Belajar Pintar Materi SMP, SMA, SMK
BelajarPintarV3
Fisika
Momentum dan Impuls
MATERI
Tumbukan dan Hukum Kekekalan Momentum

Sobat Pintar, sekarang kuy kita lanjut ke materi berikutnya.
Pada sebuah tumbukan selalu melibatkan paling sedikit dua buah benda. Misal bola billiard 1 dan 2. Sesaat sebelum tumbukan bola 1, bergerak mendatar ke kanan dengan momentum m1v1 , dan bola 2 bergerak kekiri dengan momentum m2v2.

Sumber: https://www.ayo-sekolahfisika.com/
Momentum sebelum tumbukan adalah:

dan momentum sesudah tumbukan

Sesuai dengan hukum kekekalan energi maka pada momentum juga berlaku hukum kekekalan dimana momentum benda sebelum dan sesudah tumbukan sama.
Oleh karena itu dapat diambil kesimpulan bahwa pada peristiwa tumbukan, jumlah momentum benda-benda sebelum dan sesudah tumbukan tetap asalkan tidak ada gaya luar yang bekerja pada benda-benda tersebut.
Pernyataan ini yang dikenal sebagai Hukum Kekekalan Momentum Linier. Secara matematis untuk dua benda yang bertumbukan dapat dituliskan:

atau

Jika ada dua benda yang bertumbukan dan tidak ada gaya luar yang bekerja pada benda-benda, maka berlaku hukum kekekalan momentum. Akan tetapi energi kinetik totalnya biasanya berubah. Hal ini akibat adanya perubahan energi kinetik menjadi bentuk kalor dan atau bunyi pada saat tumbukan. Jenis tumbukan ini disebut tumbukan tidak lenting sebagian. Bila setelah tumbukan kedua benda bergabung, disebut tumbukan tidak lenting sempurna. Ada juga tumbukan dengan energi kinetik total tetap. Tumbukan jenis ini disebut tumbukan lenting (sempurna). Jadi secara garis besar jenis- jenis tumbukan dapat diklasifikasikan ke dalam:
- Tumbukan lenting (sempurna)
- Tumbukan tidak lenting sebagian
- Tumbukan tidak lenting sempurna
Penerapan Hukum Kekekalan Momentum

Sobat Pintar, apabila kalian meniup balon, kemudian balon dilepaskan, ketika kalian amati bahwa balon tersebut akan terdorong ke arah yang berlawanan dari arah udara yang keluar dari balon. Prinsip terdorongnya roket akibat pancaran bahan bakar yang terbakar keluar, mirip dengan terdorongnya balon tersebut.
Bahan bakar yang ada di roket terbakar dan keluar/menyembur, mengakibatkan roket terdorong ke atas. Gaya rata-rata yang dikerjakan gas pada roket disebut gaya dorong. Pada roket ini momentum sistem sebelum dan sesudah gas keluar tetap, dengan kata lain berlaku hukum kekekalan momentum

Sumber: https://pebypebriyanti.wordpress.com/
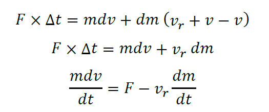
Agar supaya ketinggian yang dicapai roket makin besar, biasanya dipakai roket dengan beberapa tingkat. Perhatikan gambar (a),(b) dan (c).
- Pada gambar (a) : menunjukkan sebuah roket yang terbang vertikal keatas dengan kecepatan v, massa mula-mula m.
- Pada gambar (b) : setelah waktu t, bahan bakar keluar sebanyak dm, kecepatan gas relatif terhadap bumi v', dan relatif terhadap roket vr,
Pada momentum berlaku:

karena dmdv mendekati nol lihat gambar (c)
vr = v' – v
v' = vr + v
sehingga:

Secara matematis besarnya gaya dorong dapat ditulis sebagai:

Keterangan:
F = gaya dorong (newton)
vr = kecepatan semburan gas relatif terhadap roket (m/s)
dm/dt = laju massa gas buang (kg/s)
Jika massa roket mula-mula m0 dan kecepatan awal v0 = 0, setelah bahan bakar roket habis massa roket ma, serta kecepatan roket va, maka secara matematis hubungan besar-besaran tersebut adalah

Hubungan Momentum dengan Impuls

Sobat Pintar sekarang kita lanjut ke beberapa jenis tumbukan. Apa saja itu? Simak penjelasan berikut ini ya
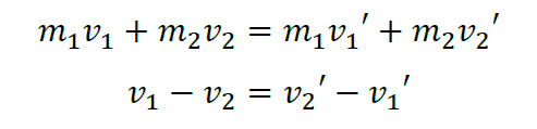
Tumbukan Lenting Sempurna
Tumbukan lenting sempurna merupakan tumbukan yang energi kinetiknya kekal. Dimana, pada tumbukan lenting sempurna ini, energi kinetik total antara dua benda sebelum dan setelah tumbukan adalah sama.
Dengan kata lain, pada tumbukan lenting sempurna akan berlaku hukum kekekalan momentum dan hukum kekekalan energi.
Rumus umum tumbukan lenting sempurna adalah:

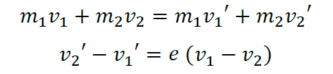
Tumbukan Lenting Sebagian
Tumbukan lenting sebagian adalah tumbukan antara dua benda yang jumlah energi kinetiknya sesudah terjadi tumbukan lebih kecil dibandingkan dengan jumlah energi kinetiknya sebelum terjadi tumbukan. Pada tumbukan ini, sebagian energi kinetik diubah menjadi bentuk energi lain, sehingga energi kinetik setelah tumbukan lebih kecil daripada setelah tumbukan.
Adapun contoh tumbukan lenting sebagian adalah pada benda yang jatuh bebas dan mengalami pemantulan.
Rumus umum tumbukan lenting sebagian adalah:

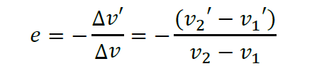
Sedangkan koefisien restitusi:

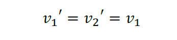
Tumbukan Tidak Lenting Sempurna
Pada tumbukan tidak lenting sempurna, terjadi jika dua benda yang bertumbukan menyatu dan bergerak secara bersamaan. Dimana, setelah terjadinya tumbukan maka kedua benda akan bergabung atau menjadi satu. Contoh dari tumbukan ini adalah peluru yang ditembakkan pada balok dan bersarang di dalamnya.
Rumus umum tumbukan tidak lenting sempurna adalah:

Sedangkan koefisien restitusi:

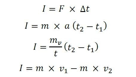
Sobat Pintar lalu apa sih hubungan momentum dengan impuls?
Salah satu hukum newton menyatakan bahwa gaya yang bekerja pada sebuah benda sama dengan perkalian massa dan percepatannya. Dengan adanya pernyataan tersebut maka akan diperoleh rumus seperti berikut.
F = m.a jika kita masukan kedalam rumus I = F. t maka akan muncul rumus baru seperti ini:

Dengan begitu dapat ditarik kesimpulan bahwa besarnya impuls yang dikerjakan atau bekerja pada sebuah benda akan sama besarnya dengan perubahan momentum pada benda tersebut. akan tetapi bila tidak ada gaya luar yang mempengaruhi benda, maka jumlah momentum akan tetap sama karena jumlah momentum awal dan jumlah momentum akhir akan sama.
1.
Kerjakan soal berikut ini dengan benar!
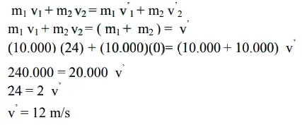
Terjadi kecelakaan kereta api dimana sebuah gerbong kereta dengan massa 10.000 kg bergerak dengan laju 24 m/s. gerbong tersebut menabrak gerbong lain yang serupa dan dalam keadaan diam. Akibat tabrakan tersebut, gerbong tersambung menjadi satu. Maka, berapakah kecepatan dari gerbong tersebut!
A. 10 m/s
B. 11 m/s
C. 12 m/s
D. 13 m/s
E. 14 m/s
JAWABAN BENAR
C.
12 m/s
PEMBAHASAN

2.
Kerjakan soal berikut ini dengan benar!
Sebuah benda menumbuk balok yang diam diatas lantai dengan kecepatan 20 m/s. Setelah tumbukan, balok terpental dengan kecepatan 15 m/ssearah dengan kecepatan benda semula. Berapakah kecepatan sebuah benda setelah mengalami suatu tumbukan, jika besar koefisien restitusi yang dimiliki e = 0,4?
A. 5 m/s
B. 6 m/s
C. 7 m/s
D. 8 m/s
E. 9 m/s
JAWABAN BENAR
C.
7 m/s
PEMBAHASAN
Va = 20 m/s
Vb = 0
V’b = 15 m/s
e = 0,4
e = – (V’a-V’b)/(Va-Vb)
0,4 = – (V’a-15)/(20-0)
8 = – V’a + 15
V’a = 7 m/s (searah kec semula)
3.
Kerjakan soal berikut ini dengan benar!
Dua bola masing-masing 2 kg. Bola pertama bergerak ke arah timur dengan kecepatan 4 m/s dan bola kedua bergerak ke utara dengan kecepatan 3 m/s. maka, hitung dan tentukanlah momentum total kedua bola tersebut!
A. 11 kg
B. 12 kg
C. 13 kg
D. 14 kg
E. 15 kg
JAWABAN BENAR
D.
14 kg
PEMBAHASAN

4.
Kerjakan soal berikut ini dengan benar!
Hitunglah besar gaya Ferdi yang di berikan pada sebuah bola kasti, apabila bola kasti tersebut bermassa 0,2 kg dalam keadaan diam kemudian dipukul hingga bergerak dengan kecepatan 14 m/s. Dengan gaya yang di berikan selama 0,01 sekon.
A. 250 N
B. 260 N
C. 270 N
D. 280 N
E. 290 N
JAWABAN BENAR
D.
280 N
PEMBAHASAN

5.
Kerjakan soal berikut ini dengan benar!
Bola kasti bermassa 100 gram dilempar mendatar oleh Rina dengan kelajuan 5 m/s. kemudian bola kasti tersebut dipukul searah dengan arah mula-mula. Bila lamanya bola kasti bersentuhan dengan 2 m/s dan kecepatan bola kasti setelah meninggalkan pemukul 10 m/s maka hitunglah berapa besar gaya yang diberikan oleh pemukul!
A. 250 N
B. 300 N
C. 350 N
D. 400 N
E. 450 N
JAWABAN BENAR
A.
250 N
PEMBAHASAN

Oops!!!
Yah, jawaban kamu meleset nih. Ingin melihat pembahasan soal ini?
BENAR!!!
Selamat!
Jawaban kamu benar. Ingin lihat pembahasan soal ini?
footer_v3
Bersama Aku Pintar temukan jurusan kuliah yang tepat
sesuai minat dan bakatmu.
Aku Pintar memiliki visi membuat pendidikan merata, mudah dijangkau, dan terjangkau dengan Program Journey Pintar yang merupakan sebuah program persiapan lengkap bagi siswa SMA/SMK/sederajat yang ingin masuk ke perguruan tinggi impiannya.
Kontak Kami
Grand Slipi Tower Lt. 42
Jl. S. Parman Kav 22-24
Jakarta Barat
© 2024 Aku Pintar. All Rights Reserved