Belajar Pintar Materi SMP, SMA, SMK
BelajarPintarV3
Matematika Wajib
Limit Fungsi
MATERI
Konsep Limit Fungsi


Sumber : Yopiefranz.id
Sobat Pintar pernah melihat ibu kalian mengukur beras menggunakan kaleng susu atau gelas? Biasanya, Ibu rumah tangga menggunakan gelas untuk menakar beras yang akan dimasak. Jika satu gelas penuh diasumsikan beratnya ¼ kg, maka takaran 4 gelas akan mendekati berat 1 kg beras.
Nah, dalam matematika pendekatan biasa kita sebut dengan limit. Apa itu limit?
Limit suatu fungsi y = f(x) merupakan nilai yang didekati oleh fungsi tersebut jika x mendekati nilai tertentu. Jadi nilai limit bukan nilai sebenarnya, hanya nilai pendekatan saja.
Limit fungsi untuk x mendekati a secara matematis dapat dituliskan:

(dibaca: limit fungsi f(x) untuk x mendekati a sama dengan L)
Sifat-Sifat Limit Fungsi

Berdasarkan penjabaran dari konsep limit fungsi, diperoleh sifat-sifat limit fungsi, yaitu:

Cara Menentukan Nilai Limit Fungsi

Nilai limit suatu fungsi aljabar dapat ditentukan dengan beberapa cara, antara lain:
CARA NUMERIK
Menentukan nilai limit suatu fungsi menggunakan cara numerik yaitu mensubstitusikan langsung bilangan yang didekati x pada suatu fungsi.

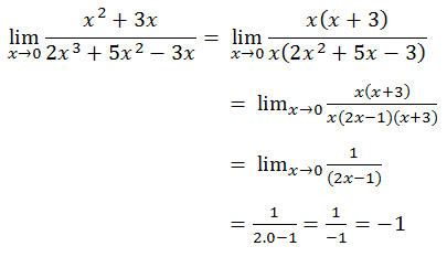
CARA FAKTORISASI
Apabila dalam menentukan nilai limit fungsi dengan cara numerik menemukan hasil

maka fungsi tersebut perlu disederhanakan terlebih dahulu dengan cara memfaktorkan.
Contoh:

CARA MENGALIKAN DENGAN SEKAWAN
Apabila dalam menentukan nilai limit fungsi menemukan hasil berupa bentuk tak tentu dan sulit menyederhanakannya karena penyebutnya yang tidak rasional, maka fungsi tersebut perlu dirasionalkan (dikalikan dengan sekawan) terlebih dahulu.
Beberapa cara merasionalkan fungsi untuk menentukan nilai limitnya, yaitu:

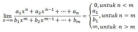
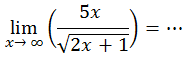
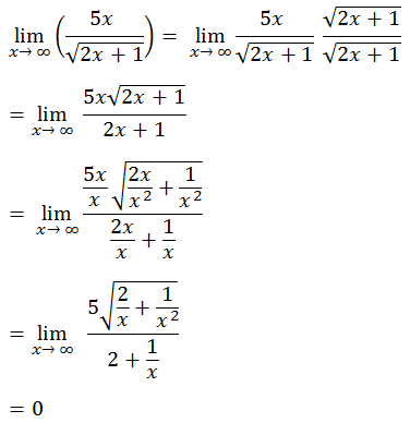
MENENTUKAN NILAI LIMIT FUNGSI MENUJU KETAKHINGGAAN

dengan membagi pembilang dan penyebut dengan pangkat tertinggi dari penyebutnya.
Secara sistematis dapat dirumuskan:

Contoh:


Secara sistematis dapat dirumuskan:


Berikut ini beberapa limit fungsi khusus:

1.
Jawablah soal berikut!

A. 7
B. 6
C. 5
D. 4
E. 3
JAWABAN BENAR
C.
5
PEMBAHASAN

2.
Jawablah soal berikut!

A. -1
B. 0
C. 1/2
D. 1
E. 2
JAWABAN BENAR
A.
-1
PEMBAHASAN

3.
Jawablah soal berikut!

A. -10
B. -8
C. -6
D. -4
E. -2
JAWABAN BENAR
B.
-8
PEMBAHASAN

4.
Jawablah soal berikut!

A. tidak terdefinisi
B. ~
C. 1
D. 1/2
E. 0
JAWABAN BENAR
A.
tidak terdefinisi
PEMBAHASAN

5.
Jawablah soal berikut!

A. 2
B. 1
C. 1/2
D. 0
E. -1
JAWABAN BENAR
D.
0
PEMBAHASAN

6.
Jawablah soal berikut!
![]()
A. 6
B. 7
C. 8
D. 9
E. 10
JAWABAN BENAR
B.
7
PEMBAHASAN

7. Jawablah soal berikut!
![]()
A. 1
B. 2
C. 3
D. 4
E. 5
JAWABAN BENAR
C.
3
PEMBAHASAN
Oops!!!
Yah, jawaban kamu meleset nih. Ingin melihat pembahasan soal ini?
BENAR!!!
Selamat!
Jawaban kamu benar. Ingin lihat pembahasan soal ini?
footer_v3
Bersama Aku Pintar temukan jurusan kuliah yang tepat
sesuai minat dan bakatmu.
Aku Pintar memiliki visi membuat pendidikan merata, mudah dijangkau, dan terjangkau dengan Program Journey Pintar yang merupakan sebuah program persiapan lengkap bagi siswa SMA/SMK/sederajat yang ingin masuk ke perguruan tinggi impiannya.
Kontak Kami
Grand Slipi Tower Lt. 42
Jl. S. Parman Kav 22-24
Jakarta Barat
© 2024 Aku Pintar. All Rights Reserved