Belajar Pintar Materi SMP, SMA, SMK
BelajarPintarV3
Matematika
Barisan, Deret dan Notasi Sigma
Daftar Materi
MATERI
Notasi Sigma
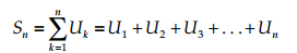
Notasi sigma yang dilambangkan dengan
adalah sebuah huruf Yunani yang artinya penjumlahan. Notasi ini digunakan untuk meringkas penulisan penjumlahan bentuk panjang dari jumlah suku-suku yang merupakan variabel berindeks atau suku-suku suatu deret.
Jumlah suatu deret aritmetika dan geometri (Sn) dapat ditulis dalam notasi sigma, yaitu:

Untuk deret aritmetika:

Untuk deret geometri:

1. 
A. -15
B. 15
C. -25
D. 25
E. 5
JAWABAN BENAR
A.
-15
PEMBAHASAN

subtitusikan langsung

2. 
A. 42
B. -42
C. 24
D. -24
E. 46
JAWABAN BENAR
A.
42
PEMBAHASAN
Oops!!!
Yah, jawaban kamu meleset nih. Ingin melihat pembahasan soal ini?
BENAR!!!
Selamat!
Jawaban kamu benar. Ingin lihat pembahasan soal ini?
footer_v3
Bersama Aku Pintar temukan jurusan kuliah yang tepat
sesuai minat dan bakatmu.
Aku Pintar memiliki visi membuat pendidikan merata, mudah dijangkau, dan terjangkau dengan Program Journey Pintar yang merupakan sebuah program persiapan lengkap bagi siswa SMA/SMK/sederajat yang ingin masuk ke perguruan tinggi impiannya.
Kontak Kami
Grand Slipi Tower Lt. 42
Jl. S. Parman Kav 22-24
Jakarta Barat
© 2024 Aku Pintar. All Rights Reserved