Belajar Pintar Materi SMP, SMA, SMK
BelajarPintarV3
Matematika Wajib
Sistem Persamaan Linear Tiga Variabel
MATERI
Sistem Persamaan Linear Tiga Variabel

Sistem Persamaan Linear Tiga Variabel (SPLTV) terdiri dari dua atau lebih persamaan linear tiga variabel. SPLTV memenuhi dua syarat : variabel-variabelnya saling terkait dan variabel yang sama memiliki nilai yang sama sebagai penyelesaian dari setiap persamaan pada sistem tersebut.
Bentuk umum dari SPLTV:

Keterangan :

Contoh dari SPLTV:

Penyelesaian Sistem Persamaan Linear Tiga Variabel

Terdapat 3 kemungkinan penyelesaian dalam Sistem Persamaan Linear Tiga Variabel, yaitu tidak mempunyai penyelesaian, terdapat satu penyelesaian, dan mempunyai tak hingga penyelesaian.
Penyelesaian dari SPLTV dapat dicari dengan menggunakan beberapa cara, yaitu:
- metode eliminasi
- metode substitusi
- metode gabungan (eliminasi dan substitusi)
Berikut penjelasan dari ketiga metode tersebut:
Metode Eliminasi
Langkah-langkah untuk menyelesaikan SPLTV dengan menggunakan metode eliminasi, yaitu:
- Pilih bentuk variabel yang paling sederhana
- Eliminasi salah satu variabel, misal x, sehingga diperoleh SPLDV
- Eliminasi kembali salah satu variabel dari SPLDV tersebut, misal y, sehingga diperoleh nilai salah satu variabel
- Eliminasi variabel lainnya dari SPLDV sebelumnya, yaitu z, sehingga diperoleh nilai variabel kedua.
- Lakukan hal yang sama untuk menentukan variabel yang ketiga
Metode Substitusi
Langkah-langkah untuk menyelesaikan SPLTV dengan metode substitusi, yaitu :
- Pilih salah satu persamaan yang paling sederhana
- Nyatakan salah satu variabel sebagai fungsi variabel lain
- Gunakan variabel pada langkah kedua untuk mengganti variabel yang sama pada persamaan lainnya
- Sederhanakan hingga diperoleh SPLDV
- Selesaikan SPLDV menggunakan metode substitusi, sehingga diperoleh nilai dua variabel
- Nilai kedua variabel disubstitusikan ke salah satu persamaan dalam SPLTV, sehingga diperoleh nilai variabel yang ketiga
Metode Gabungan
Seperti yang Sobat Pintar ketahui, bahwa metode gabungan adalah metode campuran antara eliminasi dan substitusi atau sebaliknya. Seringkali kita menggunakan metode eliminasi terlebih dahulu untuk memperoleh bentuk SPLDV kemudian dilanjutkan dengan metode gabungan pada SPLDV sehingga diperoleh nilai dari dua variabel. Nilai dari kedua variabel tersebut disubstitusikan ke salah satu persamaan linear tiga variabel dari SPLTV untuk mendapatkan nilai dari variabel yang ketiga.
Aplikasi Sistem Persamaan Linear Tiga Variabel dalam Kehidupan Sehari-hari

Banyak sekali masalah dalam kehidupan sehari-hari yang bisa kita selesaikan menggunakan SPLTV loh, Sobat Pintar.
Jika kita menemukan permasalahan SPLTV dalam kehidupan sehari-hari, maka hal yang harus dilakukan adalah membuat model matematika dari permasalahan tersebut kemudian menyelesaikannya seperti biasa.
Model Matematika Sistem Persamaan Linear Tiga Variabel
Model matematika yaitu menyederhanakan masalah sehari-hari menjadi bentuk SPL, khususnya SPLTV. Langkah-langkah untuk membuat model matematika:
- Tetapkan besaran masalah pada soal sebagai variabel-variabel (nyatakan dalam huruf)
- Rumuskan hubungan sesuai dengan keterangan atau ketentuan yang ada di dalam soal
Penyelesaian Permasalahan yang Berkaitan dengan SPLTV
Langkah-langkah menyelesaikan permasalahan dalam kehidupan sehari-hari yang berkaitan dengan SPLTV:
- Menentukan besaran masalah sebagai variabel SPL
- Merumuskan sistem persamaan linear sebagai model matematika dari masalah
- Menentukan penyelesaian model matematika yang telah dirumuskan
- Menjawab masalah
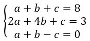
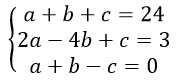
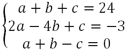
1.
Jawablah soal berikut ini!

A. -4, 5, dan -1
B. -1, 4, dan -5
C. 1, 4, dan 5
D. -1, -4, dan -5
E. 5, -1, dan 4
JAWABAN BENAR
B.
-1, 4, dan -5
PEMBAHASAN

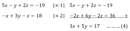
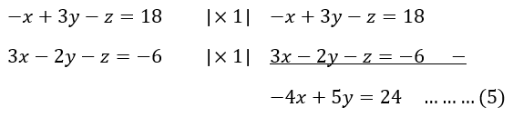
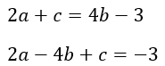
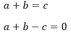
Eliminasi z dari persamaan 1 dan 2

Eliminasi z dari persamaan 2 dan 3

Eliminasi y dari persamaan 4 dan 5

Substitusi x ke persamaan 4

Substitusi x dan y ke persamaan 1

Jadi, x = -1, y = 4, z = -5
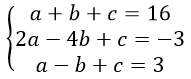
2.
Jawablah soal berikut ini!

A. 8
B. 7
C. 3
D. -2
E. -6
JAWABAN BENAR
A.
8
PEMBAHASAN

Eliminasi x dari persamaan 1 dan 2

Eliminasi x dari persamaan 2 dan 3

Eliminasi z dari persamaan 4 dan 5

Substitusi x ke persamaan 4
4×7 - z = 30
28 - z = 30
28 - 30 = z
z = -2
Substitusi y dan z ke persamaan 2
x - 7 - (-2) = -2
x - 5 = -2
x = -2 + 5
x = 3
Jadi, x + y + z = 3 + 7 + (-2) = 8
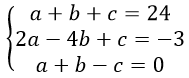
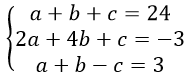
3.
Jawablah soal berikut ini!
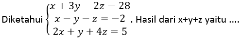
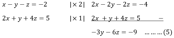
Diketahui sebuah bilangan ratusan yang terdiri dari 3 angka. Rata-rata dari angka penyusun bilangan tersebut adalah 8. Dua kali angka pertama ditambah angka ketiga sama dengan empat kali angka kedua dikurangi tiga. Angka pertama dijumlahkan dengan angka kedua sama dengan angka ketiga. Bentuk sistem persamaan linear tiga variabel yang tepat adalah ....
A.

B.

C.

D.

E.

JAWABAN BENAR
C.
PEMBAHASAN
Misal Bilangan ratusan yang terdiri dari 3 angka adalah abc
- Rata-rata dari angka penyusun bilangan tersebut adalah 8

- Dua kali angka pertama ditambah angka ketiga sama dengan empat kali angka kedua dikurangi tiga

- Angka pertama dijumlahkan dengan angka kedua sama dengan angka ketiga

Jadi, SPLTV dari soal tersebut adalah

4.
Jawablah soal berikut ini!
Sebuah konser boyband korea akan diadakan pada bulan Desember 2020 di Indonesia. Terdapat 3 macam tiket untuk konser, yaitu Bronze, Silver, Gold. Ana ingin membeli 2 tiket Bronze, 3 tiket silver dan 2 tiket Gold dengan total biaya Rp 18 Juta. Sedangkan Ani sudah membeli 1 tiket Bronze, 2 tiket Silver dan 1 tiket Gold dengan membayar uang sejumlah Rp 10 Juta. Andra juga akan membeli 4 tiket bronze, 1 tiket Silver dan 2 tiket Gold dengan total harga Rp 16 Juta. Harga setiap jenis tiket adalah ....
A. Bronze=Rp 1.000.000,- Silver=Rp 2.000.000,- Gold=Rp 5.000.000,-
B. Bronze=Rp 1.000.000,- Silver=Rp 1.500.000,- Gold=Rp 3.000.000,-
C. Bronze=Rp 1.000.000,- Silver=Rp 2.000.000,- Gold=Rp 3.000.000,-
D. Bronze=Rp 1.500.000,- Silver=Rp 5.000.000,- Gold=Rp 10.000.000,-
E. Bronze=Rp 1.500.000,- Silver=Rp 3.000.000,- Gold=Rp 8.000.000,-
JAWABAN BENAR
A.
Bronze=Rp 1.000.000,- Silver=Rp 2.000.000,- Gold=Rp 5.000.000,-
PEMBAHASAN
Misal:
x = harga tiket Bronze
y = harga tiket Silver
z = harga tiket Gold
Ana ingin membeli 2 tiket Bronze, 3 tiket silver dan 2 tiket Gold dengan total biaya Rp 18 Juta
2x+3y+2y=18.000.000
Ani sudah membeli 1 tiket Bronze, 2 tiket Silver dan 1 tiket Gold dengan membayar uang sejumlah Rp 10 Juta
x+2y+z=10.000.000
Andra juga akan membeli 4 tiket bronze, 1 tiket Silver dan 2 tiket Gold dengan total harga Rp 16 Juta
4x+y+2z=16.000.000
Jadi, model matematikanya adalah

Eliminasi z dari persamaan 1 dan 2

Substitusi y ke persamaan 2

Substitusi y ke persamaan 3

Eliminasi z dari persamaan 4 dan 5

Substitusi x dan y ke persamaan 2

Jadi, harga tiket bronze = Rp 1.000.000,-, tiket silver = Rp 2.000.000,- dan tiket gold = Rp 5.000.000,-
5.
Jawablah soal berikut ini!
Ibu membeli gula, telur dan tepung di pasar bersama Bu Sarah dan Bu Dewi. Ibu membeli gula sebanyak 3kg, telur 1 kg, dan tepung 2kg dan membayar sebesar Rp 78.000,-. Bu Sarah membeli telur sebanyak 2kg, tepung 5kg, dan gula 1 kg menghabiskan biaya Rp 106.000,-. Sedangkan Bu Dewi membeli tepung sebanyak 4kg, gula 5kg, dan telur 2kg dengan total belanjaan Rp 144.000,-. Jika Ibu ingin menambah belanjaan sebanyak 1kg tepung, 1kg telur dan 1kg gula, maka uang yang harus dibayarkan Ibu adalah ....
A. Rp 10.000,-
B. Rp 12.000,-
C. Rp 22.000,-
D. Rp 44.000,-
E. Rp 122.000,-
JAWABAN BENAR
E.
Rp 122.000,-
PEMBAHASAN
Gula = x, Telur = y, Tepung = z
Ibu membeli gula sebanyak 3kg, telur 1 kg, dan tepung 2kg dan membayar sebesar Rp 78.000,-
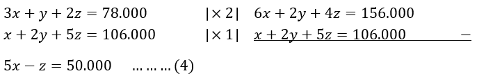
3x+y+2z=78.000 ……(1)
Bu Sarah membeli telur sebanyak 2kg, tepung 5kg, dan gula 1 kg menghabiskan biaya Rp 106.000,-
x+2y+5z=106.000 ……(2)
Bu Dewi membeli tepung sebanyak 4kg, gula 5kg, dan telur 2kg dengan total belanjaan Rp 144.000,-
5x+2y+4z=144.000 ……(3)
Eliminasi y dari persamaan 1 dan 2

Eliminasi y dari persamaan 2 dan 3

Eliminasi z dari persamaan 4 dan 5

Substitusi x ke persamaan 4

Substitusi x dan z ke persamaan 2

Jika Ibu menambah belanjaan berupa 1 kg gula, 1 kg telur dan 1 kg tepung, maka diperoleh
x+y+z=12.000+22.000+10.000=44.000
Total belanja Ibu yang harus dibayar adalah 78.000+44.000=Rp 122.000,-
6.
Jawablah soal berikut ini!
Diketahui sistem persamaan linier tiga variabel sebagai berikut

Himpunan penyelesaian untuk x, y, dan z secara berturut-turut adalah....
A. {-2,-1,-4}
B. {-2,-1,4}
C. {2,-1,-4}
D. {2,-1,4}
E. {2,1,4}
JAWABAN BENAR
D.
{2,-1,4}
PEMBAHASAN
x + 4y + 3x = 10...(1)
2x – 3y + 2z = 15...(2)
3x – 2y + z = 12...(3)

4) Subsitusi y pada (4)
11y + 4z = 5
11(-1) + 4z = 5
4z = 16
z = 4
5) Subsitusi y pada (1)
x + 4y + 3x = 10
x + 4(-1) + 3(4) = 10
x – 4 + 12 = 10
x = 2
Jadi, himpunan penyelesaian untuk x, y, dan z secara berturut-turut adalah 2, -1, dan 4.
7.
Jawablah soal berikut ini!
Sophia, Rere, dan Clarisa berbelanja di sebuah toko buku secara bersamaan. Sophia membeli 3 set pensil, 4 penghapus, dan 1 buku tulis. Rere membeli 6 set pensil, 2 penghapus, dan 1 buku tulis. Clarisa membeli 2 set pensil, 5 penghapus, dan 10 buku tulis. Jika di kasir, Sophia membayar Rp83.000,00; Rere membayar Rp86.000,00; dan Clarisa membayar Rp158.000,00 maka harga masing-masing benda yang dibeli Sophia, Rere, dan Clarisa adalah Rp... untuk 1 set pensil, Rp... untuk 1 penghapus, dan Rp... untuk 1 buku tulis.
A. 8.000,00; 12.000,00; 9.000,00
B. 9.000,00; 12.000,00; 8.000,00
C. 9.000,00; 8.000,00; 12.000,00
D. 12.000,00; 9.000,00; 8.000,00
E. 12.000,00; 8.000,00; 9.000,00
JAWABAN BENAR
B.
9.000,00; 12.000,00; 8.000,00
PEMBAHASAN
Misalkan:
x = 1 set pensil
y = 1 buah penghapus
z = 1 buah buku tulis
Maka model matematikanya yaitu
3x + 4y + z = 83000...(1)
6x + 2y + z = 86000...(2)
2x + 5y + 10z = 158000...(3)

4) Subsitusi x ke (4)
-3x + 2y = -3000
-3(9000) + 2y = -3000
-27000 + 2y = -3000
2y = 24000
y = 12000
5) Subsitusi x dan y ke (1)
3x + 4y + z = 83000
3(9000) + 4(12000) + z = 83000
27000 + 48000 + z = 83000
z = 8000
Jadi, harga masing-masing benda yang dibeli Sophia, Rere, dan Clarisa adalah Rp9.000,00 untuk 1 set pensil, Rp12.000,00 untuk 1 penghapus, dan Rp8.000,00 untuk 1 buku tulis.
Oops!!!
Yah, jawaban kamu meleset nih. Ingin melihat pembahasan soal ini?
BENAR!!!
Selamat!
Jawaban kamu benar. Ingin lihat pembahasan soal ini?
footer_v3
Bersama Aku Pintar temukan jurusan kuliah yang tepat
sesuai minat dan bakatmu.
Aku Pintar memiliki visi membuat pendidikan merata, mudah dijangkau, dan terjangkau dengan Program Journey Pintar yang merupakan sebuah program persiapan lengkap bagi siswa SMA/SMK/sederajat yang ingin masuk ke perguruan tinggi impiannya.
Kontak Kami
Grand Slipi Tower Lt. 42
Jl. S. Parman Kav 22-24
Jakarta Barat
© 2024 Aku Pintar. All Rights Reserved