Belajar Pintar Materi SMP, SMA, SMK
BelajarPintarV3
Ekonomi
Teori Uang, Indeks Harga dan Inflasi
MATERI
Konsep Indeks Harga

Pengertian Indeks Harga
Indeks harga adalah angka yang diharapkan dapat dipakai untuk memperlihatkan perubahan mengenai harga-harga barang, baik harga untuk satu macam barang maupun berbagai macam barang dalam waktu dan tempat yang sama atau berlainan.
Terdapat tiga kemungkinan dalam hasil perhitungan indeks harga, yaitu:
-
Jika indeks harga > 100 berarti harga mengalami kenaikan (terjadi inflasi).
-
Jika indeks harga < 100 berarti harga mengalami penurunan (terjadi deflasi).
-
Jika indeks harga = 100 berarti harga tetap (tidak naik dan tidak turun).

Contoh:
Bila harga barang tahun 2019 sebesar Rp8.000,00 per kilogram, kemudian pada tahun 2020 naik menjadi Rp10.000,00 per kilogram, maka indeks harga barang tersebut pada tahun 2020 dapat dihitung sebagai berikut:
10.000/8.000x100=125
Jadi harga barang pada tahun 2020 mengalami kenaikan sebesar 25%.
Jenis-Jenis Indeks Harga
- Indeks Harga Konsumen (IHK)
Indeks Harga Konsumen (IHK) merupakan indeks harga yang umum digunakan untuk menggambarkan pergerakan harga. Dengan kata lain, IHK adalah indeks yang mengukur perubahan-perubahan yang terjadi pada harga eceran barang dan jasa yang diminta konsumen dari waktu ke waktu. Perubahan IHK dari waktu ke waktu menunjukkan pergerakan harga dari sejumlah barang dan jasa yang dikonsumsi masyarakat. IHK merupakan salah satu indikator ekonomi yang memberikan informasi mengenai harga barang dan jasa yang dibayar oleh konsumen. Perhitungan IHK dilakukan untuk merekam perubahan harga beli di tingkat konsumen (purchasing cost) dari sekelompok tetap barang dan jasa (fixed basket) yang pada umumnya dikonsumsi masyarakat.
- Indeks Harga Produsen (IHP)
Indeks Harga Produsen (IHP) adalah indeks harga yang menggambarkan tingkat perubahan harga di tingkat produsen. Pengguna data dapat memanfaatkan perkembangan harga produsen sebagai indikator dini harga grosir maupun harga eceran.
- Indeks Harga Perdagangan Besar (IHPB)
Badan Pusat Statistik (BPS) menjelaskan bahwa IHPB adalah harga indeks yang menggambarkan besarnya perubahan harga pada tingkat harga perdagangan besar/grosir dari komoditas-komoditas yang diperdagangkan di suatu negara/daerah. Komoditas tersebut merupakan produksi dalam negeri maupun yang diekspor dan komoditas yang berasal dari impor.
- Indeks Harga yang diterima (It) dan dibayar petani (Ib)
Indeks harga yang diterima (It) yaitu indeks harga yang berhubungan dengan pengorbanan (harga pokok) yang telah dikorbankan dengan hasil diterima petani, atau indeks harga yang menunjukkan perkembangan harga produsen atas hasil produksi petani.
Sedangkan Indeks harga yang dibayar petani (Ib), yaitu indeks harga yang meliputi pembelian/biaya konsumsi dan pembelanjaan untuk biaya produksi pertaniannya atau indeks harga yang menunjukkan perkembangan harga kebutuhan rumah tangga petani, baik itu kebutuhan untuk konsumsi sehari-hari maupun kebutuhan untuk proses produksi pertanian.
- Indeks Harga Saham (IHS)
Indeks harga yang mengukur perubahan harga saham di pasar modal, yang terdiri dari:
- Indeks Harga Saham Individu (IHSI) adalah indeks harga masing-masing saham yang tercatat pada Bursa Efek Indonesia (BEI).
-
Indeks Harga Saham Gabungan (IHSG) adalah indeks semua saham yang tercatat sebagai komponen perhitungan indeks.
Tujuan Perhitungan Indeks Harga

Dalam menyusun indeks harga perlu dirumuskan tentang apa yang akan diukur, bagaimana cara mengukur, dan untuk apa pengukuran tersebut dilakukan.
Penyusunan indeks harga dalam ekonomi bertujuan antara lain sebagai berikut.
- Sebagai petunjuk atau barometer dari kondisi ekonomi umum.
- Sebagai pedoman bagi kebijakan dan administrasi perusahaan.
- Indeks harga dapat dipergunakan sebagai deflator
- Indeks harga dapat dipakai sebagai pedoman bagi pembelian barang-barang.
- Indeks harga barang-barang konsumsi merupakan pedoman untuk mengatur gaji buruh atau menyesuaikan kenaikan gaji buruh pada masa inflasi.
Metode Perhitungan Indeks Harga

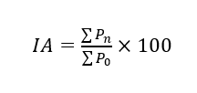
Indeks Harga Agregatif Sederhana (Indeks Harga Agregatif Tidak Tertimbang).

Keterangan :
IA = Indeks harga agregatif tidak ditimbang
Pn = harga yang dihitung angka indeksnya
P0 = harga pada tahun dasar
Perhatikan contoh di bawah!!

Jawab:
IA= 2.300/2.200x100 = 104,55Jawaban:
Jadi harga tahun 2021 mengalami kenaikan sebesar 4,55%
Indeks Harga Agregatif Tertimbang
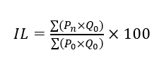
Metode Laspeyres (IL)

Keterangan:
IL = Angka Indeks Laspeyres
Pn= Harga pada tahun yang dihitung indeksnya
P0= Harga pada tahun dasar
Q0= Kuantitas pada tahun dasar
Perhatikan contoh soal di bawah!

Berdasarkan data di atas, maka indeks Laspeyres (IL) dapat dihitung sebagai berikut.
IL = 210.000/200.000 x 100 = 105,00
Sehingga dapat disimpulkan pada tahun 2021, telah terjadi kenaikan harga sebesar 5%
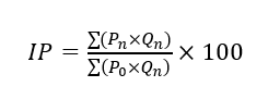
Metode Paasche (IP)
Indeks Paasche adalah indeks harga tertimbang dengan kuantitas barang pada tahun yang diukur (Qn) sebagai faktor penimbangnya.

Keterangan:
IP = Angka Indeks Paasche
Pn = Harga tahun yang dihitung angka indeksnya
P0 = Harga pada tahun dasar
Qn= Kuantitas tahun yang dihitung angka indeksnya
Perhatikan contoh soal berikut ini!!

Berdasarkan data diatas, maka indeks Paasche dapat dihitung sebagai berikut.
IP = 242.500/240.000 x 100 = 101,04
Berarti pada tahun 2021 terjadi kenaikan harga sebesar 1,04%.
Dari Metode Laspeyres dan Metode Paasche terdapat suatu kelemahan sebagai berikut:
- Angka indeks Laspeyres mempunyai kelemahan yaitu hasil penghitungan lebih besar (overestimate), karena pada umumnya harga barang cenderung naik, sehingga kuantitas barang yang diminta mengalami penurunan. Dengan demikian besarnya Qo akan lebih besar dari pada Qn.
- Angka indeks Paasche mempunyai kelemahan yaitu hasil penghitungan cenderung lebih rendah (underestimate), karena dengan naiknya harga akan menyebabkan permintaan turun, sehingga Qn lebih kecil dari pada Qo.
Untuk menghilangkan kelemahan tersebut dilakukan dengan cara mengintegrasikan angka indeks tersebut, yaitu dengan menggunakan metode indeks Drobisch and Bowley (ID) dan Indeks Irving Fisher (IF)
Metode Drobisch and Bowley (ID)

Berdasarkan penghitungan angka indeks Laspeyres dan Paasche, pada soal di atas dapat dihitung besarnya indeks Drobisch Bowley sebagai berikut.

Sehingga pada taun 2021 mengalami kenaikan sebesar 3,02%
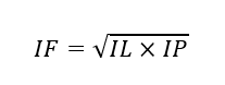
Metode Irving Fisher (IF)
Penghitungan angka indeks dengan Metode Irving Fisher merupakan angka indeks yang ideal. Irving Fisher menghitung indeks kompromi dengan cara mencari rata-rata ukur dari indeks Laspeyres dan indeks Paasche.

Berdasarkan penghitungan angka indeks Laspeyres dan Paasche, maka dapat dihitung besarnya indeks Irving Fisher sebagai berikut.
Sehingga pada tahun 2021, terdapat kenaikan harga sebesar 3,00%
1.
Jawablah pertanyaan berikut ini!
Terdapat beberapa cara untuk menghitung indeks harga dan salah satunya adalah indeks harga agregatif sederhana (tak tertimbang). Rumus yang digunakan untuk menghitungnya adalah ....
A.

B.

C.

D.

E.

JAWABAN BENAR
C.

PEMBAHASAN
Indeks harga agregatif sederhana (tak tertimbang) dihitung dengan rumus:
2.
Jawablah pertanyaan berikut ini!
Perhatikan beberapa pernyataan tentang indeks harga di bawah ini:
- Angka indeks harga dapat dijadikan standar/pedoman untuk melakukan perbandingan harga dari waktu ke waktu.
- Angka indek harga menunjukkan perubahan-perubahan yang terjadi atas harga pada pasar-pasar primer.
- Indek harga merupakan petunjuk/indikator yang dapat digunakan untuk mengukur pertumbuhan ekonomi secara umum.
- Indek harga pedagang besar dapat memberikan gambaran/trend dalam perdagangan di tingkat eceran.
- Indeks harga konsumen adalah ukuran statistik yang dapat menunjukkan perubahan-perubahan yang terjadi pada harga eceran barang dan jasa yang diminta oleh konsumen dari waktu ke waktu.
Pernyataan di atas yang yang benar adalah ....
A. (1), (2), dan (3)
B. (1), (3), dan (4)
C. (1), (3), dan (5)
D. (2), (3), dan (4)
E. (3), (4), dan (5)
JAWABAN BENAR
C.
(1), (3), dan (5)
PEMBAHASAN
Pernyataan tentang indeks harga:
- Angka indeks harga dapat dijadikan standar/pedoman untuk melakukan perbandingan harga dari waktu ke waktu.
- Indeks harga merupakan petunjuk/indikator yang dapat digunakan untuk mengukur pertumbuhan ekonomi secara umum.
- Indeks harga konsumen adalah ukuran statistik yang dapat menunjukkan perubahan-perubahan yang terjadi pada harga eceran barang dan jasa yang diminta oleh konsumen dari waktu ke waktu
3.
Jawablah pertanyaan berikut ini!
Berikut yang bukan merupakan tujuan perhitungan indeks harga adalah…..
A. Sebagai petunjuk atau barometer dari kondisi ekonomi umum.
B. Sebagai pedoman bagi kebijakan dan administrasi perusahaan.
C. Indeks harga dapat dipergunakan sebagai deflator.
D. Indeks harga dapat dipakai sebagai pedoman bagi pembelian barang-barang.
E. Sebagai pedoman pengukuran pembangunan ekonomi suatu negara.
JAWABAN BENAR
E.
Sebagai pedoman pengukuran pembangunan ekonomi suatu negara.
PEMBAHASAN
Tujuan dari perhitungan Indeks harga adalah sebagai berikut:
- Sebagai petunjuk atau barometer dari kondisi ekonomi umum.
- Sebagai pedoman bagi kebijakan dan administrasi perusahaan.
- Indeks harga dapat dipergunakan sebagai deflator
- Indeks harga dapat dipakai sebagai pedoman bagi pembelian barang-barang.
4.
Jawablah pertanyaan berikut ini!
Indeks harga yang berhubungan dengan pengorbanan (harga pokok) yang telah dikorbankan dengan hasil diterima petani, atau indeks harga yang menunjukkan perkembangan harga produsen atas hasil produksi petani merupakan pengertian dari salah satu jenis indeks harga, yaitu….
A. Indeks harga yang dibayar petani (ib)
B. Indeks harga yang diterima (it)
C. Indeks Laspeyres (il)
D. Indeks harga Agregatif Sederhana (A)
E. Indeks Irving Fisher (IF)
JAWABAN BENAR
B.
Indeks harga yang diterima (it)
PEMBAHASAN
Indeks harga yang diterima (It) yaitu indeks harga yang berhubungan dengan pengorbanan (harga pokok) yang telah dikorbankan dengan hasil diterima petani, atau indeks harga yang menunjukkan perkembangan harga produsen atas hasil produksi petani.
5.
Jawablah pertanyaan berikut ini!
Bila harga barang tahun 2020 sebesar Rp8.000,00 per kilogram, kemudian pada tahun 2021 naik menjadi Rp10.000,00 per kilogram, maka indeks harga barang tersebut pada tahun 2021 sebesar….
A. 25%
B. 30%
C. 35%
D. 20%
E. 10.5%
JAWABAN BENAR
A.
25%
PEMBAHASAN
Indeks Harga= 10.000/8.000 x 100 = 125
Jadi harga barang pada tahun 2021 mengalami kenaikan sebesar 25%.
Oops!!!
Yah, jawaban kamu meleset nih. Ingin melihat pembahasan soal ini?
BENAR!!!
Selamat!
Jawaban kamu benar. Ingin lihat pembahasan soal ini?
footer_v3
Bersama Aku Pintar temukan jurusan kuliah yang tepat
sesuai minat dan bakatmu.
Aku Pintar memiliki visi membuat pendidikan merata, mudah dijangkau, dan terjangkau dengan Program Journey Pintar yang merupakan sebuah program persiapan lengkap bagi siswa SMA/SMK/sederajat yang ingin masuk ke perguruan tinggi impiannya.
Kontak Kami
Grand Slipi Tower Lt. 42
Jl. S. Parman Kav 22-24
Jakarta Barat
© 2024 Aku Pintar. All Rights Reserved