Belajar Pintar Materi SMP, SMA, SMK
BelajarPintarV3
Fisika
Hukum Newton tentang Gravitasi
MATERI
Pengantar Hukum Newton tentang Gravitasi


Sumber: https://www.kompasiana.com/
Sobat Pintar, di materi sebelumnya kita sudah mempelajari gaya sentuhan/kontak dan gaya tidak sentuh. Gaya sentuhan terdiri dari gaya normal (N), gaya gesekan (fg) ataupun gaya dorong itu sendiri. Sedangkan untuk gaya tak sentuh disebut juga dengan gaya medan ini muncul walaupun benda tidak bersentuhan contohnya gaya listrik, gaya magnet, dan gaya gravitasi.
Nah, sebelum mengungkapkan konsep gravitasi nya, Newton sebelumnya menyelidiki gerak-gerak benda angkasa, yaitu planet dan bulan. Dalam penyelidikan itu, Newton menyadari bahwa harus ada gaya pada bulan sehingga bulan tetap berada pada orbitnya mengitari bumi. Jika gaya ini tidak ada pada bulan maka bulan akan bergerak pada lintasan lurus. Pada suatu cerita, suatu ketika Newton sedang duduk bersantai di taman rumahnya dan memperhatikan sebuah apel yang jatuh dari pohon nya. Hal inilah yang menginspirasi Newton membahas ide gravitasi yang selalu di pikirkan selama ini.
Gaya gravitasi merupakan gaya yang ditimbulkan akibat adanya tarikan gravitasi bumi. Gaya gravitasi umumnya akan membuat benda jatuh ke permukaan bumi. Gaya gravitasi sering disebut dengan gaya berat atau gaya tarik bumi. Contoh dari adanya gaya gravitasi seperti bola yang dilempar ke atas, akan cenderung jatuh ke bawah. Kemudian, buah yang sudah matang di atas pohon, akan jatuh ke bawah.
Hukum Gravitasi Newton

Sobat Pintar, untuk menyelidiki ide tentang gravitasi ini, Newton menghubungkan berbagai parameter yang akan mempengaruhi tentang konsep gravitasi, seperti massa benda (m) dan jarak pisah (r) antara benda-benda yang saling berinteraksi satu dengan yang lainnya. Perhatikan gambar berikut!

Sumber: https://classnotes.org.in/
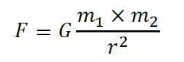
Berdasarkan Hukum Gravitasi Newton di atas, telah dijelaskan bahwa Gaya Gravitasi merupakan gaya tarik menarik akibat interaksi dua buah benda, yang selalu berbanding lurus dengan perkalian massa masing-masing benda dan berbanding terbalik dengan kuadrat jarak antara keduanya, sehingga persamaan gaya gravitasi dapat ditulis:

1.
Jawablah pertanyaan berikut ini!
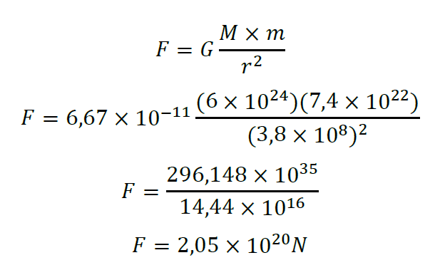
Massa bumi adalah 6x1024 kg dan massa bulan adalah 7,4x1022 kg. Apabila jarak rata-rata Bumi dengan Bulan adalah 3,8x108 m dan G = 6,67x10-11 Nm2/kg2 , Berapakah gaya gravitasi antara Bumi dengan Bulan?
A. 2,00 x 1020 N
B. 2,05 x 1020 N
C. 2,00 x 1021 N
D. 2,50 x 1021 N
E. 2,00 x 1022 N
JAWABAN BENAR
B.
2,05 x 1020 N
PEMBAHASAN

2.
Jawablah pertanyaan berikut ini!
Tiga buah benda A, B, C diletakkan seperti pada gambar. Massa A, B, C berturut-turut 5 kg, 4 kg, dan 10 kg. Jika G = 6,67x10-11 Nm/kg. Berapakah besarnya gaya gravitasi pada benda A akibat pengaruh benda B dan C?

A. 4,08 x 10-11 N
B. 4,17 x 10-11 N
C. 4,35 x 10-11 N
D. 5,18 x 10-11 N
E. 7,26 x 10-11 N
JAWABAN BENAR
B.
4,17 x 10-11 N
PEMBAHASAN

3.
Jawablah pertanyaan berikut ini!
Besar gaya gravitasi antara dua buah benda yang berinteraksi adalah…
A. berbanding terbalik dengan kuadrat massa kedua benda
B. berbanding terbalik dengan kuadrat jarak kedua benda
C. berbanding terbalik dengan jarak kedua benda
D. sebanding dengan kuadrat massa kedua benda
E. sebanding dengan kuadrat jarak kedua benda
JAWABAN BENAR
B.
berbanding terbalik dengan kuadrat jarak kedua benda
PEMBAHASAN
Gaya Gravitasi merupakan gaya tarik menarik akibat interaksi dua buah benda, yang selalu berbanding lurus dengan perkalian massa masing-masing benda dan berbanding terbalik dengan kuadrat jarak antara keduanya, sehingga persamaan gaya gravitasi dapat ditulis:

4.
Jawablah pertanyaan berikut ini!
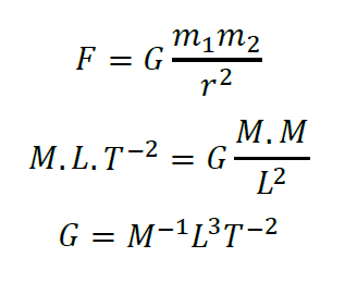
Apabila dimensi panjang, massa, dan waktu berturut-turut adalah L, M, dan T, maka dimensi dan konstanta gravitasi adalah…
A. M L T
B. M L T2
C. M2L2T
D. M2L2T3
E. M-1L3T-2
JAWABAN BENAR
E.
M-1L3T-2
PEMBAHASAN
berdasarkan rumus gaya gravitasi:

5.
Jawablah pertanyaan berikut ini!
Jika Bumi menyusut menjadi setengah semula, tetapi massanya tetap, maka apa yang terjadi dengan massa benda-benda yang ada di permukaan bumi?
A. massa benda tetap
B. berat benda tetap
C. berat benda menjadi setengah semula
D. berat benda menjadi dua kali semula
E. massa benda menjadi empat kali semula
JAWABAN BENAR
A.
massa benda tetap
PEMBAHASAN
Dalam teori mekanika klasik (Newton) massa benda selalu tetap tidak dipengaruhi tempat.
Oops!!!
Yah, jawaban kamu meleset nih. Ingin melihat pembahasan soal ini?
BENAR!!!
Selamat!
Jawaban kamu benar. Ingin lihat pembahasan soal ini?
footer_v3
Bersama Aku Pintar temukan jurusan kuliah yang tepat
sesuai minat dan bakatmu.
Aku Pintar memiliki visi membuat pendidikan merata, mudah dijangkau, dan terjangkau dengan Program Journey Pintar yang merupakan sebuah program persiapan lengkap bagi siswa SMA/SMK/sederajat yang ingin masuk ke perguruan tinggi impiannya.
Kontak Kami
Grand Slipi Tower Lt. 42
Jl. S. Parman Kav 22-24
Jakarta Barat
© 2024 Aku Pintar. All Rights Reserved