Belajar Pintar Materi SMP, SMA, SMK
BelajarPintarV3
Matematika Minat
Fungsi Eksponen dan Logaritma
MATERI
Eksponen Bilangan Bulat

Halo, Sobat Pintar! Kalian pasti sudah tahu mengenai bilangan berpangkat, bukan?
Nah! Materi kali ini adalah materi lanjutan dari materi pangkat sebelumnya, Sobat!
Simak penjelasannya baik-baik, ya!
Pangkat yang disebut juga sebagai Eksponen merupakan perkalian berulang dari sebuah bilangan real. Bilangan yang berpangkat bulat meliputi bilangan dengan pangkat bulat positif, pangkat bulat negatif dan pangkat nol. Yuk simak penjelasan setiap kelompoknya di bawah ini!

PANGKAT BILANGAN BULAT POSITIF
Secara matematis, bilangan berpangkat bilangan bulat positif dapat didefinisikan sebagai berikut:

PANGKAT BILANGAN BULAT NEGATIF DAN NOL
Secara umum, bilangan berpangkat bilangan bulat negatif dapat didefinisikan sebagai berikut:

Sedangkan bilangan dengan pangkat 0 dapat ditentukan:

Catatan:
Jika a=0, maka pangkat 0 tidak memiliki arti, karena:

Eksponen Bilangan Pecahan

Bilangan dengan pangkat bilangan pecahan seringkali dikaitkan dengan bentuk akar bilangan positif.
Pengubahan bentuk pangkat pecahan ke bentuk akar maupun sebaliknya menggunakan aturan berikut:

Bagaimana Sobat? Mudah sekali, bukan? Lanjut yuk!
Notasi Ilmiah Bentuk Pangkat

Notasi ilmiah sangat bermanfaat untuk menuliskan secara singkat bilangan-bilangan yang sangat besar maupun sangat kecil.
Misalkan, kalian ingin menuliskan jumlah uang Rp 5.000.000,- akan lebih mudah kalau dituliskan menjadi 5×106 bukan?
Notasi ilmiah atau yang bisa disebut juga dengan bentuk baku dari suatu bilangan dapat dituliskan secara singkat dalam bentuk:

Catatan:
10-n berarti terdapat n angka di belakang koma, misal 10-3 = 0,001.
Sifat-Sifat Bilangan Berpangkat

Ketika melakukan operasi aljabar pada bilangan berpangkat bilangan bulat, kita dapat menggunakan sifat-sifat berikut:

Pssttt.. Kalian wajib hafal semua sifatnya ya! Kalau kalian hafal akan sangat mudah mengerjakan soal eksponennya, lho!
Persamaan Bentuk Eksponen

Tau nggak sih Sobat?
Persamaan Eksponen yaitu persamaan yang melibatkan bentuk eksponen seperti sifat-sifat eksponen dan bentuk akar yang
dihubungkan dengan tanda sama dengan sobat.
Persamaan bentuk eksponen secara sederhana, yaitu:

Untuk macam-macam persamaan eksponen bisa disimak di bawah ini ya!

Gambar di atas jangan lupa di catat di buku catatan kalian ya, Sobat pintar!
Pertidaksamaan Bentuk Eksponen

Biasanya kalau ada persamaan, ada juga pertidaksamaan kan Sobat?
Nah, sekarang yang akan kita bahas disini yaitu Pertidaksamaan Eksponen

Perlu kalian ingat bahwa apapun jenis pertidaksamaannya (termasuk pertidaksamaan eksponen), penyelesaiannya langkah-langkahnya sama antara lain :
- Menentukan akar-akarnya
- Menentukan garis bilangan dan tandanya
- Arsir daerah yang diminta
- Tentukan Himpunan Penyelesaiannya.
Persamaan bentuk eksponen secara sederhana, yaitu:



Nah! Itu semua materi dari Fungsi Eksponen, Sobat Pintar.
Sekarang kita tes pemahamanmu di latihan fungsi eksponen, yuk!
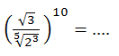
1.
Jawablah soal berikut!

A. 25/2
B. 125/2
C. 25/4
D. 125/4
E. 100
JAWABAN BENAR
D.
125/4
PEMBAHASAN

2.
Jawablah soal berikut!
Sebuah bakteri memiliki ukuran 0,000000015 mm. Bentuk baku dari ukuran bakteri tersebut adalah ....
A. 0,15 x 10-9
B. 1,5 x 10-8
C. 15 x 10-7
D. 15 x 109
E. 1,5 x 108
JAWABAN BENAR
B.
1,5 x 10-8
PEMBAHASAN
0,000000015
Bentuk baku berada diantara bilangan baku 1 sampai 9, sehingga akan kita buat menjadi bilangan 1,5
Jadi, tanda koma (,) mundur 8 kali dan menjadi pangkat negatif, maka bentuk bakunya yaitu: 1,5 x 10-8
3.
Jawablah soal berikut!

A. 243/64
B. 243/8
C. 243/4
D. 9/8
E. 9/4
JAWABAN BENAR
A.
243/64
PEMBAHASAN

4.
Jawablah soal berikut!

A. x = 4
B. x = 3
C. x = 2
D. x = 1
E. x = 0
JAWABAN BENAR
E.
x = 0
PEMBAHASAN

x2+3x-4=4
(x+4)(x-1)=4
x+4=4 atau x – 1 = 4
x=4-4 x = 4 + 1
x=0 x = 5
5.
Jawablah soal berikut!

A.

B.

C.

D.

E.

JAWABAN BENAR
C.
PEMBAHASAN

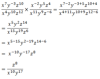
6.
Kerjakan soal berikut ini dengan benar!
![]()
A. 2/9
B. 9/4
C. 5/9
D. 7/9
E. 4/5
JAWABAN BENAR
D.
7/9
PEMBAHASAN

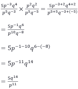
7.
Kerjakan soal berikut ini dengan tepat!

A.

B.

C.

D.

E.

JAWABAN BENAR
C.
PEMBAHASAN

Oops!!!
Yah, jawaban kamu meleset nih. Ingin melihat pembahasan soal ini?
BENAR!!!
Selamat!
Jawaban kamu benar. Ingin lihat pembahasan soal ini?
footer_v3
Bersama Aku Pintar temukan jurusan kuliah yang tepat
sesuai minat dan bakatmu.
Aku Pintar memiliki visi membuat pendidikan merata, mudah dijangkau, dan terjangkau dengan Program Journey Pintar yang merupakan sebuah program persiapan lengkap bagi siswa SMA/SMK/sederajat yang ingin masuk ke perguruan tinggi impiannya.
Kontak Kami
Grand Slipi Tower Lt. 42
Jl. S. Parman Kav 22-24
Jakarta Barat
© 2024 Aku Pintar. All Rights Reserved