Belajar Pintar Materi SMP, SMA, SMK
BelajarPintarV3
Fisika
Gerak Lurus
MATERI
Konsep Gerak Lurus

Tahukah Sobat Pintar, Apa Itu Gerak Lurus ?
Dalam kehidupan sehari-hari kalian sering melakukan gerak lurus loh. Well gerak lurus adalah gerak suatu objek yang lintasannya berupa garis lurus. Benda dikatakan bergerak jika mengalami perpindahan dan menempuh jarak tertentu. Sobat Pintar, jarak dan perpindahan merupakan hal yang berbeda. Jarak merupakan besaran skalar dari seberapa jauh suatu benda telah melakukan perjalanan tanpa memperhatikan arah. Sedangkan perpindahan adalah besaran vektor seberapa jauh suatu benda telah berubah posisi, yang berarti seberapa jauh itu yang dihitung dari mana ia memulai.
Perhatikan gambar berikut!

Roni berlari dari A ke B, kemudian berbalik ke arah C. Jarak yang ditempuh oleh Roni adalah panjang lintasan dari A ke B, yakni 15 m, kemudian ditambah dari B ke C, yakni 5 m sehingga jarak total yang ditempuh adalah 20 m. Jarak yang dimaksud di sini adalah panjang lintasan yang dilalui Roni dan tidak bergantung ke mana arah Roni berlari.
Bagaimana dengan perpindahannya? Perpindahan Roni adalah dari A ke C.
Mengapa demikian? Seperti yang telah dipelajari sebelumnya, perpindahan merupakan besaran vektor sehingga perpindahan Roni hanya dilihat dari perubahan kedudukannya. Pertama di posisi A, kemudian berubah kedudukan akhirnya di C. Besarnya perpindahan Roni adalah 10 m dan arahnya dari A ke C.
Gerak lurus dibagi menjadi dua
- Gerak Lurus Beraturan (GLB)
- Gerak Lurus Berubah Beraturan (GLBB)
Gerak Lurus Beraturan
Sobat Pintar, mari kita lanjut ke topik berikutnya..

Gerak Lurus Beraturan (GLB) adalah salah satu jenis gerak dalam fisika yang lintasannya berupa garis lurus dan kecepatan pergerakannya tetap (konstan). Karena memiliki kecepatan yang tetap, maka dalam Gerak Lurus Beraturan (GLB) tidak terjadi perubahan kecepatan, baik itu percepatan atau perlambatan. Dengan kata lain percepatan sama dengan nol (a = 0).
Berdasarkan konsep ini, maka kita dapat mengetahui hukum yang berlaku pada benda selama terjadinya Gerak Lurus Beraturan (GLB), yaitu Hukum Newton 1. Benda akan tetap diam atau bergerak lurus beraturan jika resultan (penjumlahan) gaya yang bekerja pada benda sama dengan nol.
Nah perlu diketahui bahwa biasanya Gerak Lurus Beraturan (GLB) hanya terjadi dalam kurun waktu tertentu sebelum akhirnya terjadi perubahan kecepatan (percepatan atau perlambatan) baik itu akibat pengaruh dari gaya lain atau pun karena kemampuan pergerakan benda itu sendiri.
Gerak Lurus Beraturan (GLB) mempunyai 3 ciri utama, yaitu :
- Lintasannya berupa garis lurus
- Kecepatannya konstan (tetap sama)
- Percepatan sama dengan nol
Rumus Gerak Lurus Beraturan (GLB)
Sobat Pintar sebelumnya sudah mengetahui besaran - besaran fisika penting dalam Gerak Lurus Beraturan, sekarang mari kita bahas rumus dari Gerak Lurus Beraturan.
Sesuai dengan besaran – besaran yang mempengaruhinya, berikut adalah rumus untuk Gerak Lurus Beraturan (GLB)
v = s / t
s = v x t
t = s / v
Keterangan :
v = kecepatan (m/s)
s = jarak (m)
t = waktu (s)
Berikut ini merupakan grafik kecepatan terhadap waktu

Grafik 1. Grafik v terhadap t
1.
Kerjakan soal di bawah ini dengan benar!
Ambar mengendarai sepeda motor dengan kecepatan 45 km/jam. Jarak yang ditempuh Ambar selama 1 menit adalah ….
A. 250 m
B. 500 m
C. 750 m
D. 900 m
E. 950 m
JAWABAN BENAR
C.
750 m
PEMBAHASAN
s = v x t = 12,5 m/s x 60 s = 750 m
Jadi, jarak yang ditempuh Adi selama 1 menit adalah 750 m.
2.
Kerjakan soal di bawah ini dengan benar!
Seekor semut bergerak dari titik A menuju titik B pada seperti terlihat pada gambar berikut!

Jika r = 2 m, dan lama perjalanan semut adalah 10 sekon. Berapakah kecepatan rata-rata semut?
A. 0,2 m/s
B. 0,2 akar 2 m/s
C. 0,3 akar 2 m/s
D. 0,4 m/s
E. 0,5 m/s
JAWABAN BENAR
B.
0,2 akar 2 m/s
PEMBAHASAN
Nilai perpindahan dan jarak si semut :
Jarak yang ditempuh semut adalah dari A melalui permukaan lengkung hingga titik B, tidak lain adalah seperempat keliling lingkaran.
Jarak = 1/4 (2nr) = 1/4 (2n x 2) = n meter
Perpindahan semut dilihat dari posisi awal dan akhirnya , sehingga perpindahan adalah dari A tarik garis lurus ke B. Cari dengan phytagoras.
Perpindahan = akar( 22 + 22 ) = 2 akar 2 meter. Sehingga kecepatan rata-rata = perpindahan : selang waktu
Kecepatan rata-rata = 2 akar 2 meter : 10 sekon = 0,2 akar 2 m/s
3.
Kerjakan soal di bawah ini dengan benar!
Sebuah partikel bergerak dari titik A menuju titik B kemudian menuju titik C pada sumbu koordinat seperti gambar di bawah. Berapakah perpindahan dan jarak tempuh partikel dari A hingga C ?

A. 12 m dan 4 m
B. 4 m dan 12 m
C. 14 m dan -4 m
D. -4 m dan 14 m
E. -14 m dan -4 m
JAWABAN BENAR
D.
-4 m dan 14 m
PEMBAHASAN
Perpindahan partikel pada sumbu x memenuhi:

Perpindahannya adalah 4 m ke kiri
Jarak tempuh memenuhi:
sAC= sAB+sBC
sAC= 5+9 = 14 m
4.
Kerjakan soal di bawah ini dengan benar!
Aura diminta berlari di lapangan sepak bola. Dari titik pojok lapangan sekolah dia berlari ke Timur hingga sejauh 80 m dalam waktu 25 sekon. Kemudian melanjutkan ke arah utara hingga sejauh 60 m dalam waktu 15 sekon. Berapakah kecepatan rata-rata Aura ?
A. 2,5 m/s
B. 3,5 m/s
C. 4,5 m/s
D. 5,5 m/s
E. 6,5 m/s
JAWABAN BENAR
A.
2,5 m/s
PEMBAHASAN

5.
Kerjakan soal di bawah ini dengan benar!
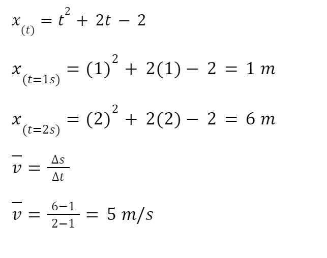
Sebuah benda bergerak dengan mengikuti persamaan x = t2 + 2t – 2. Diketahui x adalah perpindahan yang ditempuh benda (dalam meter) dan t adalah waktu tempuh (sekon). Berapakah kecepatan rata-rata pada saat t = 1 s dan t = 2 s ?
A. 5 m/s
B. 10 m/s
C. 15 m/s
D. 20 m/s
E. 25 m/s
JAWABAN BENAR
A.
5 m/s
PEMBAHASAN

Oops!!!
Yah, jawaban kamu meleset nih. Ingin melihat pembahasan soal ini?
BENAR!!!
Selamat!
Jawaban kamu benar. Ingin lihat pembahasan soal ini?
footer_v3
Bersama Aku Pintar temukan jurusan kuliah yang tepat
sesuai minat dan bakatmu.
Aku Pintar memiliki visi membuat pendidikan merata, mudah dijangkau, dan terjangkau dengan Program Journey Pintar yang merupakan sebuah program persiapan lengkap bagi siswa SMA/SMK/sederajat yang ingin masuk ke perguruan tinggi impiannya.
Kontak Kami
Grand Slipi Tower Lt. 42
Jl. S. Parman Kav 22-24
Jakarta Barat
© 2024 Aku Pintar. All Rights Reserved