuk kuliah dan karir im...
Hai Sobat Pintar,
Yuk Cobain Aplikasi Aku Pintar Sekarang Juga!
Jutaan siswa sudah menemukan minat, bakat dan kampus impian bersama Aku Pintar. Sekarang giliran kamu Sobat!
BannerPromoBlog