Belajar Pintar Materi SMP, SMA, SMK
BelajarPintarV3
Fisika
Gelombang Cahaya
MATERI
Pengertian Difraksi Cahaya

Difraksi cahaya adalah peristiwa penyebaran atau pembelokan gelombang oleh celah sempit sebagai penghalang. Gelombang terdifraksi selanjutnya berinterferensi satu sama lain sehingga menghasilkan daerah penguatan dan pelemahan.
Tahun 1665 Francesco Grimaldi memperlihatkan bahwa cahaya tampak berbelok dan memancar melebar jika melewati celah sempit. Ia menamakan pembelokan itu difraksi.

Difraksi Celah Tunggal

Sobat Pintar, dalam topik ini akan dibahas difraksi Fraunhofer yang dihasilkan oleh celah tunggal. Salah satu jenis difraksi Fraunhofer, yaitu difraksi dengan sumber cahaya dan layar penerima berada pada jarak tak terhingga dari benda penyebab difraksi, sehingga muka gelombang tidak lagi diperlakukan sebagai bidang sferis, melainkan sebagai bidang datar. Dengan kata lain, difraksi ini melibatkan berkas cahaya sejajar.

Pada gambar, menunjukkan gelombang cahaya dengan panjang gelombang didifraksikan oleh celah sempit dengan lebar d. Pola gelap dan terang terbentuk ketika gelombang cahaya mengalami interferensi.
Beda lintasan ke titik P adalah (d/2) sin sudut antara garis tegak lurus terhadap celah dan garis dari pusat celah ke P. Apabila beda lintasan yang terjadi adalah 1/2 panjang gelombang maka kedua cahaya akan saling memperlemah dan menyebabkan terjadinya interferensi minimum sehingga pada layar terbentuk pola gelap.
Jadi, pola gelap (difraksi minimum) terjadi jika :
; n = 1, 2, 3 .....
Sementara itu, pola terang (difraksi maksimum) terjadi bila:
; n = 1, 2, 3 ....
Difraksi Celah Majemuk (Kisi Difraksi)

Kisi difraksi merupakan piranti untuk menghasilkan spektrum dengan menggunakan difraksi dan interferensi, yang tersusun oleh celah sejajar dalam jumlah sangat banyak dan memiliki jarak yang sama (biasanya dalam orde 1.000 per mm).

Dengan menggunakan banyak celah, garis-garis terang dan gelap yang dihasilkan pada layar menjadi lebih tajam. Bila banyaknya garis (celah) per satuan panjang, misalnya cm adalah N, maka tetapan kisi d adalah:
d = 1/N
Bila cahaya dilewatkan pada kisi dan diarahkan ke layar, maka pada layar akan terjadi hal-hal berikut ini :
Garis terang (maksimum), bila:
; n = 0, 1, 2, ...
Garis gelap (minimum), bila:
; n = 1, 2, 3, ...
Kemampuan lensa untuk membebaskan bayangan dari dua titik benda yang sangat dekat disebut resolusi lensa. Jika dua titik benda sangat dekat, maka pola difraksi bayangan yang terbentuk akan tumpang tindih. Kriteria Rayleigh menyatakan bahwa “dua bayangan dapat diuraikan jika pusat piringan difraksi salah satunya persis di atas minimum pertama pola difraksi yang lainnya”.
Ukuran kemampuan alat optik untuk membentuk bayangan terpisahkan dari benda-benda rapat atau untuk memisahkan panjang gelombang radiasi yang rapat disebut daya urai.
1.
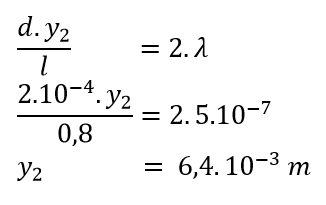
Seberkas cahaya monokromatik memiliki panjang gelombang 5000 A dilewatkan melalui celah ganda Young. Celah ganda berjarak 0,2 mm satu sama lain, kemudian 80 cm di belakang celah di pasang layar. Tentukan jarak garis terang kedua dari terang pusat !
A. 0,32 cm
B. 0,38 cm
C. 0,46 cm
D. 0,58 cm
E. 0,64 cm
JAWABAN BENAR
E.
0,64 cm
PEMBAHASAN

2.
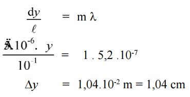
Seberkas cahaya jatuh tegak lurus pada kisi yang terdiri dari 2000 garis tiap cm. Orde terang kedua membentuk sudut 12O terhadap horisontal. Berapakah jarak antar pola terang berdekatan jika layar dipasang pada jarak 40 cm di belakang kisi ?
A. 1,04 cm
B. 2,15 cm
C. 2,63 cm
D. 3,02 cm
E. 5,12 cm
JAWABAN BENAR
A.
1,04 cm
PEMBAHASAN


3.
Cahaya yang memiliki panjang gelombang 560 nm jatuh pada celah tunggal selebar 0,0230 mm. Berapakah sudut simpang pita gelap kedua?
A. 2,79o
B. 3,25o
C. 3,82o
D. 4,30o
E. 6,83o
JAWABAN BENAR
A.
2,79o
PEMBAHASAN

4.
Pada percobaan dispersi cahaya, Roni menyinari seberkas cahaya yang memiliki panjang gelombang 4000 A datang pada suatu kisi. Jika pada percobaan tersebut, pita terang orde kedua membentuk sudut 30° terhadap garis normal. Berapa banyak celah dalam 1 cm ?
A. 3500 kisi/cm
B. 4750 kisi/cm
C. 5550 kisi/cm
D. 6250 kisi/cm
E. 7000 kisi/cm
JAWABAN BENAR
D.
6250 kisi/cm
PEMBAHASAN

5.
Seberkas sinar monokromatis melewati sebuah kisi yang mempunyai 2 x103 garis/cm . Jika sudut deviasi garis terang pertama yang dipakai 30°. Berapakah panjang gelombang sinar monokromatis tersebut?
A. 250 nm
B. 300 nm
C. 350 nm
D. 400 nm
E. 550 nm
JAWABAN BENAR
A.
250 nm
PEMBAHASAN

Oops!!!
Yah, jawaban kamu meleset nih. Ingin melihat pembahasan soal ini?
BENAR!!!
Selamat!
Jawaban kamu benar. Ingin lihat pembahasan soal ini?
footer_v3
Bersama Aku Pintar temukan jurusan kuliah yang tepat
sesuai minat dan bakatmu.
Aku Pintar memiliki visi membuat pendidikan merata, mudah dijangkau, dan terjangkau dengan Program Journey Pintar yang merupakan sebuah program persiapan lengkap bagi siswa SMA/SMK/sederajat yang ingin masuk ke perguruan tinggi impiannya.
Kontak Kami
Grand Slipi Tower Lt. 42
Jl. S. Parman Kav 22-24
Jakarta Barat
© 2024 Aku Pintar. All Rights Reserved