Belajar Pintar Materi SMP, SMA, SMK
BelajarPintarV3
Fisika
Kinematika
Daftar Materi
MATERI
Pengertian Gerak Parabola

Tahukah Sobat Pintar, Apa Itu Gerak Parabola ?
Gerak Parabola merupakan resultan dari gerak lurus beraturan pada sumbu X dan gerak lurus berubah beraturan pada sumbu Y. Gerak parabola merupakan salah satu contoh gerak pada bidang datar. Sebagai contoh gerak parabola adalah gerakan peluru yang ditembakan dari sebuah meriam dengan kecepatan awal tertentu dan dengan sudut kecondongan tertentu pula. Ternyata lintasan yang dilalui oleh peluru berupa lintasan melengkung yang disebut gerak parabola.
Memahami Gerak Parabola
Untuk memahami gerak parabola terlebih dahulu kita perhatikan hasil perpaduan gerak dari sebuah benda yang melakukan dua gerakan langsung pada bidang datar. Misalnya, persamaan gerak pada :

Untuk mengetahui bentuk lintasan hasil perpaduannya terlebih dahulu kita lihat isi tabel di bawah ini!

( Sumber: Douglas C. Giancoli, 2005)
Jika diambil nilai t yang berdekatan, maka grafik hasil perpaduan lintasan pada sumbu x dan sumbu y terlihat seperti di bawah ini.

( Sumber: Douglas C. Giancoli, 2005)
Persamaan gerak pada sumbu x adalah persamaan gerak lurus beraturan. Persaman gerak pada sumbu y adalah persamaan gerak lurus berubah beraturan diperlambat. Ternyata gerak hasil perpaduannya berupa gerak parabola.
Untuk membahas gerak parabola, perhatikan dulu sketsa hasil pemotretan dua benda yang bergerak dari tempat yang sama.

( Sumber: Douglas C. Giancoli, 2005)
Gambar diatas menunjukkan hasil pemotretan gerakan dua benda. Benda pertama jatuh bebas, sedangkan benda kedua dilempar dengan kecepatan awal v0 arah mendatar. Kedua benda jatuh ke bawah secara serempak. Gerakan arah vertikal mengikuti gerak lurus berubah beraturan dan gerak arah mendatar mengikuti gerak lurus beraturan. Lintasan yang dilalui oleh benda kedua adalah lintasan parabola.
Dalam tulisan berjudul Discources On Two New Sciences, Galileo mengemukakan sebuah ide yang sangat berguna dalam menganalisis gerak parabola. Dia menyatakan bahwa gerak parabola dapat dipandang sebagai perpaduan gerak lurus beraturan pada sumbu horizontal (sumbu x) dan gerak lurus berubah beraturan pada sumbu vertikal (sumbu y) secara terpisah.
Persamaan Gerak Parabola
Sobat pintar, lanjut ke topik selanjutnya...
Tiap gerakan ini tidak saling mempengaruhi tetapi gabungannya tetap menghasilkan gerak menuju ke bumi. Bagaimanakah bentuk persamaan gerak parabola tersebut? Perhatikan gambar berikut!

( Sumber: Douglas C. Giancoli, 2005)
Gambar diatas merupakan sebuah benda yang dilempar dengan kecepatan awal vo dan sudut kecondongan (sudut elevasi) sebesar (alfa) sehingga benda melakukan gerak parabola.
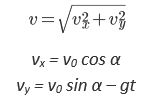
Jika kecepatan awal vo diuraikan pada sumbu x dan sumbu y di dapat vox dan voy dimana :

Nah Sobat, untuk selanjutnya mari kita bahas dulu gerakan benda pada sumbu x dan sumbu yaaa...
Gerakan Benda pada Sumbu x dan Sumbu y
Gerak pada Sumbu x (Gerak Lurus Beraturan)
Kecepatan awal adalah 
Karena gerak pada sumbu x adalah gerak lurus beraturan, maka kecepatan setelah t adalah :

Perpindahan yang ditempuh setelah t adalah :

Gerak pada Sumbu y (Gerak Lurus Berubah Beraturan)
Gerak pada sumbu y selalu mendapatkan percepatan ay = -g dimana g adalah percepatan gravitasi.
Kecepatan setelah t adalah Vty = Voy – gt

Perpindahan yang ditempuh setelah t adalah

Tempat Kedudukan Setiap Saat (TK)
Tempat kedudukan benda setiap saat dinyatakan dengan koordinat TK = (Xt, Yt)
Kecepatan dan Arah Kecepatan Setiap Saat
Kecepatan benda setiap saat merupakan resultan dari kecepatan benda pada arah sumbu x dan kecepatan benda pada arah sumbu y, sehingga kecepatan benda setiap saat :

Jika arah kecepatan benda setiap saat dinyatakan dengan B, maka :

Kedudukan Benda pada Gerak Parabola
1. Kedudukan Benda di Tempat Tertinggi
Pada saat benda berada di tempat tertinggi (di titik A) arah kecepatan mendatar sehingga :

Dengan demikian, waktu yang diperlukan untuk mencapai tempat tertinggi :

Pada saat benda mencapai tempat tertinggi, maka jarak mendatar yang ditempuh:

Tinggi maksimum yang dicapai :

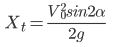
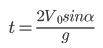
2. Kedudukan Benda di Tempat Terjauh
Pada saat benda di tempat terjauh (di titik B) maka Yt = 0

Waktu yang diperlukan oleh sebuah benda untuk mencapai tempat terjauh :
Nilai tersebut dua kali dari nilai waktu yang diperlukan benda untuk mencapai tempat tertinggi. Jarak mendatar yang ditempuh pada saat mencapai tempat terjauh :

Penerapan Gerak Parabola dalam Kehidupan
Sobat pintar, mengapa sih kok kita perlu mempelajari konsep gerak parabolah?
Ternyata, gerak parabola ini banyak sekali loh penerapan nya dalam kehidupan sehari-hari.
Gerak parabola atau dikenal dengan sebutan gerak peluru karena gerak ini mirip dengan peluru yang ditembakkan yang dipengaruhi oleh percepatan gravitasi yang menyebabkan gerak benda tersebut menjadi melengkung. Pada gerakan parabola ini gesekan antara benda dan udara di abaikan.
- Benda yang bergerak dengan sudut elevasi tertentu yang mencapai sumbu-y kemudian turun kembali
- Benda yang dijatuhkan dari ketinggian tertentu dengan keadaan benda tersebut ikut bergerak sebelum dijatuhkan sehingga benda memiliki kecepatan arah-x.


1.
Jawablah pertanyaan berikut!
Redy melempar bola basket dengan kecepatan 20 m/s dan sudut elevasi 30 o. Waktu yang dibutuhkan bola basket untuk sampai dititik tertinggi adalah… (g = 10 m/s2)
A. 1 sekon
B. 2 sekon
C. 3 sekon
D. 4 sekon
E. 5 sekon
JAWABAN BENAR
A.
1 sekon
PEMBAHASAN
Menghitung waktu untuk mencapai ketinggian maksimum:
t = vo sin / g = 20 m/s sin 30 o/ 10 m/s2
t = 20 m/s . (1/2) / (10 m/s2) = 1 sekon
2.
Kerjakan soal berikut ini dengan tepat!
Jika sebuah selang air menyemprotkan air ke atas dengan kecepatan 10 m/s pada sudut 37o berapakah jarak tempuh maksimum air tersebut?
A. 3,6 meter
B. 4,2 meter
C. 5,6 meter
D. 7,8 meter
E. 9,6 meter
JAWABAN BENAR
E.
9,6 meter
PEMBAHASAN
Dik : vo = 10 m/s;
= 37o.
xmax = (vo2 sin 2
)/g
xmax = (100 . 2 sin 37o cos 37o )/10
xmax = 20 (3/5) (4/5)
xmax = 9,6 m.
Jadi, air tersebut akan menyentuh tanah pada jarak 9,6 m dari selang.
Jawaban: E
3.
Kerjakan soal berikut ini dengan benar!
Bila sebuah bola dilempar dengan sudut elevasi 53 derajat dan kecepatan awalnya 5 m/s, berapa jarak maksimumnya?
A. 2,4 m
B. 3,2 m
C. 4,2 m
D. 5 m
E. 6,3 m
JAWABAN BENAR
A.
2,4 m
PEMBAHASAN
x.max = v02 sin 2 teta / g
x.max = 25 . 2 sin 65 derajat cos 53 derajat / 10
x.max = 5 (4/5) (3/5)
x.max = 2,4 meter
4.
Kerjakan soal berikut ini dengan benar!
Dedi melempar bola basket dengan kecepatan 20 m/s yang membentuk sudut elevasi 30o. Berapakah waktu yang dibutuhkan bola basket untuk sampai dititik tertinggi ? (g = 10 m/s).
A. 1 sekon
B. 2 sekon
C. 4 sekon
D. 8 sekon
E. 10 sekon
JAWABAN BENAR
A.
1 sekon
PEMBAHASAN

5.
Kerjakan soal berikut ini dengan benar!
Dimas menendang bola dengan kecepatan awal 5 m/s dan membentuk sudut 37o. Berapakah ketinggian maksimum dari tendangan bola dimas ?
A. 0,36
B. 0,45
C. 0,67
D. 0,23
E. 0,47
JAWABAN BENAR
B.
0,45
PEMBAHASAN

Oops!!!
Yah, jawaban kamu meleset nih. Ingin melihat pembahasan soal ini?
BENAR!!!
Selamat!
Jawaban kamu benar. Ingin lihat pembahasan soal ini?
footer_v3
Bersama Aku Pintar temukan jurusan kuliah yang tepat
sesuai minat dan bakatmu.
Aku Pintar memiliki visi membuat pendidikan merata, mudah dijangkau, dan terjangkau dengan Program Journey Pintar yang merupakan sebuah program persiapan lengkap bagi siswa SMA/SMK/sederajat yang ingin masuk ke perguruan tinggi impiannya.
Kontak Kami
Grand Slipi Tower Lt. 42
Jl. S. Parman Kav 22-24
Jakarta Barat
© 2024 Aku Pintar. All Rights Reserved