Belajar Pintar Materi SMP, SMA, SMK
BelajarPintarV3
Fisika
Hukum Newton tentang Gravitasi
Daftar Materi
MATERI
Pengertian Energi Potensial Gravitasi

Energi potensial gravitasi adalah usaha yang diperlukan untuk memindahkan suatu benda dari titik yang terletak di jauh tak terhingga ke suatu titik tertentu terhadap sumber medan gravitasi.
Besarnya energi potensial dari sebuah benda bermassa m yang berjarak r dari bumi yang massanya M adalah:

Tanda negatif (-) menunjukan bahwa makin jauh dari suatu massa planet, energi potensialnya makin besar. Dengan kata lain untuk memindahkan benda bermassa m dari titik yang berjarak r dari bumi ke titik di jauh tak terhingga diperlukan energi.

Sumber: https://www.wardayacollege.com/
1.
Jawablah pertanyaan berikut ini!
Sebuah pesawat antariksa bermassa 1 ton akan diluncurkan dari permukaan bumi. Jari-jari bumi R = 6,38.106 m dan massa bumi 5,98.1024 kg. Tentukan energi potensial pesawat saat di permukaan bumi!
A. - 6,3 x 109 J
B. - 6,3 x 1010 J
C. - 6,4 x 1010 J
D. - 6,5 x 1010 J
E. - 6,5 x 1011 J
JAWABAN BENAR
B.
- 6,3 x 1010 J
PEMBAHASAN
Diketahui:
m = 1 ton = 1000 kg
M = 5,98 x 1024 kg
R = 6,38 x 106 m

2.
Jawablah pertanyaan berikut ini!
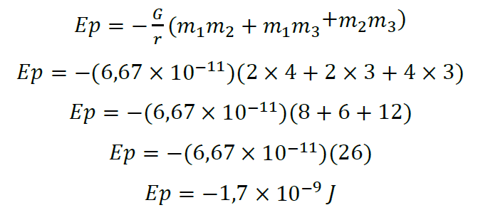
Tiga buah partikel diletakkan di sudut-sudut segitiga sama sisi yang sisinya 1 m seperti terlihat pada gambar di bawah ini

Jika massa benda pertama, kedua, dan ketiga berturut-turut adalah 2 kg, 4 kg, dan 3 kg, maka tentukan besar energi potensial sistem tersebut!
JAWABAN BENAR
A.
PEMBAHASAN

Karena jarak ketiga partikel tersebut sama (r = 1 m), maka:

Oops!!!
Yah, jawaban kamu meleset nih. Ingin melihat pembahasan soal ini?
BENAR!!!
Selamat!
Jawaban kamu benar. Ingin lihat pembahasan soal ini?
footer_v3
Bersama Aku Pintar temukan jurusan kuliah yang tepat
sesuai minat dan bakatmu.
Aku Pintar memiliki visi membuat pendidikan merata, mudah dijangkau, dan terjangkau dengan Program Journey Pintar yang merupakan sebuah program persiapan lengkap bagi siswa SMA/SMK/sederajat yang ingin masuk ke perguruan tinggi impiannya.
Kontak Kami
Grand Slipi Tower Lt. 42
Jl. S. Parman Kav 22-24
Jakarta Barat
© 2024 Aku Pintar. All Rights Reserved