Belajar Pintar Materi SMP, SMA, SMK
BelajarPintarV3
Fisika
Hukum Newton tentang Gravitasi
MATERI
Kuat Medan Gravitasi

Sobat Pintar, kita sudah mempelajari terkait Gaya Gravitasi sekarang yuk kita lanjut ke topik terkait Medan Gravitasi!
Medan gravitasi adalah ruang yang masih dipengaruhi oleh gaya gravitasi. Besaran yang menyatakan medan gravitasi disebut kuat medan gravitasi (g), yaitu gaya gravitasi tiap satuan massa.
Kuat medan gravitasi (g) merupakan besaran vektor, yaitu medan yang setiap titiknya memiliki nilai dan arah. Garis-garis medan gravitasi (g) merupakan garis-garis bersambungan (kontinu) yang selalu mengarah menuju ke massa sumber medan gravitasi.

Sumber: https://mechanicaltopdc.blogspot.com/
Kuat medan gravitasi (g) pada titik apapun dalam suatu ruang didefinisikan sebagai gaya gravitasi (F) per satuan massa pada bermassa uji (M). Secara matematis dapat dituliskan sebagai berikut:

Kuat medan gravitasi terletak pada satu garis hubung yang menghubungkan titik kerja dan pusat massa sumber benda (M) dan arahnya selalu menuju ke pusat massa sumber benda (M). Berdasarkan analisa di atas, dapat disimpulkan bahwa medan gravitasi sama dengan percepatan gravitasi (g).
Resultan Kuat Medan Gravitasi


Kuat medan gravitasi merupakan besaran vektor, sehingga bila suatu benda dipengaruhi oleh gaya gravitasi beberapa benda lain, maka besarnya kuat medan gravitasi yang dialami benda tersebut merupakan resultan vektor kuat medan gravitasi yang bekerja pada benda itu.
Kuat medan jika beberapa benda segaris

Besarnya kuat medan gravitasi yang dialami benda B adalah:
gB = gBC – gBA

Kuat medan jika beberapa benda membentuk sudut

Maka besar kuat medan gravitasi total yang dialami benda m1 sebesar:

Kuat medan gravitasi pada jarak h dari permukaan planet bumi


Semakin jauh jarak benda dari permukaan bumi, maka kuat medan yang dialami benda tersebut semakin kecil, sehingga berat benda juga mengecil.
1.
Jawablah pertanyaan berikut ini!
Satelit A dan B mengorbit bumi pada kedudukan masing-masing R dan 3R di atas permukaan bumi (R = jari-jari bumi). Perbandingan kuat medan gravitasi yang dialami satelit A dan B adalah…
A. 9 : 6
B. 6 : 3
C. 4 : 3
D. 4 : 1
E. 3 : 4
JAWABAN BENAR
D.
4 : 1
PEMBAHASAN
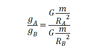
Pada soal diketahui:
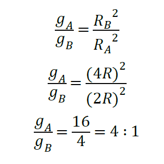
RA = R + R = 2R
RB = 3R + R = 4R
Menentukan perbandingan kuat medan gravitasi:


2.
Jawablah pertanyaan berikut ini!
Titik A, B, dan C terletak dalam medan gravitasi bumi seperti gambar dibawah ini.

Diketahui M = massa bumi dan R = jari-jari bumi. Kuat medan gravitasi di titik A adalah g. Perbandingan kuat medan gravitasi di titik A dengan di titik C adalah…
A. 3 : 8
B. 4 : 1
C. 8 : 1
D. 8 : 3
E. 9 : 1
JAWABAN BENAR
E.
9 : 1
PEMBAHASAN
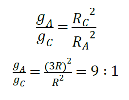
Pada soal diketahui:
RA = R
RC = R + 2R = 3R
Menentukan perbandingan kuat medan gravitasi:

3.
Jawablah pertanyaan berikut ini!
Perbandingan kuat medan gravitasi bumi untuk dua benda, yang satu di permukaan bumi dan satu lagi di ketinggian yang berjarak setengah R dari permukaan bumi (R = jari-jari bumi) adalah…
A. 1 : 2
B. 2 : 3
C. 3 : 2
D. 4 : 9
E. 9 : 4
JAWABAN BENAR
E.
9 : 4
PEMBAHASAN
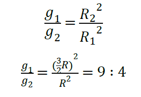
Pada soal diketahui:

Menentukan perbandingan kuat medan gravitasi:

4.
Jawablah pertanyaan berikut ini!
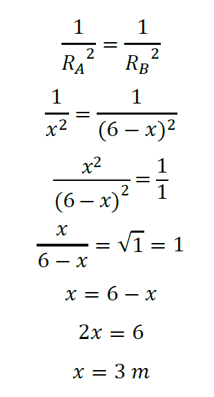
Dua bola A dan B massanya sama dan garis tengahnya sama seperti gambar dibawah ini.

Jika kuat medan gravitasi di suatu titik sama dengan nol, maka jarak titik tersebut dari kulit bola A adalah…
A. 1,0 m
B. 1,5 m
C. 2,0 m
D. 2,5 m
E. 3,0 m
JAWABAN BENAR
D.
2,5 m
PEMBAHASAN
Untuk menjawab soal ini kita anggap kuat medan gravitasi nol berada di titik A seperti gambar dibawah ini

Berdasarkan gambar di atas, kita peroleh:


Jarak titik A ke kulit bola A = 3 m - 0,5 m = 2,5 m
5.
Jawablah pertanyaan berikut ini!
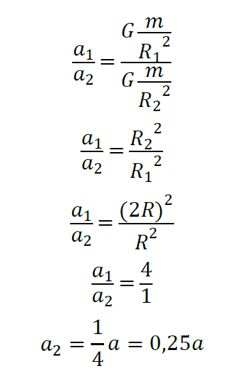
Percepatan gravitasi rata-rata di permukaan bumi sama dengan a. Untuk tempat di ketinggian R (R = jari-jari bumi) dari permukaan bumi memiliki percepatan gravitasi sebesar…
A. 0,125 a
B. 0,250 a
C. 0,500 a
D. 1,00 a
E. 4,00 a
JAWABAN BENAR
B.
0,250 a
PEMBAHASAN
Pada soal diketahui:
R1 = R
R2 = R + R = 2R
a1 = a
Menentukan percepatan gravitasi:

Oops!!!
Yah, jawaban kamu meleset nih. Ingin melihat pembahasan soal ini?
BENAR!!!
Selamat!
Jawaban kamu benar. Ingin lihat pembahasan soal ini?
footer_v3
Bersama Aku Pintar temukan jurusan kuliah yang tepat
sesuai minat dan bakatmu.
Aku Pintar memiliki visi membuat pendidikan merata, mudah dijangkau, dan terjangkau dengan Program Journey Pintar yang merupakan sebuah program persiapan lengkap bagi siswa SMA/SMK/sederajat yang ingin masuk ke perguruan tinggi impiannya.
Kontak Kami
Grand Slipi Tower Lt. 42
Jl. S. Parman Kav 22-24
Jakarta Barat
© 2024 Aku Pintar. All Rights Reserved