Belajar Pintar Materi SMP, SMA, SMK
BelajarPintarV3
Fisika
Gelombang Berjalan dan Stasioner
MATERI
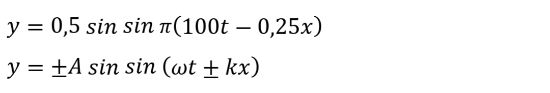
Persamaan Simpangan Gelombang Berjalan

Gelombang Berjalan adalah gelombang yang amplitudo dan fasenya tetap pada setiap titik yang dilewatinya. Pada seutas tali panjang digetarkan sehingga pada tali merambat gelombang transversal ke arah sumbu-x positif seperti terlihat pada gambar di bawah.

Gelombang berjalan yang dihasilkan dimulai dari titik O, yaitu titik asal rambatan gelombang. Saat titik O telah bergetar t sekon, simpangan getar titik O terhadap waktu gelombang memenuhi persamaan simpangan getar harmonis.
Persamaan umum Gelombang
Persamaan umum gelombang dapat dituliskan dalam persamaan berikut :

Dimana,

Bentuk lain dari persamaan gelombang


Arah Rambat, Kecepatan dan Percepatan Gelombang berjalan

Arah Rambat Gelombang
Untuk pola gelombang

Ada beberapa perjanjian tanda diantaranya yaitu :
- Tanda Amplitudo (+) jika gerakan pertama ke arah atas
- Tanda Amplitudo (-) jika gerakan pertama ke arah bawah
- Tanda dalam kurung (+) jika gelombang merambat ke arah sumbu X negatif / ke kiri
- Tanda dalam kurung (-) jika gelombang merambat ke arah sumbu X positif / ke kanan
Persamaan Kecepatan Gelombang
Kecepatan gelombang merupakan turunan pertama dari fungsi simpangan (y) terhadap waktu.
Jika
maka :

Persamaan Percepatan Gelombang
Percepatan gelombang merupakan turunan pertama dari fungsi kecepatan (v) terhadap waktu.
Jika
maka :

Sudut Fase Gelombang

Konsep Sudut Fase Gelombang
Sudut Fase adalah sudut yang ditempuh oleh benda yang bergetar. Sudut fase dinyatakan dalam fungsi sinus dari persamaan umum gelombang.
Persamaan Fase Gelombang
Persamaan sudut fase gelombang dapat dirumuskan dalam persamaan berikut

- Titik-titik yang berjarak I pada gelombang fasenya sama.
- Titik-titik yang berjarak ½ I pada gelombang fasenya berlawanan.
Fase Gelombang

Konsep Fase Gelombang
Fase adalah bagian atau tahapan gelombang. Fase dilambangkan dengan φ(phi). Pada contoh berikut gerakan jarum menit dan jam merupakan sebuah gerak melingkar beraturan. Konsep fase juga diterapkan pada gerak harmonik sepeti yang dialami oleh gelombang benda yang bergetar.
Persamaan Fase Gelombang
Persamaan fase gelombang dapat dirumuskan dalam persamaan berikut :

Titik-titik yang berjarak I pada gelombang fasenya sama.
Titik-titik yang berjarak ½ I pada gelombang fasenya berlawanan.
Beda Fase

Konsep Beda Fase Gelombang
Beda Fase adalah perbedaan fase gelombang atau tahapan gelombang
Persamaan Fase Gelombang
Persamaan beda fase gelombang dapat dirumuskan dalam persamaan berikut :

Dua buah titik bisa memiliki fase sama dengan syarat sebagai berikut:

atau
dengan n = 0,1,2,3, ……
Dua buah titik bisa memiliki fase berlawanan dengan syarat sebagai berikut:
atau
dengan n = 0,1,2,3, ……

1.
Jawablah soal di bawah ini dengan benar !
Persamaan simpangan gelombang berjalan memenuhi

y dan x dalam cm dan t dalam sekon. Cepat rambat gelombang tersebut adalah …
A. 200 cm/s
B. 300 cm/s
C. 400 cm/s
D. 500 cm/s
E. 600 cm/s
JAWABAN BENAR
C.
400 cm/s
PEMBAHASAN
Dari persamaan :

Dapat diketahui cepat rambat gelombang dengan menggunakan persamaan :

2.
Jawablah soal di bawah ini dengan benar !
Sebuah gelombang berjalan dipermukaan air memenuhi persamaan

y dan x dalam cm dan t dalam sekon. Cepat rambat gelombang tersebut adalah …
A. 200 cm/s
B. 0,25 cm/s
C. 0,10 cm/s
D. 0,01 cm/s
E. 10 cm/s
JAWABAN BENAR
B.
0,25 cm/s
PEMBAHASAN
Dari persamaan :

Dapat diketahui cepat rambat gelombang dengan menggunakan persamaan :

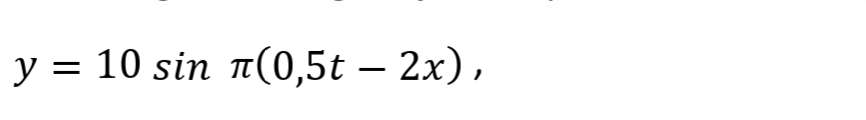
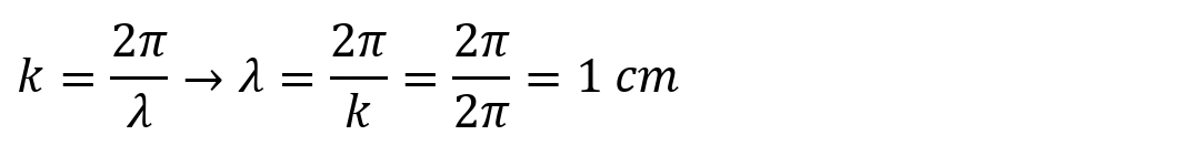
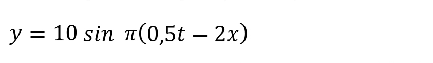
3.
Jawablah soal di bawah ini dengan benar !
Sebuah gelombang berjalan dipermukaan air memenuhi persamaan

y dan x dalam cm dan t dalam sekon. Maka panjang gelombang tersebut adalah …
A. 1 cm
B. 2 cm
C. 3 cm
D. 4 cm
E. 5 cm
JAWABAN BENAR
A.
1 cm
PEMBAHASAN
Dari persamaan

Dapat diketahui panjang gelombang dengan menggunakan persamaan :

4.
Jawablah soal di bawah ini dengan benar !
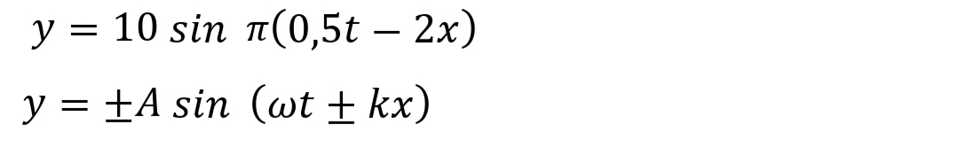
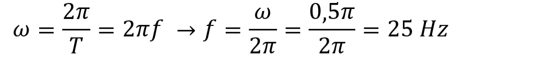
Sebuah gelombang berjalan dipermukaan air memenuhi persamaan

y dan x dalam cm dan t dalam sekon. Maka frekuensi gelombang tersebut adalah …
A. 10 Hz
B. 15 Hz
C. 20 Hz
D. 25 Hz
E. 30 Hz
JAWABAN BENAR
D.
25 Hz
PEMBAHASAN
Dari persamaan

Dapat diketahui frekuensi gelombang dengan menggunakan persamaan :

5.
Jawablah soal di bawah ini dengan benar !

Dari gambar tersebut titik-titik yang memenuhi fase 1 adalah …
A. P dengan V
B. P dengan U
C. Q dengan U
D. Q dengan T
E. R dengan S
JAWABAN BENAR
C.
Q dengan U
PEMBAHASAN
Fase gelombang menyatakan tentang siklus gerak dari gelombang. Gelombang dengan fase 1 gelombang mengandung arti bahwa gerak gelombang telah melakukan siklus satu gelombang seperti pada titik O ke S dalam gambar di atas, dari titik Q ke U, S ke W, P ke T, R ke V, dan sebagainya.
Oops!!!
Yah, jawaban kamu meleset nih. Ingin melihat pembahasan soal ini?
BENAR!!!
Selamat!
Jawaban kamu benar. Ingin lihat pembahasan soal ini?
footer_v3
Bersama Aku Pintar temukan jurusan kuliah yang tepat
sesuai minat dan bakatmu.
Aku Pintar memiliki visi membuat pendidikan merata, mudah dijangkau, dan terjangkau dengan Program Journey Pintar yang merupakan sebuah program persiapan lengkap bagi siswa SMA/SMK/sederajat yang ingin masuk ke perguruan tinggi impiannya.
Kontak Kami
Grand Slipi Tower Lt. 42
Jl. S. Parman Kav 22-24
Jakarta Barat
© 2024 Aku Pintar. All Rights Reserved