Belajar Pintar Materi SMP, SMA, SMK
BelajarPintarV3
Fisika
Getaran Harmonis Sederhana
MATERI
Pengertian Getaran Harmonis


Sumber: http://poiemastudio.blogspot.com/
Gerak harmonik merupakan gerak sebuah benda dimana grafik posisi partikel sebagai fungsi waktu berupa sinus (dapat dinyatakan dalam bentuk sinus atau kosinus). Gerak semacam ini disebut gerak osilasi atau getaran harmonik. Contoh lain sistem yang melakukan getaran harmonik, antara lain, dawai pada alat musik, gelombang radio, arus listrik AC, dan denyut jantung. Galileo diduga telah mempergunakan denyut jantungnya untuk pengukuran waktu dalam pengamatan gerak.

Sumber: https://fisikazone.com/
Gerak benda pada lantai licin dan terikat pada pegas untuk posisi normal (a), teregang (b), dan tertekan (c).
Memahami Getaran Harmonis

Sobat Pintar, untuk memahami getaran harmonik, kita dapat mengamati gerakan sebuah benda yang diletakkan pada lantai licin dan diikatkan pada sebuah pegas . Anggap mula-mula benda berada pada posisi X = 0 sehingga pegas tidak tertekan atau teregang. Posisi seperti ini dinamakan posisi keseimbangan. Ketika benda ditekan ke kiri (X = –) pegas akan mendorong benda ke kanan, menuju posisi keseimbangan. Sebaliknya jika benda ditarik ke kanan, pegas akan menarik benda kembali ke arah posisi keseimbangan (X = +).
Gaya yang dilakukan pegas untuk mengembalikan benda pada posisi keseimbangan disebut gaya pemulih. Besarnya gaya pemulih menurut Robert Hooke dirumuskan sebagai berikut:
Fp = - kX
Tanda minus menunjukkan bahwa gaya pemulih selalu pada arah yang berlawanan dengan simpangannya. Jika kita gabungkan persamaan di atas dengan hukum II Newton, maka diperoleh persamaan berikut:

Terlihat bahwa percepatan berbanding lurus dan arahnya berlawanan dengan simpangan. Hal ini merupakan karakteristik umum getaran harmonik.
Syarat suatu gerak dikatakan getaran harmonik, antara lain:
1. Gerakannya periodik (bolak-balik).
2. Gerakannya selalu melewati posisi keseimbangan.
3. Percepatan atau gaya yang bekerja pada benda sebanding dengan posisi/simpangan benda.
4. Arah percepatan atau gaya yang bekerja pada benda selalu mengarah ke posisi keseimbangan.
Periode dan Frekuensi Getaran Harmonis

Periode dan Frekuensi Sistem Pegas
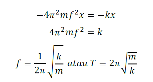
Kita telah mempelajari gerak melingkar beraturan di kelas X. Pada dasarnya, gerak harmonik merupakan gerak melingkar beraturan pada salah satu sumbu utama. Oleh karena itu, periode dan frekuensi pada pegas dapat dihitung dengan menyamakan antara gaya pemulih (F = - kX) dan gaya sentripetal (F=-4 phi2mf2X).

Periode dan frekuensi sistem beban pegas hanya bergantung pada massa dan konstanta gaya pegas.
Periode dan Frekuensi Bandul Sederhana
Sebuah bandul sederhana terdiri atas sebuah beban bermassa m yang digantung di ujung tali ringan (massanya dapat diabaikan) yang panjangnya l. Jika beban ditarik ke satu sisi dan dilepaskan, maka beban berayun melalui titik keseimbangan menuju ke sisi yang lain. Jika amplitudo ayunan kecil, maka bandul melakukan getaran harmonik. Periode dan frekuensi getaran pada bandul sederhana sama seperti pada pegas. Artinya, periode dan frekuensinya dapat dihitung dengan menyamakan gaya pemulih dan gaya sentripetal.

Sumber: https://www.myrightspot.com/

Periode dan frekuensi bandul sederhana tidak bergantung pada massa dan simpangan bandul, tetapi hanya bergantung pada panjang tali dan percepatan gravitasi setempat.
Persamaan Getaran Harmonis

Persamaan getaran harmonik diperoleh dengan memproyeksikan gerak melingkar terhadap sumbu untuk titik yang bergerak beraturan.
Simpangan Getaran Harmonik
Simpangan getaran harmonik sederhana dapat dianggap sebagai proyeksi partikel yang bergerak melingkar beraturan pada diameter lingkaran. Gambar dibawah melukiskan sebuah partikel yang bergerak melingkar beraturan dengan kecepatan sudut dan jari-jari A. Anggap mula-mula partikel berada di titik P.

Proyeksi gerak melingkar beraturan terhadap sumbu Y merupakan getaran harmonik sederhana.
Perhatikan gambar diatas. Setelah selang waktu t partikel berada di titik Q dan sudut yang ditempuh adalah:

Proyeksi titik Q terhadap diameter lingkaran (sumbu Y) adalah titik Qy. Jika garis OQy kita sebut y yang merupakan simpangan gerak harmonik sederhana, maka kita peroleh persamaan sebagai berikut:
![]()
Besar sudut dalam fungsi sinus disebut sudut fase. Jika partikel mula-mula berada pada posisi sudut, maka persamaannya dapat dituliskan sebagai berikut:
![]()
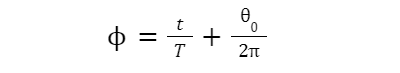
Sudut fase getaran harmoniknya adalah sebagai berikut:
Maka fase getaran harmonik adalah sebagai berikut:

Apabila sebuah benda bergetar harmonik mulai dari t = t1 hingga t = t2, maka beda fase benda tersebut adalah sebagai berikut:

Beda fase dalam getaran harmonik dinyatakan dengan nilai mulai dari nol sampai dengan satu. Bilangan bulat dalam beda fase dapat dihilangkan, misalnya beda fase 2 seperempat ditulis sebagai beda fase seperempat.
Kecepatan Getaran Harmonik
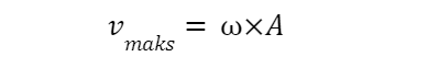
Kecepatan benda yang bergerak harmonik sederhana dapat diperoleh dari turunan pertama persamaan simpangan.

Mengingat nilai maksimum dari fungsi cosinus adalah satu, maka kecepatan maksimum (vmaks) gerak harmonik sederhana adalah sebagai berikut:

Percepatan Getaran Harmonik
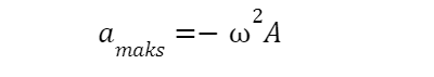
Percepatan benda yang bergerak harmonik sederhana dapat diperoleh dari turunan pertama persamaan kecepatan atau turunan kedua persamaan simpangan.

Karena nilai maksimum dari simpangan adalah sama dengan amplitudonya (y = A), maka percepatan maksimumnya (amaks) gerak harmonik sederhana adalah sebagai berikut:

Energi Getaran Harmonis

Energi Kinetik Gerak Harmonik
Cobalah kita tinjau lebih lanjut energi kinetik dan kecepatan gerak harmoniknya.


Jadi, energi kinetik maksimum pada gerak harmonik dicapai ketika berada di titik setimbang. Sedangkan energi kinetik minimum dicapai ketika berada di titik balik.
Energi Potensial Gerak Harmonik
Besar gaya yang bekerja pada getaran harmonik selalu berubah yaitu berbanding lurus dengan simpangannya (F = ky). Secara matematis energi potensial yang dimiliki gerak harmonik dirumuskan sebagai berikut:
1.
Jawablah pertanyaan berikut ini!
Sebuah pegas memiliki tetapan 5 N/m. Berapakah massa beban yang harus digantungkan agar pegas bertambah panjang 98 mm?
A. 50 gram
B. 100 gram
C. 150 gram
D. 200 gram
E. 250 gram
JAWABAN BENAR
A.
50 gram
PEMBAHASAN

2.
Jawablah pertanyaan berikut ini!
Sebuah pegas memiliki tetapan 5 N/m. Berapakah periodenya jika beban tersebut digetarkan?
A.

B.

C.

D.

E.

JAWABAN BENAR
D.
PEMBAHASAN

3.
Jawablah pertanyaan berikut ini!
Simpangan x dari sebuah getaran partikel diberikan oleh persamaan:

di mana x dalam cm dan t dalam sekon. Tentukan frekuensi pada persamaan tersebut!
A. 1,0 Hz
B. 1,5 Hz
C. 2,0 Hz
D. 2,5 Hz
E. 2,8 Hz
JAWABAN BENAR
B.
1,5 Hz
PEMBAHASAN
Secara umum

Maka

4.
Jawablah pertanyaan berikut ini!
Tentukan posisi partikel saat t 2 s pada persamaan:

di mana x dalam cm dan t dalam sekon
A. 0,62 cm
B. 0,84 cm
C. 1,20 cm
D. 1,28 cm
E. 2,40 cm
JAWABAN BENAR
A.
0,62 cm
PEMBAHASAN
Pada saat t = 2 s maka posisi partikel:

5.
Jawablah pertanyaan berikut ini!
Sebuah benda bermassa 2 kg dihubungkan ke sebuah pegas berkonstanta gaya 40 N/m. Benda tersebut bergerak dengan kelajuan 20 cm/s. Berapakah energi total benda, ketika berada pada posisi kesetimbangan?
A. 2 x 10-2 J
B. 4 x 10-2 J
C. 6 x 10-2 J
D. 8 x 10-2 J
E. 12 x 10-2 J
JAWABAN BENAR
B.
4 x 10-2 J
PEMBAHASAN
Di titik setimbang x = 0 maka energi total benda sama dengan energi kinetiknya:

Oops!!!
Yah, jawaban kamu meleset nih. Ingin melihat pembahasan soal ini?
BENAR!!!
Selamat!
Jawaban kamu benar. Ingin lihat pembahasan soal ini?
footer_v3
Bersama Aku Pintar temukan jurusan kuliah yang tepat
sesuai minat dan bakatmu.
Aku Pintar memiliki visi membuat pendidikan merata, mudah dijangkau, dan terjangkau dengan Program Journey Pintar yang merupakan sebuah program persiapan lengkap bagi siswa SMA/SMK/sederajat yang ingin masuk ke perguruan tinggi impiannya.
Kontak Kami
Grand Slipi Tower Lt. 42
Jl. S. Parman Kav 22-24
Jakarta Barat
© 2024 Aku Pintar. All Rights Reserved