Belajar Pintar Materi SMP, SMA, SMK
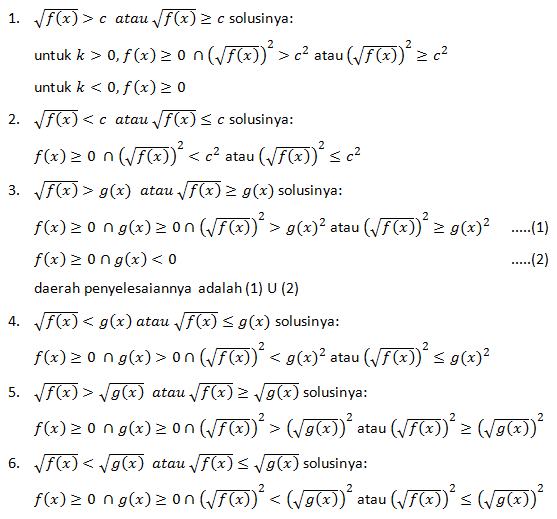
BelajarPintarV3
Matematika Wajib
Pertidaksamaan Rasional dan Irasional
MATERI
Konsep Pertidaksamaan Irasional Satu Variabel

Pertidaksamaan irasional adalah bentuk pertidaksamaan yang fungsi pembentuknya berbentuk akar, baik fungsi pada ruas kiri, ruas kanan ataupun kedua ruas.
Pertidaksamaan irasional akan terdefinisi apabila syarat akar terpenuhi yaitu fungsi dalam akar yang bernilai lebih dari atau sama dengan nol.
Langkah-langkah untuk menyelesaikan pertidaksamaan irasional yaitu:
- Penuhi syarat akar sampai diperoleh interval tertentu
- Mengkuadratkan kedua ruas, kemudian sederhanakan dengan operasi aljabar sampai diperoleh interval tertentu
- Solusi akhir berasal dari irisan antara interval syarat akar dengan interval hasil mengkuadratkan kedua ruas.
Bentuk-Bentuk Pertidaksamaan Irasional

Berikut ini bentuk-bentuk dari pertidaksamaan irasional beserta solusinya:

Contoh Soal Pertidaksamaan Irasional
CONTOH SOAL 1
![]()
Pembahasan

CONTOH SOAL 2
![]()
Pembahasan

CONTOH SOAL 3
![]()
Pembahasan

CONTOH SOAL 4
![]()
Pembahasan

CONTOH SOAL 5

Pembahasan

CONTOH SOAL 6

Pembahasan

1.
Jawablah soal berikut ini!
![]()
A.

B.

C.

D.

E.

JAWABAN BENAR
A.
PEMBAHASAN

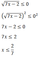
Syarat dari akar yaitu jika ada pertidaksamaan dengan bentuk akar, maka fungsi di dalam akar harus lebih dari sama dengan nol

Garis bilangannya yaitu :

Jadi, terlihat bahwa irisan dari daerah yang memenuhi adalah x=2/7.
2.
Jawablah soal berikut ini!

Nilai x yang memenuhi adalah ....
A.

B.

C.

D.

E.

JAWABAN BENAR
E.
PEMBAHASAN

Syarat dari akar yaitu jika ada pertidaksamaan dengan bentuk akar, maka fungsi di dalam akar harus lebih dari sama dengan nol
Syarat 1:

Syarat 2:

Garis bilangannya yaitu:

![]()
3.
Jawablah soal berikut ini!
![]()
A. x > 6
B. x > -6
C. x < 6
D. x < -6
E. -7/3 < x < 6
JAWABAN BENAR
A.
x > 6
PEMBAHASAN

4.
Jawablah soal berikut ini!

A.

B.

C.

D.

E.

JAWABAN BENAR
B.
PEMBAHASAN

5.
Jawablah soal berikut ini!

A.

B.

C.

D.

E.

JAWABAN BENAR
D.
PEMBAHASAN

Oops!!!
Yah, jawaban kamu meleset nih. Ingin melihat pembahasan soal ini?
BENAR!!!
Selamat!
Jawaban kamu benar. Ingin lihat pembahasan soal ini?
footer_v3
Bersama Aku Pintar temukan jurusan kuliah yang tepat
sesuai minat dan bakatmu.
Aku Pintar memiliki visi membuat pendidikan merata, mudah dijangkau, dan terjangkau dengan Program Journey Pintar yang merupakan sebuah program persiapan lengkap bagi siswa SMA/SMK/sederajat yang ingin masuk ke perguruan tinggi impiannya.
Kontak Kami
Grand Slipi Tower Lt. 42
Jl. S. Parman Kav 22-24
Jakarta Barat
© 2024 Aku Pintar. All Rights Reserved