Belajar Pintar Materi SMP, SMA, SMK
BelajarPintarV3
Matematika Minat
Vektor
MATERI
Penjumlahan Vektor

Kita dapat mengoperasikan vektor lho, Sobat!
Namun, operasi yang berlaku pada vektor hanya penjumlahan, pengurangan serta perkalian dengan bilangan skalar saja, Sobat.

Dalam penjumlahan dua vektor, terdapat 2 macam cara penjumlahan yang bisa sobat pintar gunakan, yaitu:
Cara Jajar Genjang
Perhatikan gambar berikut!

Cara Segitiga
Perhatikan gambar berikut ini!

Dalam menghitung penjumlahan vektor jika diketahui koordinatnya, maka :

Jika diketahui panjang vektornya dan sudut yang terbentuk adalah ß, maka dapat digunakan rumus berikut:

Pengurangan Vektor

Pengurangan dua vektor, pada dasarnya sama dengan penjumlahan kedua vektor. Namun yang membedakan adalah terdapat salah satu vektor yang memiliki arah berlawanan sehingga benilai negatif.
Misalkan:

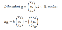
Perkalian Vektor dengan Bilangan Skalar

Perkalian antara vektor dengan skalar adalah hasil kali suatu bilangan skalar k dengan sebuah vektor a. Secara sistematis dapat dituliskan:

Catatan:

Perkalian Skalar Dua Vektor

Perkalian skalar dua vektor yaitu perkalian skalar antara vektor a dan vektor b. Perkalian skalar dua vektor dinotasikan dengan:
a • b (dibaca vektor a dot vektor b)
Perkalian skalar dua vektor dapat didefinisikan:
a • b = |a| • |b| cos ß
dengan ß merupakan sudut diantara a dan b.
Catatan:
Jika dua vektor saling tegak lurus, maka hasil perkaliannya adalah nol.
1.
Kerjakan soal berikut ini dengan benar!

A.

B.

C.

D.

E.

JAWABAN BENAR
D.
PEMBAHASAN

2.
Kerjakan soal berikut ini dengan benar!
Diberikan tiga buah vektor masing-masing sebagai berikut:
p = i + j + k
q = 2i – 3j + k
r = -2j – 3k
Jika s = 2p – q + 3r, maka nilai s adalah ….
A. i + 2j – 7k
B. -i +6k
C. 6i +7k
D. -j – 8k
E. j + 4k
JAWABAN BENAR
D.
-j – 8k
PEMBAHASAN
Diketahui :
p = i + j + k
q = 2i – 3j + k
r = -2j – 3k
Menentukan vektor s,
S = 2p – q + 3r
= 2(i + j + k) – (2i – 3j + k) + 3(-2j – 3k)
= 2i + 2j + 2k – 2i + 3j -k -6j – 9k
= 2i – 2i + 2j + 3j – 6j + 2k – k – 9k
= -j – 8k
Oops!!!
Yah, jawaban kamu meleset nih. Ingin melihat pembahasan soal ini?
BENAR!!!
Selamat!
Jawaban kamu benar. Ingin lihat pembahasan soal ini?
footer_v3
Bersama Aku Pintar temukan jurusan kuliah yang tepat
sesuai minat dan bakatmu.
Aku Pintar memiliki visi membuat pendidikan merata, mudah dijangkau, dan terjangkau dengan Program Journey Pintar yang merupakan sebuah program persiapan lengkap bagi siswa SMA/SMK/sederajat yang ingin masuk ke perguruan tinggi impiannya.
Kontak Kami
Grand Slipi Tower Lt. 42
Jl. S. Parman Kav 22-24
Jakarta Barat
© 2024 Aku Pintar. All Rights Reserved