Belajar Pintar Materi SMP, SMA, SMK
BelajarPintarV3
Fisika
Usaha dan Energi
MATERI
Pengertian Energi


Sumber: https://docplayer.info/
Energi sering juga disebut dengan tenaga. Dalam kehidupan sehari-hari energi dihubungkan dengan gerak, misal orang yang energik artinya orang yang selalu bergerak tidak pernah diam. Energi dihubungkan juga dengan kerja, Jadi:
Energi didefinisikan sebagai kemampuan untuk melakukan kerja.
Dalam Fisika energi dihubungkan dengan gerak, yaitu kemampuan untuk melakukan kerja mekanik. Energi di alam adalah besaran yang kekal, dengan sifat-sifat sebagai berikut:
- Transformasi energi: energi dapat diubah menjadi energi bentuk lain, tidak dapat hilang misal energi pembakaran berubah menjadi energi penggerak mesin
- Transfer energi: energi dapat dipindahkan dari suatu benda kebenda lain atau dari sistem ke sistem lain, misal kita memasak air, energi dari api pindah ke air menjadi energi panas, energi panas atau kalor dipindah lagi ke uap menjadi energi uap
- Kerja: energi dapat dipindah ke sistem lain melalui gaya yang menyebabkan pergeseran, yaitu kerja mekanik
- Energi tidak dapat dibentuk dari nol dan tidak dapat dimusnahkan
Sumber-sumber energi yang banyak digunakan dalam kehidupan sehari-hari misalnya: energi minyak bumi, energi batubara, energi air terjun, energi nuklir dan energi kimia.
Macam - Macam Energi

Sobat Pintar, lalu apa saja macam-macam energi itu, mari simak kakak berikut
a. Energi Potensial Gravitasi
Energi potensial adalah energi yang dimiliki akibat kedudukan benda tersebut terhadap bidang acuannya. Sedangkan yang dimaksud dengan bidang acuan adalah bidang yang diambil sebagai acuan tempat benda mempunyai energi potensial sama dengan nol. Sebagai contoh dari energi potensial, adalah energi pegas yang diregangkan, energi karet ketapel, energi air terjun.
Energi Potensial gravitasi suatu benda yang bermassa m dan berada di dalam medan gravitasi benda lain yang bermassa M (dalam kasus ini diambil bumi yang bermassa M)

Dengan titik acuan di tak hingga, dimana:
G = tetapan gravitasi umum = 6,67 x 10-11 Nm2/kg2
M = massa bumi
m = massa benda
r = jarak benda dari pusat bumi
Apabila permukaan bumi sebagai bidang potensial nol dan ketinggian tidak melebihi 1000 km (percepatan gravitasi tidak terlalu berbeda, dianggap konstan), perumusan energi potensial, secara matematis dapat ditulis:
Ep = m g h
Keterangan :
Ep = energi potensial (joule)
m = massa benda (kg)
g = percepatan gravitasi (m/s2)
h = ketinggian dari muka bumi (m)
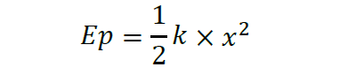
b. Energi Potensial Pegas
Energi potensial pegas adalah energi potensial karena adanya tarikan atau penekanan pegas atau kemampuan suatu benda yang dihubungkan dengan pegas untuk berada pada suatu tempat karena panjang pegas berubah sepanjang x.

Dimana:
Ep = energi potensial pegas (joule)
k = konstanta pegas (N/m)
x = perubahan panjang pegas (m)
c. Energi Kinetik
Sebuah benda yang bermassa m dan bergerak dengan laju v, mempunyai energi kinetik sebesar Ek dengan kata lain, energi kinetik suatu benda adalah energi yang dipunyai benda yang bergerak. Berarti setiap benda yang bergerak, mempunyai energi kinetik Ek, secara matematis, energi kinetik dapat ditulis sebagai:

Dimana:
m = massa benda (kg)
v = laju benda (m/s)
Ek = energi kinetik (joule)
d. Energi Mekanik
Energi mekanik secara sederhana dapat diartikan sebagai jumlah antara energi potensial dan energi kinetik pada suatu benda ketika melakukan usaha. Hal ini berarti, energi mekanik adalah energi suatu benda yang disebabkan karena gerakan, posisi atau kedua duanya nya. Sesuai dengan pengertian energi mekanik di atas, persamaan rumus energi mekanik dapat ditulis sebagai berikut:

Keterangan:
EM = energi mekanik
EP = energi potensial
EK = energi kinetik
Energi mekanik berkaitan langsung dengan hukum kekekalan energi. Hukum kekekalan energi berbunyi:
“Energi tidak dapat diciptakan ataupun dimusnahkan, energi hanya dapat diubah bentuk dari bentuk energi satu ke bentuk energi yang lain".
1.
Jawablah pertanyaan berikut ini!
Sebuah tongkat yang panjangnya 40 cm dan tegak di atas permukaan tanah dijatuhi martil 10 kg dari ketinggian 50 cm di atas ujungnya. Bila gaya tahan rata-rata tanah 103 N, maka banyaknya tumbukan martil yang perlu dilakukan terhadap tongkat agar menjadi rata dengan permukaan tanah adalah...
A. 4 kali
B. 5 kali
C. 6 kali
D. 8 kali
E. 10 kali
JAWABAN BENAR
D.
8 kali
PEMBAHASAN
Dua rumus usaha yang terlibat disini adalah:
Pada martil:

Pada tanah oleh gaya gesekan:

Cari kedalaman masuknya tongkat (S) oleh sekali pukulan martil:

Jadi sekali jatuhnya martil, tongkat masuk tanah sedalam 5 cm. Untuk tongkat sepanjang 40 cm, maka jumlah jatuhnya martil:

2.
Jawablah pertanyaan berikut ini!
Sebuah bola besi massanya 0,2 kg dilempar vertikal keatas. Energi potensial benda pada ketinggian maksimum adalah 40 J. Bila g = 10 m/s2, maka hitunglah ketinggian maksimum yang dicapai bola tersebut!
A. 10 meter
B. 20 meter
C. 30 meter
D. 40 meter
E. 50 meter
JAWABAN BENAR
B.
20 meter
PEMBAHASAN

3.
Jawablah pertanyaan berikut ini!
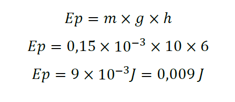
Sebuah apel bermassa 150 gr tergantung pada dahan pohon yang tingginya 6 m, berapa energi potensial apel tersebut?
A. 0,009 J
B. 0,09 J
C. 0,9 J
D. 9 J
E. 90 J
JAWABAN BENAR
A.
0,009 J
PEMBAHASAN
Diketahui:

Energi potensial yang dimiliki apel:

4.
Jawablah pertanyaan berikut ini!
Energi 4.900 Joule digunakan untuk mengangkat benda bermassa 50 kg secara vertikal. Benda akan naik setinggi ... m (g = 9,8 m/s2)
A. 9,8
B. 10
C. 24,5
D. 96
E. 98
JAWABAN BENAR
B.
10
PEMBAHASAN
Pada soal tersebut berkaitan dengan energi potensial sehingga:

5.
Jawablah pertanyaan berikut ini!
Bila gaya gesek udara dan gaya gesek dengan rel diabaikan, maka urutan titik yang memiliki energi potensial terbesar hingga energi potensial terkecil adalah...
A. A-B-C
B. D-C-E
C. A-C-B
D. B-C-A
E. E-C-D
JAWABAN BENAR
A.
A-B-C
PEMBAHASAN
Energi potensial berkaitan dengan posisi yang mempengaruhi besar energi potensial yakni massa, percepatan gravitasi dan ketinggian sehingga semakin besar ketinggian maka energi potensial semakin bertambah. Maka urutan energi potensial dari terbesar ke terkecil adalah A-B-C
Oops!!!
Yah, jawaban kamu meleset nih. Ingin melihat pembahasan soal ini?
BENAR!!!
Selamat!
Jawaban kamu benar. Ingin lihat pembahasan soal ini?
footer_v3
Bersama Aku Pintar temukan jurusan kuliah yang tepat
sesuai minat dan bakatmu.
Aku Pintar memiliki visi membuat pendidikan merata, mudah dijangkau, dan terjangkau dengan Program Journey Pintar yang merupakan sebuah program persiapan lengkap bagi siswa SMA/SMK/sederajat yang ingin masuk ke perguruan tinggi impiannya.
Kontak Kami
Grand Slipi Tower Lt. 42
Jl. S. Parman Kav 22-24
Jakarta Barat
© 2024 Aku Pintar. All Rights Reserved