Belajar Pintar Materi SMP, SMA, SMK
BelajarPintarV3
Fisika
Getaran Harmonis Sederhana
MATERI
Pengertian Getaran


Sumber: https://vibrasiblog.blogspot.com/
Getaran adalah gerakan bolak-balik benda yang terjadi di sekitar titik keseimbangan. Kuat atau lemahnya getaran yang terjadi dipengaruhi oleh besar kecilnya energi yang menyebabkan getaran tersebut. Gerakan bolak balik ini terjadi secara teratur dan karena itu sering juga disebut gerak periodik. Satu getaran adalah satu kali bolak balik penuh dari benda tersebut.
Contoh sederhana dari getaran adalah cara kerja ayunan. Dalam fisika getaran berhubungan erat dengan gelombang. Gelombang adalah hasil dari getaran yang merambat baik melalui medium tertentu atau tanpa medium.
Klasifikasi Jenis Getaran


Sumber: http://fadhilluthfi.blogspot.com/
Getaran Bebas
Getaran bebas adalah getaran yang terjadi karena sistem mekanis oleh gaya awal yang bekerja pada sistem tersebut, kemudian dibiarkan bergetar secara besar hingga akhirnya berhenti. Jadi getaran bebas menghasilkan frekuensi natural karena sifat dinamika (pergerakan) hanya didapatkan dari distribusi massa dan kekuatan oleh energi yang menjadi penyebab getaran tersebut. Contohnya adalah bandul atau pegas yang digerakkan kemudian ditunggu sampai pergerakan bandul atau pegas tersebut berhenti.
Getaran Paksa
Gerakan Paksa adalah getaran yang terjadi karena adanya gaya luar yang bekerja pada suatu sistem secara paksa sehingga sistem tersebut bergetar. Contohnya adalah getaran yang terjadi pada bangunan ketika terjadi gempa bumi.
Besaran Fisika pada Getaran

Frekuensi
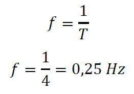
Secara umum frekuensi adalah besaran ukuran jumlah putaran ulang suatu peristiwa dalam waktu tertentu. Dalam getaran, frekuensi adalah jumlah getaran yang melewati titik tertentu dalam satu detik. Satuan internasional yang dipakai untuk frekuensi adalah Hertz (Hz). Simbol yang digunakan untuk melambangkan frekuensi adalah f (huruf kecil). Dapat dinyatakan dengan persamaan:

dengan:
n = jumlah getaran
t = waktu (s)
T = periode (s)
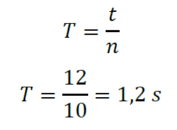
Periode
Secara umum Periode adalah waktu yang ditempuh untuk melakukan suatu peristiwa. Dalam getaran, periode adalah waktu yang diperlukan untuk menempuh satu satu getaran. Satuan yang sering digunakan untuk periode adalah detik atau sekon (s). Simbol yang digunakan untuk melambangkan periode adalah T (huruf besar). Dapat dinyatakan dengan persamaan:

dengan:
n = jumlah getaran
t = waktu (s)
f = frekuensi (Hz)
Simpangan Getaran dan Amplitudo
Simpangan adalah posisi getaran partikel media dari titik keseimbangan. Simpangan terjauh pada sebuah getaran disebut dengan Amplitudo. Satuan Internasional untuk simpangan adalah meter (m).
1.
Jawablah pertanyaan berikut ini!
Terdapat sebuah bandul yang mempunyai getaran sebanyak 60 Kali dengan waktu selama 15 detik. Maka dari itu hitunglah jumlah Frekuensi Bandul tersebut?
A. 2 Hertz
B. 4 Hertz
C. 6 Hertz
D. 8 Hertz
E. 10 Hertz
JAWABAN BENAR
B.
4 Hertz
PEMBAHASAN

Sehingga nilai dari Frekuensi bandul tersebut sebesar 4 Hertz.
2.
Jawablah pertanyaan berikut ini!

Dari gambar diatas, sebuah benda diikat tali panjang berayun harmonis hingga membentuk suatu getaran. Lintasan A ke B ditempuh benda dalam waktu 1 detik, tentukan banyaknya getaran yang terjadi dalam 1 menit!
A. 5 getaran
B. 10 getaran
C. 15 getaran
D. 20 getaran
E. 25 getaran
JAWABAN BENAR
C.
15 getaran
PEMBAHASAN
Frekuensi getaran
Frekuensi getaran adalah kebalikan dari periode getar

Banyaknya getaran yang terjadi dalam 1 menit = 60 detik
Mencari banyak getaran
n = t x f
n = 60 x 0,25
n = 15 getaran
3.
Jawablah pertanyaan berikut ini!

Jika pegas pada kita disimpangkan sejauh 2 cm dari titik setimbangnya dan kemudian dilepaskan maka benda akan bergetar. Jika dari pengamatan diperoleh bahwa waktu untuk 10 getaran adalah 12 s. Tentukan periode getaran tersebut!
A. 0,8 s
B. 1,0 s
C. 1,2 s
D. 1,8 s
E. 2,0 s
JAWABAN BENAR
C.
1,2 s
PEMBAHASAN
Karena untuk 10 getaran diperlukan waktu 12 s maka periodenya:

4.
Jawablah pertanyaan berikut ini!
Terdapat sebuah pegas yang disimpangkan sejauh 5 cm dari titik setimbangnya dan kemudian dilepaskan maka benda akan bergetar. Berdasarkan pengamatan diperoleh bahwa waktu untuk 8 getaran adalah 10 s. Tentukan amplitudo getaran tersebut!
A. 0,8 cm
B. 1,25 cm
C. 2 cm
D. 5 cm
E. 8 cm
JAWABAN BENAR
D.
5 cm
PEMBAHASAN
Simpangan awal pada pegas akan menjadi amplitudo dari getaran pegas tersebut, jadi A = 5 cm
5.
Jawablah pertanyaan berikut ini!
Sebuah benda bergetar hingga membentuk suatu gerak harmonis dengan persamaan y = 0,5 sin 20 phi t. Tentukan frekuensi pada persamaan tersebut!
A. 5 Hz
B. 10 Hz
C. 12 Hz
D. 15 Hz
E. 20 Hz
JAWABAN BENAR
B.
10 Hz
PEMBAHASAN
Berdasarkan persamaan y = 0,5 sin 20 phi t sehingga w = 20 phi
w = 20 phi
2 phi f = 20 phi
f = 10 Hz
Oops!!!
Yah, jawaban kamu meleset nih. Ingin melihat pembahasan soal ini?
BENAR!!!
Selamat!
Jawaban kamu benar. Ingin lihat pembahasan soal ini?
footer_v3
Bersama Aku Pintar temukan jurusan kuliah yang tepat
sesuai minat dan bakatmu.
Aku Pintar memiliki visi membuat pendidikan merata, mudah dijangkau, dan terjangkau dengan Program Journey Pintar yang merupakan sebuah program persiapan lengkap bagi siswa SMA/SMK/sederajat yang ingin masuk ke perguruan tinggi impiannya.
Kontak Kami
Grand Slipi Tower Lt. 42
Jl. S. Parman Kav 22-24
Jakarta Barat
© 2024 Aku Pintar. All Rights Reserved