Belajar Pintar Materi SMP, SMA, SMK
BelajarPintarV3
Fisika
Gerak Melingkar Beraturan (GMB)
MATERI
Pengertian Gerak Melingkar Beraturan (GMB)


Tahukah Sobat Pintar, Apa Itu Gerak Melingkar Beraturan ?
Gerak Melingkar Beraturan (GMB) adalah gerak melingkar yang memiliki kecepatan sudut konstan (tetap). Gerak Melingkar itu sendiri adalah gerak yang lintasannya berupa lingkaran, sedangkan kecepatan sudut atau kecepatan anguler adalah sudut yang ditempuh oleh sebuah titik yang bergerak di tepi lingkaran dalam satuan waktu tertentu. Arah dari kecepatan sudut pada GMB searah dengan arah dari kecepatan linearnya.
Kecepatan sudut dari gerak melingkar beraturan memang tetap, tetapi arah kecepatan sudutnya berbeda – beda karena gerak benda dipengaruhi oleh gaya yang membelokkan benda tersebut, gaya ini disebut dengan gaya sentripetal. Karena arah kecepatan yang berbeda ini, maka terdapat arah percepatan yang berubah-ubah pada GMB. Percepatan yang dipengaruhi oleh gaya sentripetal ini disebut dengan percepatan sentripetal, arah percepatan tersebut selalu menuju titik pusat lingkaran tetapi besar percepatan sentripetal tetap sama karena tidak terjadi perubahan kecepatan sudut benda.
Ciri – Ciri Gerak Melingkar Beraturan (GMB)
- Memiliki lintasan yang berupa lingkaran.
- Dipengaruhi oleh gaya sentripetal.
- Memiliki kecepatan sudut yang tetap (konstan)
- Percepatan sentripetal yang berubah – ubah.
Besaran Fisika dalam Gerak Melingkar Beraturan
Berikut merupakan besaran – besaran fisika dalam gerak melingkar beraturan:
Sudut
Sudut adalah salah satu besaran yang berupa ruas garis dari satu titik pangkal antar satu posisi ke posisi lainnya. Satuan internasional untuk Sudut adalah radian (rad), tetapi satuan yang lebih sering dipakai untuk menggambarkan sudut adalah derajat. Sebuah lingkaran memiliki sudut sebesar 360 derajat. Simbol yang digunakan untuk melambangkan sudut adalah theta.
1 lingkaran = 2π radian = 360o
1 radian = 360o/2
1 radian = 180
Kecepatan Sudut dan Kecepatan Linear
Kecepatan Sudut (Kecepatan Anguler)
Kecepatan sudut atau yang juga sering disebut dengan kecepatan anguler adalah sudut yang ditempuh oleh sebuah titik yang bergerak di tepi lingkaran dalam satuan waktu (t) tertentu. Satuan internasional untuk kecepatan sudut adalah rad per detik (rad/s). Simbol yang digunakan untuk melambangkan kecepatan sudut adalah omega.
Perhatikan gambar lintasan berikut!

Kecepatan Linear (Kecepatan Tangensial)
Kecepatan Linear (Kecepatan Tangensial) adalah salah satu besaran dalam fisika yang menunjukkan seberapa cepat sebuah benda berpindah dari suatu tempat ke tempat lainnya. Satuan internasional yang digunakan untuk kecepatan linear adalah meter per sekon (m/s), tetapi dalam kehidupan sehari-hari di Indonesia, pasti kita lebih sering memakai satuan kilometer per jam (km/jam), sedangkan di amerika lebih sering dipakai mil per jam, (mil/jam). Kecepatan dapat diperoleh dari perkalian antara jarak yang ditempuh dengan waktu tempuh. Simbol dari kecepatan adalah v (huruf kecil).
Rumus Kecepatan Sudut dan Kecepatan Linier
Kecepatan Sudut dan Kecepatan Linier dapat dirumuskan sebagai berikut :

keterangan:

Nilai kecepatan sudut dapat dicari jika diketahui frekuensi ataupun periodenya. Untuk mencari kecepatan sudut, digunakan rumus:

Besaran Fisika dalam Gerak Melingkar Beraturan 2
Percepatan Sentripetal, Percepatan Sudut dan Percepatan Linear
Percepatan Sentripetal
Pada gerak melingkar, terdapat suatu percepatan pada objek yang mengarah ke pusat titik lintasan yang dinamakan percepatan sentripetal yang mana arahnya tegak lurus dengan arah kecepatan linear. Perhatikan gambar dibawah.

Percepatan Sudut (Percepatan Anguler)
Percepatan Sudut adalah perubahan kecepatan sudut dalam satuan waktu (t) tertentu. Apabila kecepatan sudut semakin bertambah, maka akan terjadi percepatan (penambahan kecepatan) sudut sehingga percepatan sudutnya positif, sedangkan apabila kecepatan sudutnya berkurang maka akan terjadi perlambatan (pengurangan kecepatan) sehingga percepatan sudutnya negatif.
Satuan Internasional untuk percepatan sudut adalah radian per detik kuadrat (rad/s²). Simbol yang digunakan untuk melambangkan percepatan sudut adalah alfa
Percepatan Linear (Percepatan Tangensial)
Percepatan linear atau percepatan tangensial adalah perubahan kecepatan yang terjadi pada benda karena pengaruh gaya yang bekerja pada benda atau karena keadaan benda. Satuan Internasional untuk kecepatan adalah m/s² . Simbol yang digunakan untuk melambangkan percepatan linear adalah “a”.
Jika perubahan kecepatannya negatif (kecepatan benda menurun) maka disebut dengan perlambatan (a = -), sedangkan jika perubahan kecepatan positif (kecepatannya meningkat) maka disebut dengan percepatan (a = +).
Rumus Percepatan Sudut dan Percepatan Linier
Percepatan Sudut dan Percepatan Linier dapat dirumuskan sebagai berikut :

Waktu Tempuh
Waktu tempuh adalah waktu yang dibutuhkan oleh suatu benda untuk berpindah dari suatu posisi ke posisi yang lain dalam kecepatan tertentu. Satuan Internasional untuk taktu tempuh adalah sekon (s), sedangkan simbol yang dipakai untuk melambangkan waktu tempuh adalah t (huruf kecil). Waktu tempuh dapat diperoleh dari hasil pembagian jarak dengan kecepatan.
Frekuensi dan Periode
Frekuensi
Secara umum frekuensi adalah besaran ukuran jumlah putaran ulang suatu peristiwa dalam waktu tertentu. Dalam gerak melingkar, frekuensi adalah jumlah putaran yang dapat dilakukan suatu benda dalam satu detik. Satuan internasional yang dipakai untuk frekuensi adalah Hertz (Hz). Simbol yang digunakan untuk melambangkan frekuensi adalah f (huruf kecil). Dapat dinyatakan dengan persamaan :

Keterangan :
n = jumlah getaran
t = waktu (s)
T = periode (s)
f = frekuensi (Hz)
Periode
Periode adalah waktu yang ditempuh untuk melakukan suatu peristiwa. Dalam gerak melingkar periode adalah waktu yang diperlukan untuk menempuh satu lingkaran. Satuan yang sering digunakan untuk periode adalah detik atau sekon (s). Simbol yang digunakan untuk melambangkan periode adalah T (huruf besar). Dapat dinyatakan dengan persamaan :

Keterangan :
n = jumlah getaran
t = waktu (s)
T = periode (s)
f = frekuensi (Hz)
Radius
Radius atau yang juga sering kita sebut dengan jari – jari lingkaran adalah garis yang menghubungkan titik pusat dengan bagian terluar dari sebuah lingkaran. Satuan yang sering dipakai untuk radius adalah satuan panjang seperti meter (m), sentimeter (cm), kilometer (km), dll. Simbol yang digunakan untuk melambangkan radius adalah r (huruf kecil).
Rumus Gerak Melingkar Beraturan



1.
Jawablah soal di bawah ini dengan benar!
Periode benda yang bergerak melingkar beraturan dengan jari-jari 1 m adalah 0,2 s. Kecepatan sudut benda itu adalah ....
A. 5 rad/s
B. 10 rad/s
C. 15 rad/s
D. 20 rad/s
E. 25 rad/s
JAWABAN BENAR
B.
10 rad/s
PEMBAHASAN

2.
Jawablah soal di bawah ini dengan benar!
Sebuah mobil mengitari lintasan melingkar mendatar dengan jari-jari 20 m dan kelajuan tetap 10 m/s. Percepatan mobil adalah ....
A. 3 m/s2
B. 5 m/s2
C. 8 m/s2
D. 10 m/s2
E. 15 m/s2
JAWABAN BENAR
B.
5 m/s2
PEMBAHASAN

3.
Jawablah soal di bawah ini dengan benar!
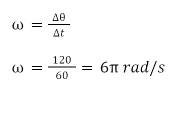
Farel mengendarai sepeda dengan jari-jari roda 40 cm diputar dengan kecepatan tetap. Kutub ban tersebut dapat berputar menempuh sudut 120 n rad dalam 20 detik. Berapakah kecepatan sudutnya roda sepeda Farel? (n=phi)
A. 6 rad/s
B. 8 rad/s
C. 12 rad/s
D. 16 rad/s
E. 18 rad/s
JAWABAN BENAR
A.
6 rad/s
PEMBAHASAN

4.
Jawablah soal di bawah ini dengan benar!
Partikel yang berputar pada lintasan melingkar berubah kecepatan sudutnya dari 120 rpm menjadi 180 rpm dalam 40 sekon. Berapakah percepatan sudut gerak partikel itu? (n=phi)
A. 0,025n rad/s2
B. 0,05n rad/s2
C.
0,1n rad/s2
D. 0,2n rad/s2
E. 0,25n rad/s2
JAWABAN BENAR
B.
0,05n rad/s2
PEMBAHASAN

5.
Jawablah soal di bawah ini dengan benar!
Balok berada di tepi meja putar yang memiliki jari-jari 0,8 m. Meja tersebut berputar dengan kecepatan sudut 30 rad/s. Kemudian meja mengalami percepatan sehingga kecepatan sudutnya berubah menjadi 60 rad/s setelah bergerak 10 s. Berapakah kecepatan linier awal balok kecil tersebut?
A. 4 m/s
B. 8 m/s
C. 12 m/s
D. 18 m/s
E. 24 m/s
JAWABAN BENAR
E.
24 m/s
PEMBAHASAN

Oops!!!
Yah, jawaban kamu meleset nih. Ingin melihat pembahasan soal ini?
BENAR!!!
Selamat!
Jawaban kamu benar. Ingin lihat pembahasan soal ini?
footer_v3
Bersama Aku Pintar temukan jurusan kuliah yang tepat
sesuai minat dan bakatmu.
Aku Pintar memiliki visi membuat pendidikan merata, mudah dijangkau, dan terjangkau dengan Program Journey Pintar yang merupakan sebuah program persiapan lengkap bagi siswa SMA/SMK/sederajat yang ingin masuk ke perguruan tinggi impiannya.
Kontak Kami
Grand Slipi Tower Lt. 42
Jl. S. Parman Kav 22-24
Jakarta Barat
© 2024 Aku Pintar. All Rights Reserved