Belajar Pintar Materi SMP, SMA, SMK
BelajarPintarV3
Fisika
Fluida Statis
MATERI
Pengertian Fluida Statis

Pengertian Fluida Statis
Fluida Statis adalah fluida yang berada dalam fase tidak bergerak (diam) atau fluida dalam keadaan bergerak tetapi tak ada perbedaan kecepatan antar partikel fluida tersebut atau bisa dikatakan bahwa partikel-partikel fluida tersebut bergerak dengan kecepatan seragam sehingga tidak memiliki gaya geser.
1.
Jawablah pertanyaan berikut ini!
Apa pengertian fluida statis?....
A. Fluida yang diam
B. Fluida mengalir
C. Fluida bergerak
D. Fluida hidup
E. Fluida diam bergerak
JAWABAN BENAR
A.
Fluida yang diam
PEMBAHASAN
fluida yang berada dalam fase tidak bergerak (diam) atau fluida dalam keadaan bergerak tetapi tak ada perbedaan kecepatan antar partikel fluida tersebut atau bisa dikatakan bahwa partikel-partikel fluida tersebut bergerak dengan kecepatan seragam sehingga tidak memiliki gaya geser.
2.
Jawablah pertanyaan berikut ini!
Apa yang tidak dimiliki fluida statis?....
A. Gaya geser
B. Gaya tarik
C. Gaya naik
D. Gaya turun
E. Gaya besar
JAWABAN BENAR
A.
Gaya geser
PEMBAHASAN
Partikel fluida statis tidak memiliki gaya geser karena bergerak dengan kecepatan seragam
3.
Jawablah pertanyaan berikut ini!
Apa yang dimaksud dalam "fluida yang diam" pada materi fluida statis?....
A. Tidak bergerak
B. Bergerak dengan kecepatan seragam
C. Bergerak dengan kecepatan tinggi
D. Bergerak tapi diam
E. Bergerak dengan berdiri
JAWABAN BENAR
B.
Bergerak dengan kecepatan seragam
PEMBAHASAN
Fluida dalam keadaan bergerak tetapi tak ada perbedaan kecepatan antar partikel fluida tersebut atau bisa dikatakan bahwa partikel-partikel fluida tersebut bergerak dengan kecepatan seragam sehingga tidak memiliki gaya geser.
Komponen Fluida Statis

Sobat pintar, dalam Fluida Statis ada beberapa komponen yang ada diantaranya :
1. Massa Jenis

Sobat Pintar, pernahkah kalian memperhatikan warna air laut yang terbelah di bawah Jembatan Suramadu?
Mengapa laut di Selat Madura memiliki warna berbeda?
Nah Sobat, gradasi air laut di bawah Suramadu bernama Halocline. Nah ini bisa terjadi karena perbedaan densitas (massa jenis air)
Kerapatan atau massa jenis didefinisikan sebagai massa persatuan volume atau perbandingan antara massa terhadap volumenya. Bila kerapatan kita beri simbol p maka kerapatan dapat kita tuliskan :

Keterangan :
P = massa jenis atau kerapatan adalah kg/m3.
m = massa benda (kg)
v = volume (m3)
Jadi, Sobat Pintar. Semakin rapat susunan partikel di dalamnya, semakin besar massa jenisnya.
2. Tekanan
Sobat Pintar, pernahkah kalian memperhatikan ketika ayah kalian sedang memukul paku menggunakan palu? Mengapa paku tersebut dibuat runcing?

Nah jawabannya adalah paku dibuat runcing agar gaya yang diberikan semakin besar dan kemudian tekanan yang diberikan semakin besar, sehingga paku lebih mudah tertancap dalam kayu.
Pada gambar tersebut, paku dibuat runcing agar mendapat tekanan lebih besar.
Konsep tekanan angat penting dalam mempelajari sifat fluida. Tekanan didefinisikan sebagai gaya tiap satuan luas. Apabila gaya F bekerja secara tegak lurus dan merata pada permukaan bidang seluas A, maka tekanan pada permukaan dapat dirumuskan :

Dengan asumsi, bahwa semakin besar gaya yang diberikan maka semakin besar pula tekanannya, akan tetapi sebaliknya, jika luas penampang tersebut besar, maka tekanan yang diberikan akan kecil.
Keterangan
P= Tekanan, dengan satuan (pascal/Pa)
F = Gaya, dengan satuan (newton/N)
A = Luas penampang, dengan satuan (m2)
Konversi satuan Tekanan
1 N/m2 = 1 pascal (Pa)
1 N = 105 dyne
1 atm = 105 Pa
1 atm = 76 cmHg
3. Tegangan Permukaan

Sobat pintar pernahkah kalian meletakkan sebuah silet yang diletakkan mendatar pada permukaan air dengan sangat hati-hati? Atau pernahkah kalian melihat seekor nyamuk yang mengapung diatas permukaan air? Nah jika pernah coba amati. Mengapa hal tersebut dapat terjadi?
Padahal massa jenis silet lebih besar dari massa jenis air. Demikian juga, nyamuk dapat hinggap di permukaan air. Peristiwa-peristiwa tersebut berhubungan dengan gaya-gaya yang bekerja pada permukaan zat cair, atau pada batas antara zat cair dengan bahan lain. Jika kita amati contoh-contoh di atas, ternyata permukaan air tertekan ke bawah karena berat silet atau nyamuk. Jadi, permukaan air tampak seperti kulit yang tegang. Nah Sobat, sifat tegang seperti ini lah yang disebut sebagai tegangan permukaan.
Tegangan permukaan suatu zat cair didefinisikan sebagai gaya setiap satuan panjang yang dapat ditulis dalam persamaan berikut:


Selain pada zat cair, tegangan permukaan juga terjadi pada selaput sabun. Pada selaput sabun tegangan permukaan didefinisikan sebagai gaya yang bekerja pada suatu permukaan persatuan panjang permukaan pada arah tegak lurus terhadap gaya tersebut.

Sumber: Kimiawan/indonesia.com
Besar tegangan permukaan suatu benda yang dipengaruhi oleh selaput sabun dirumuskan sebagai berikut:

4. Kapilaritas
Kapilaritas merupakan peristiwa naik turunnya zat cair dalam pipa kapiler (pipa sempit). Kapilaritas dipengaruhi oleh adanya gaya kohesi dan adhesi antara zat cair dengan dinding kapiler.
Kenaikan atau penurunan zat cair pada pipa kapiler disebabkan adanya tegangan permukaan yang bekerja pada keliling persentuhan zat cair dengan pipa. Kenaikan atau penurunan zat cair dalam pipa dirumuskan sebagai berikut:


4.
Jawablah pertanyaan berikut ini!
Sepotong besi bermassa 4 kg dan massa jenisnya 8 gr/cm3 dimasukkan ke dalam air yang massa jenisnya 1 gr/ cm3. Di dalam air berat besi tersebut seolah-olah akan hilang sebesar ....
A. 5 N
B. 20 N
C. 40 N
D. 15 N
E. 35 N
JAWABAN BENAR
E.
35 N
PEMBAHASAN
Berat yang seakan-akan hilang = berat benda - gaya archimedes
= m.g - p.g.V
= 4.10 - 1000.10.(4/8000)
= 40 - 5
= 35 N
5.
Jawablah pertanyaan berikut ini!
Mengapa warna air selat Madura memiliki gradasi warna yang berbeda?...
A. Adanya perbedaan massa jenis
B. Adanya massa beban
C. Adanya berat benda
D. Adanya koefisien gesek
E. Adanya Gaya berat
JAWABAN BENAR
A.
Adanya perbedaan massa jenis
PEMBAHASAN
Gradasi air laut di bawah Suramadu bernama Halocline. Nah ini bisa terjadi karena perbedaan densitas (massa jenis air). Kerapatan atau massa jenis didefinisikan sebagai massa persatuan volume atau perbandingan antara massa terhadap volumenya.
6.
Jawablah pertanyaan berikut ini!
Mengapa paku dibuat bentuk ujungnya runcing?.....
A. Agar gaya yang diberikan semakin kecil
B. Agar tekanan mengecil
C. Agar gaya membesar dan tekanan mengecil
D. Agar gaya membesar dan tekanan membesarnya
E. Agar tekanan hilang dan gaya mengecil
JAWABAN BENAR
D.
Agar gaya membesar dan tekanan membesarnya
PEMBAHASAN
Paku dibuat runcing agar gaya yang diberikan semakin besar dan kemudian tekanan yang diberikan semakin besar, sehingga paku lebih mudah tertancap dalam kayu
7.
Jawablah pertanyaan berikut ini!
Contoh penerapan dari komponen tegangan permukaan adalah.....
A. Nyamuk yang mengapung di permukaan air
B. Air yang mengalir
C. Udara yang tak terlihat
D. Nyamuk yang tenggelam
E. Buku yang basah
JAWABAN BENAR
A.
Nyamuk yang mengapung di permukaan air
PEMBAHASAN
Contohnya adalah Nyamuk yang mengapung di permukaan air
8.
Jawablah pertanyaan berikut ini!
Apa yang dimaksud dengan kapilaritas?....
A. Naik turunnya zat cair dalam pipa kapiler
B. Naik turunnya zat padat pada pipa kapiler
C. Naik turunnya udara pada wadah
D. Naik turunnya kecepatan udara
E. Naik turunnya bunyi
JAWABAN BENAR
A.
Naik turunnya zat cair dalam pipa kapiler
PEMBAHASAN
Kapilaritas merupakan peristiwa naik turunnya zat cair dalam pipa kapiler (pipa sempit).
Hukum-hukum Fluida Statis

Sobat pintar, lalu apa saja hukum-hukum dalam Fluida Statis. Mari kita belajar lagi!
Hukum-hukum Fluida Statis
1. Tekanan Hidrostatis
Nah Sobat Pintar, tadi kita sudah membahas konsep dasar dari tekanan. Ternyata, tekanan juga berlaku pada zat cair loh! Nah tekanan yang berlaku pada zat cair ini yang disebut dengan tekanan hidrostatis.

Sebagai contoh ketika kalian sedang berenang. Apa yang kalian rasakan ketika ketika kalian berenang semakin ke dasar? Ya, telinga kalian akan merasa sakit. Nah hal ini karena fluida memberikan tekanan ke segala arah sehingga tubuh perenang merasakan tekanan di seluruh badan.
Jadi, tekanan hidrostatis ini dipengaruhi kedalamannya. Sehingga tekanan hidrostatis dapat didefinisikan sebagai tekanan yang dihasilkan oleh suatu benda atau objek yang mengalami gravitasi ketika didalam fluida. Oleh karena itu bahwa besarnya tekanan yang dihasilkan tergantung dari massa jenis fluida, percepatan gravitasi bumi, dan ketinggian fluida atau zat cair tersebut.
Semakin besar suatu massa jenis zat cair, maka semakin besar pula tekanan hidrostatis yang dihasilkan, dan jika semakin dalam benda pada zat cair tersebut, maka tekanan hidrostatis yang dihasilkan semakin besar pula.
Persamaan tekanan hidrostatis:
Ph = p.g.h

2. Tekanan Mutlak

3. Hukum Pascal

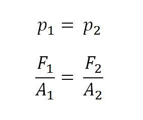
Hukum pascal berbunyi: "Tekanan yang diberikan kepada fluida dalam sebuah ruangan tertutup akan diteruskan sama besar kesegala arah".
Berikut persamaan hukum Pascal :

Keterangan:
F1 = gaya pada permukaan A1 (N)
F2 = gaya pada permukaan A2 (N)
A1 = luas permukaan 1 (m2)
A2 = luas permukaan 2 (m2)
4. Hukum Archimedes

Bunyi Hukum Archimedes : “Sebuah benda yang tenggelam seluruhnya atau sebagian dalam suatu fluida diangkat ke atas oleh sebuah gaya yang sama dengan berat fluida yang dipindahkan.”
Hukum Archimedes dirumuskan sebagai berikut :
Fa = p. g.V
Keterangan :
Fa : Gaya ke atas oleh zat air (newton)
Pf : Massa jenis fluida (kg/m3, gr/cm3)
Vf : Volume fluida yang dipindahkan
g : Grafitasi bumi (9,8 m/s2 )
9.
Jawablah pertanyaan berikut ini!
Luas penampang pada pipa masing- masing 200mm2 dan 100mm2, pada pipa tersebut air mengalir melalui pipa mendatar. Bila air mengalir dari penampang besar dengan kecepatan adalah 2 m/s, maka kecepatan air pada penampang kecil adalah ….
A. 4 m/s
B. 2 m/s
C. 1 m/s
D. 1/2 m/s
E. 1/4 m/s
JAWABAN BENAR
A.
4 m/s
PEMBAHASAN
A1 = 200 mm2= 2.10-4m2
A2 = 100mm2= 10-4m2
v1= 2 m/s
Q1 = Q2
A1v1 = A2V2
v2 = A1v1/A2 = 2.10-4.2/10-4 = 4m/s
10.
Jawablahpertanyaan berikut ini!
Gaya Archimedes yang bekerja pada benda saat dimasukkan ke dalam fluida ditentukan oleh ….
A. massa benda dan keadaan benda di cairan
B. volume benda dan keadaan benda di cairan
C. massa benda dan massa jenis
D. volume benda dan massa jenis cairan
E. massa cairan dan kedalaman benda di cairan
JAWABAN BENAR
D.
volume benda dan massa jenis cairan
PEMBAHASAN
Sesuai dengan rumus gaya archimedes F = p.g.V sehingga ketika benda dimasukkan oleh fluida ditentukan oleh volume benda dan massa jenis cairan
11.
Jawablah pertanyaan berikut ini!
Terdapat bejana yang berisi air setinggi 100 cm. Berapakah besar tekanan hidrostatis pada dasar bejana jika percepatan gravitasi 10 m/s2?
A. 103 N/m2
B. 104 N/m2
C. 105 N/m2
D. 106 N/m2
E. 107 N/m2
JAWABAN BENAR
B.
104 N/m2
PEMBAHASAN

12.
Jawablah pertanyaan berikut ini!
Roni mengisi bejana berhubungan berbentuk U, diisi air pada salah satu kakinya. Pada kaki yang lain diisi minyak yang massa jenisnya 800 kg/m3. Jika tinggi minyak dari bidang batas air-minyak adalah 15 cm, berapakah perbedaan tinggi air?
A. 4 cm
B. 8 cm
C. 12 cm
D. 16 cm
E. 20 cm
JAWABAN BENAR
C.
12 cm
PEMBAHASAN


13.
Jawablah pertanyaan berikut ini!
Yanto menyelam di laut hingga kedalaman 200 m di bawah permukaan laut. Jika massa jenis air laut adalah 1.250 kg/m^3, dan tekanan udara 110.000 Pa serta diketahui percepatan gravitasi adalah 10 m/s^2, maka besar tekanan yang di alami Yanto adalah…
A. 2.410.000 Pa
B. 2.510.000 Pa
C. 2.610.000 Pa
D. 2.710.000 Pa
E. 2.810.000 Pa
JAWABAN BENAR
C.
2.610.000 Pa
PEMBAHASAN

Penerapan Fluida Statis

Sobat pintar, fluida statis menjadi salah satu penemuan terpenting pada bidang fisika loh! Hukum pascal in ternyata banyak ditemukan dalam bidang industri. Apa aja sih penerapannya? Yuk simak berikut ini ...

Penerapan Hukum Pascal
- Dongkrak Hidrolik dan Mesin Hidrolik Pengangkat Mobil
Persamaan yang berlaku pada dongkrak hidrolik atau lift (pengangkat) hidrolik yaitu perbandingan gaya yang diberikan untuk mengangkat beban pada dongkrak sama dengan perbandingan luas silinder dengan luas silinder beban.
- Rem Hidrolik
Prinsip kerja rem hidrolik sama dengan prinsip kerja mesin pengangkat mobil atau dongkrak hidrolik. Perbandingan luas silinder utama dengan silinder rem menentukan keuntungan mekanik. Semakin besar keuntungan mekanik, semakin ringan saat menginjak pedal rem.
Penerapan Hukum Archimedes
- Mengapung, Melayang, dan Tenggelam
Mengapung
Benda mengapung jika gaya apung lebih besar daripada berat benda.
Syarat benda mengapung:
pf > pb
Keterangan :

Melayang
Benda akan melayang jika gaya apung sama dengan berat benda.
Syarat benda melayang:
pf = pb
Keterangan :

Tenggelam
Benda akan tenggelam jika gaya apung lebih kecil daripada berat benda.
Syarat benda tenggelam:
pf < pb
Keterangan :

- Hidrometer
Dengan prinsip kerja yang sederhana, hidrometer dapat digunakan untuk mengukur massa jenis fluida. Dengan cara memasukkan hidrometer ke fluida yang akan diukur massa jenisnya, maka massa jenis fluida dapat diketahui secara langsung.
- Kapal Laut
Kapal laut dibuat berongga, sehingga volume kapal menjadi besar, akibatnya volume air yang dipindahkan juga besar. Dengan demikian gaya apung kapal juga besar, maka kapal tidak tenggelam. Kapal yang sarat penumpang, volume kapal yang tenggelam akan lebih besar daripada volume kapal kosong.
- Kapal Selam
Kapal selam memiliki rongga atau tangki yang dilengkapi dengan katup air dan katup udara. Supaya dapat tenggelam, maka katup air pada tangki dibuka sehingga air masuk dan udara dikeluarkan melewati katup udara. Akibatnya, kapal bertambah berat sehingga gaya apung lebih kecil dari gaya beratnya, akibatnya kapal menyelam. Sebaliknya untuk dapat muncul lagi di permukaan, air dalam tangki dipompa dan udara masuk lewat katup udara ke dalamnya. Dengan cara ini gaya apung kapal lebih besar daripada berat kapal, sehingga kapal terapung.
- Balon Udara
Udara merupakan fluida, sedangkan balon sebagai benda yang melayang di udara. Sesuai dengan hukum Archimedes, balon yang berisi gas helium (He) memiliki massa jenis lebih kecil dari masa jenis udara pada umumnya, akibatnya balon akan melayang di udara.
14.
Jawablah pertanyaan berikut ini!
Mana yang termasuk salah satu jenis penerapan hukum Archimedes?....
A. Melayang, mengapung, dan tenggelam
B. Melayang, terbang, tenggelam
C. Tenggelam, terbang, suara
D. Mengapung, terbang, diam
E. Mengapung, diam, berdiri
JAWABAN BENAR
A.
Melayang, mengapung, dan tenggelam
PEMBAHASAN
Penerapan hukum Archimedes dikategorikan dalam melayang, mengapung, dan tenggelam
15.
Jawablah pertanyaan berikut ini!
Apa fungsi hidrometer?....
A. Mengukur berat badan
B. Mengukur massa jenis fluida
C. Mengukur panjang
D. Mengukur lebar
E. Mengukur tinggi badan
JAWABAN BENAR
B.
Mengukur massa jenis fluida
PEMBAHASAN
Dengan prinsip kerja yang sederhana, hidrometer dapat digunakan untuk mengukur massa jenis fluida. Dengan cara memasukkan hidrometer ke fluida yang akan diukur massa jenisnya, maka massa jenis fluida dapat diketahui secara langsung.
16.
Jawablah pertanyaan berikut ini!
Berikut adalah penerapan hukum Archimedes, kecuali....
A. Batu bata
B. Kapal selam
C. Balon udara
D. Kapal laut
E. Hidrometer
JAWABAN BENAR
A.
Batu bata
PEMBAHASAN
Penerapan hukum Archimedes ada pada kapal selam, balon udara, hidrometer, dan kapal laut
17.
Jawablah pertanyaan berikut ini!
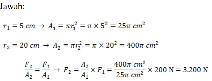
Sebuah penekan hidrolik mempunyai penampang berbentuk lingkaran dengan jari-jari pengisap kecil dan besar masing-masing 5 cm dan 40 cm. Jika pada pengisap kecil dikerjakan gaya 200 N, berapa gaya yang dihasilkan pada pengisap besar? ..
A. 3.100 N
B. 3.200 N
C. 3.300 N
D. 3.400 N
E. 3.500 N
JAWABAN BENAR
B.
3.200 N
PEMBAHASAN


18.
Jawablah pertanyaan berikut ini!
![]()
A. 105x104 N/m2
B. 104x104 N/m2
C. 103x104 N/m2
D. 102x104 N/m2
E. 101x104 N/m2
JAWABAN BENAR
C.
103x104 N/m2
PEMBAHASAN

Oops!!!
Yah, jawaban kamu meleset nih. Ingin melihat pembahasan soal ini?
BENAR!!!
Selamat!
Jawaban kamu benar. Ingin lihat pembahasan soal ini?
footer_v3
Bersama Aku Pintar temukan jurusan kuliah yang tepat
sesuai minat dan bakatmu.
Aku Pintar memiliki visi membuat pendidikan merata, mudah dijangkau, dan terjangkau dengan Program Journey Pintar yang merupakan sebuah program persiapan lengkap bagi siswa SMA/SMK/sederajat yang ingin masuk ke perguruan tinggi impiannya.
Kontak Kami
Grand Slipi Tower Lt. 42
Jl. S. Parman Kav 22-24
Jakarta Barat
© 2024 Aku Pintar. All Rights Reserved