Belajar Pintar Materi SMP, SMA, SMK
BelajarPintarV3
Fisika
Gerak Parabola
MATERI
Pengertian Gerak Parabola (GP)


Tahukah Sobat Pintar, Apa Itu Gerak Parabola ?
Gerak Parabola merupakan resultan dari gerak lurus beraturan pada sumbu X dan gerak lurus berubah beraturan pada sumbu Y. Gerak parabola merupakan salah satu contoh gerak pada bidang dua dimensi. Contoh gerak parabola adalah gerakan peluru yang ditembakan dari sebuah meriam dengan kecepatan awal tertentu dan dengan sudut elevasi tertentu. Ternyata lintasan yang dilalui oleh peluru berupa lintasan melengkung yang disebut gerak parabola.
Untuk memahami gerak parabola terlebih dahulu kita perhatikan hasil perpaduan gerak dari sebuah benda yang melakukan dua gerakan langsung pada bidang dua dimensi. Misalnya, persamaan gerak pada :
Sumbu x : xt = 2t
Sumbu y : yt = 4t – t2
(xt dan yt dalam cm; t dalam sekon)
Untuk mengetahui bentuk lintasan hasil perpaduannya terlebih dahulu kita lihat isi tabel di bawah ini!

Jika diambil nilai t yang berdekatan, maka grafik hasil perpaduan lintasan pada sumbu x dan sumbu y terlihat seperti di bawah ini!

Persamaan gerak pada sumbu x adalah persamaan gerak lurus beraturan. Persaman gerak pada sumbu y adalah persamaan gerak lurus berubah beraturan diperlambat. Ternyata gerak hasil perpaduannya berupa gerak parabola.
Untuk membahas gerak parabola, perhatikan dulu sketsa hasil pemotretan dua benda yang bergerak dari tempat yang sama.

( Sumber: Douglas C. Giancoli, 2005)
Gambar diatas menunjukkan hasil pemotretan gerakan dua benda. Benda pertama jatuh bebas, sedangkan benda kedua dilempar dengan kecepatan awal v0 arah mendatar. Kedua benda jatuh ke bawah secara serempak. Gerakan arah vertikal mengikuti gerak lurus berubah beraturan dan gerak arah mendatar mengikuti gerak lurus beraturan. Lintasan yang dilalui oleh benda kedua adalah lintasan parabola.
Dalam tulisan berjudul Discourses On Two New Sciences, Galileo mengemukakan sebuah ide yang sangat berguna dalam menganalisis gerak parabola. Dia menyatakan bahwa gerak parabola dapat dipandang sebagai perpaduan gerak lurus beraturan pada sumbu horizontal (sumbu x) dan gerak lurus berubah beraturan pada sumbu vertikal (sumbu y) secara terpisah.
Persamaan Gerak Parabola
Sobat pintar, lanjut ke topik selanjutnya...
Tiap gerakan ini tidak saling memengaruhi tetapi gabungannya tetap menghasilkan gerak menuju ke bumi. Bagaimanakah bentuk persamaan gerak parabola tersebut? Perhatikan gambar berikut!

Gambar diatas merupakan sebuah benda yang dilempar dengan kecepatan awal v0 dan sudut kecondongan (sudut elevasi) sebesar (alfa) sehingga benda melakukan gerak parabola.
Jika kecepatan awal v0 diuraikan pada sumbu x dan sumbu y di dapat v0x dan v0y dimana :

Nah Sobat, untuk selanjutnya mari kita bahas dulu gerakan benda pada sumbu x dan sumbu yaaa...
Gerakan Benda pada Sumbu x dan Sumbu y
Gerak pada Sumbu x (Gerak Lurus Beraturan)
Kecepatan awal adalah 
Karena gerak pada sumbu x adalah gerak lurus beraturan, maka kecepatan setelah t adalah :

Perpindahan yang ditempuh setelah t adalah :

Gerak pada Sumbu y (Gerak Lurus Berubah Beraturan)
Gerak pada sumbu y selalu mendapatkan percepatan ay = -g dimana g adalah percepatan gravitasi.
Kecepatan setelah t adalah Vty = V0y – g.t

Perpindahan yang ditempuh setelah t adalah:

Tempat Kedudukan Setiap Saat (TK)
Tempat kedudukan benda setiap saat dinyatakan dengan koordinat TK = (Xt, Yt)
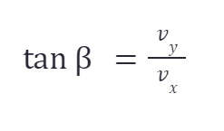
Kecepatan dan Arah Kecepatan Setiap Saat
Kecepatan benda setiap saat merupakan resultan dari kecepatan benda pada arah sumbu x dan kecepatan benda pada arah sumbu y, sehingga kecepatan benda setiap saat :

Jika arah kecepatan benda setiap saat dinyatakan dengan B, maka :

Kedudukan Benda pada Gerak Parabola
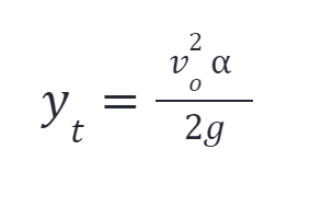
1. Kedudukan Benda di Tempat Tertinggi
Pada saat benda berada di tempat tertinggi (di titik A) arah kecepatan mendatar sehingga :

Dengan demikian, waktu yang diperlukan untuk mencapai tempat tertinggi :

Pada saat benda mencapai tinggi maksimum, maka jarak mendatar yang ditempuh:

Tinggi maksimum yang dicapai :

2. Kedudukan Benda di Tempat Terjauh
Pada saat benda di tempat terjauh (di titik B) maka Yt = 0

Waktu yang diperlukan oleh sebuah benda untuk mencapai tempat terjauh :

Nilai tersebut dua kali dari nilai waktu yang diperlukan benda untuk mencapai tempat tertinggi. Jarak mendatar yang ditempuh pada saat mencapai tempat terjauh :

Penerapan Gerak Parabola dalam Kehidupan Sehari-hari
Sobat pintar, mengapa sih kok kita perlu mempelajari konsep gerak parabola?
Ternyata, gerak parabola ini banyak sekali loh peranannya dalam kehidupan sehari-hari.
Gerak parabola dikenal dengan sebutan gerak peluru karena gerak ini mirip dengan peluru yang ditembakkan yang dipengaruhi oleh percepatan gravitasi yang menyebabkan gerak benda tersebut menjadi melengkung. Pada gerakan parabola ini gesekan antara benda dan udara diabaikan.
Kasus contoh gerak parabola dalam kehidupan sehari-hari dilihat dari awal bergeraknya benda dibagi menjadi dua, yaitu :
- Benda yang bergerak dengan sudut elevasi tertentu yang mencapai sumbu-y kemudian turun kembali
- Benda yang dijatuhkan dari ketinggian tertentu dengan keadaan benda tersebut ikut bergerak sebelum dijatuhkan sehingga benda memiliki kecepatan arah-x.
Untuk mengetahui lebih lengkapnya, yuk simak penjelasannya...
1. Gerak Parabola pada Kegiatan Olahraga
Kasus yang pertama adalah sering dijumpai dalam kegiatan olahraga, contoh nya lemparan bola basket, pukulan bola golf, tendangan melambung pada pertandingan sepak bola, dan masih banyak lagi.

Pada gambar tersebut bola basket dilempar ke atas dengan sudut elevasi tertentu dan pada sudut tertinggi bola basket hanya memiliki kecepatan pada arah-x sehingga bola membentuk lintasan parabola.
2. Gerak Parabola pada Rudal yang dijatuhkan oleh Pesawat Tempur

Pesawat bergerak ke kanan sehingga memberikan kecepatan awal benda hanya arah sumbu-x yang menyebabkan benda bergerak parabola yang pada kasus menjatuhkan rudal ini hanya seperempat lingkaran saja. Selain itu, efek dari gravitasi dengan benda yang bergerak dengan kecepatan awal arah x yang menyebabkan benda bergerak secara parabola.
Oke, sobat pintar sudah memahami gerak parabola beserta penerapannya, kan? Untuk mengetahui pemahaman kalian, yuk kerjakan latihan nya yaa!
1.
Jawablah pertanyaan berikut!
Redy melempar bola basket dengan kecepatan 20 m/s dan sudut elevasi 30o. Waktu yang dibutuhkan bola basket untuk sampai di titik tertinggi adalah… (g = 10 m/s2)
A. 1 sekon
B. 2 sekon
C. 3 sekon
D. 4 sekon
E. 5 sekon
JAWABAN BENAR
A.
1 sekon
PEMBAHASAN
Menghitung waktu untuk mencapai ketinggian maksimum:
Rumus: t = v0 sin / g
t= 20 sin 30o/ 10
t = 20. (0,5) / (10) = 1 sekon
2.
Jawablah pertanyaan berikut!
Jika sebuah selang air menyemprotkan air ke atas dengan kecepatan 10 m/s pada sudut 37o , berapakah jarak tempuh maksimum air tersebut!
A. 3,6 meter
B. 4,2 meter
C. 5,6 meter
D. 7,2 meter
E. 9,6 meter
JAWABAN BENAR
E.
9,6 meter
PEMBAHASAN

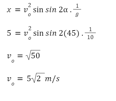
3.
Jawablah pertanyaan berikut dengan benar!
Eko menendang bola di lapangan Lidah dengan sudut elevasi 45o. Jatuhnya bola memiliki jarak horizontal 5 meter. Berapakah kecepatan awal tendangan Eko jika percepatan gravitasi 10 m/s2?
A. 5 m/s
B. 5 akar 2 m/s
C. 2 m/s
D. 2 akar 5 m/s
E. 5 akar 5 m/s
JAWABAN BENAR
B.
5 akar 2 m/s
PEMBAHASAN

4.
Jawablah pertanyaan berikut!
Dedi menendang bola dengan kecepatan 40 m/s yang membentuk sudut elevasi 53o. Berapakah waktu yang dibutuhkan bola untuk sampai di titik tertinggi ? (g = 10 m/s2).
A. 3,2 sekon
B. 3,6 sekon
C. 4,2 sekon
D. 4,8 sekon
E. 5,4 sekon
JAWABAN BENAR
A.
3,2 sekon
PEMBAHASAN

5.
Jawablah pertanyaan berikut!
Dimas menendang bola dengan kecepatan awal 5 m/s dan membentuk sudut 37o. Berapakah ketinggian maksimum dari tendangan bola Dimas ?
A. 0,36 meter
B. 0,45 meter
C. 0,56 meter
D. 0,64 meter
E. 0,75 meter
JAWABAN BENAR
B.
0,45 meter
PEMBAHASAN

Oops!!!
Yah, jawaban kamu meleset nih. Ingin melihat pembahasan soal ini?
BENAR!!!
Selamat!
Jawaban kamu benar. Ingin lihat pembahasan soal ini?
footer_v3
Bersama Aku Pintar temukan jurusan kuliah yang tepat
sesuai minat dan bakatmu.
Aku Pintar memiliki visi membuat pendidikan merata, mudah dijangkau, dan terjangkau dengan Program Journey Pintar yang merupakan sebuah program persiapan lengkap bagi siswa SMA/SMK/sederajat yang ingin masuk ke perguruan tinggi impiannya.
Kontak Kami
Grand Slipi Tower Lt. 42
Jl. S. Parman Kav 22-24
Jakarta Barat
© 2024 Aku Pintar. All Rights Reserved