Belajar Pintar Materi SMP, SMA, SMK
BelajarPintarV3
Fisika
Momentum dan Impuls
MATERI
Pengertian Impuls


Sumber: https://www.wuanjrotbray.xyz/
Sobat Pintar, apakah kamu suka bermain sepak bola? Nah ketika kamu bermain sepak bola itu juga menerapkan konsep impuls loh!
Berdasarkan gambar di atas, pada bola diberikan gaya sentuh (F) dengan selang waktu (t) yang sangat singkat , sehingga menghasilkan efek pada bola tersebut semakin besar.
Jika diberikan gaya (F) yang sama tetapi selang waktu sentuh (t) yang lebih lama maka akan menimbulkan efek pada bola tersebut kurang maksimal dibandingkan pada keadaan pertama. Efek dari pemberian gaya rata-rata F pada suatu benda dalam selang waktu (t) tertentu inilah yang disebut sebagai Impuls (I).
Jadi Impuls merupakan gaya kontak rata-rata F yang bekerja pada suatu benda yang terjadi dalam selang waktu yang sangat singkat
Impuls didefinisikan sebagai hasil kali antara gaya dan lamanya gaya tersebut bekerja. Secara matematis dapat ditulis:

Keterangan:
I = Impuls (N.s)
F = Gaya impulsif (N)
t = Waktu sentuhan antara gaya dan benda (s)
Besar gaya disini konstan. Bila besar gaya tidak konstan maka penulisannya akan berbeda (akan dipelajari nanti). Oleh karena itu dapat menggambarkan kurva yang menyatakan hubungan antara F dengan t. Bila pada benda bekerja gaya konstan F dari selang waktu t1 ke t2 maka kurva antara F dan t adalah

Sumber: http://egajuniawan1.blogspot.com/
Luasan yang diarsir sebesar Fx (t2 – t1) atau I, yang sama dengan Impuls gaya. Impuls gaya merupakan besaran vektor, oleh karena itu perhatikan arahnya
Impuls memiliki satuan:
Satuan Impuls I = satuan gaya x satuan waktu
Satuan I = newton x sekon = N . s = kg . m/s2 . s =kg . m/s
Impuls sama dengan Perubahan Momentum


Sumber: https://www.ayo-sekolahfisika.com/
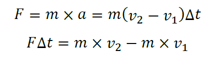
Suatu bola yang mula-mula bergerak dengan kecepatan v1 diberi gaya sebesar F. gaya tersebut bekerja pada bola sehingga mengakibatkan bola tersebut bergerak dipercepat dan kecepatannya berubah menjadi v2. Dalam kejadian ini bola akan bergerak dengan percepatan konstan (GLBB) dalam rentang waktu tertentu (t), sehingga berlaku hukum II Newton, dan dapat ditulis:

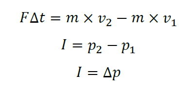
Ruas kiri merupakan impuls gaya dan ruas kanan menunjukkan perubahan momentum. Impuls gaya pada suatu benda sama dengan perubahan momentum benda tersebut. Secara matematis dituliskan sebagai:

1.
Jawablah pertanyaan berikut ini!
Bola bermassa 0,2 kg dengan kelajuan 20 m/s dilempar ke arah pemukul seperti diperlihatkan gambar di bawah!

Agar bola berbalik arah dengan kelajuan 30 m/s tentukan besar gaya pemukul jika waktu kontak antara pemukul dan bola 0,001 sekon!
A. 5.000 Newton
B. 8.000 Newton
C. 10.000 Newton
D. 15.000 Newton
E. 20.000 Newton
JAWABAN BENAR
C.
10.000 Newton
PEMBAHASAN

2.
Jawablah pertanyaan berikut ini!
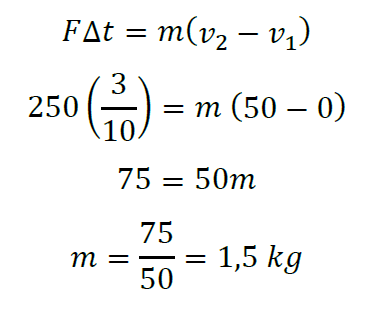
Dalam suatu permainan sepak bola, seorang pemain melakukan tendangan penalti. Tepat setelah ditendang bola melambung dengan kecepatan 50 m/s. Bila gaya tendangan 250 N sepatu pemain menyentuh bola selama 0,3 sekon maka massa bola adalah....
A. 0,5 kg
B. 1,0 kg
C. 1,5 kg
D. 2,0 kg
E. 2,5 kg
JAWABAN BENAR
C.
1,5 kg
PEMBAHASAN

3.
Jawablah pertanyaan berikut ini!
Seorang pemain sepakbola melakukan tendangan terhadap bola dengan gaya F sebesar 20 Newton. Apabila waktu sentuh antara kaki dan bola adalah 0,01 sekon, Tentukan besar impuls yang terjadi pada bola tersebut.
A. 0 N.s
B. 0,02 N.s
C. 0,2 N.s
D. 2 N.s
E. 20 N.s
JAWABAN BENAR
C.
0,2 N.s
PEMBAHASAN
F = 20 Newton
t = 0,01 sekon
I = F.t
I = 20 × 0,01
I = 0,2 N.s
Oops!!!
Yah, jawaban kamu meleset nih. Ingin melihat pembahasan soal ini?
BENAR!!!
Selamat!
Jawaban kamu benar. Ingin lihat pembahasan soal ini?
footer_v3
Bersama Aku Pintar temukan jurusan kuliah yang tepat
sesuai minat dan bakatmu.
Aku Pintar memiliki visi membuat pendidikan merata, mudah dijangkau, dan terjangkau dengan Program Journey Pintar yang merupakan sebuah program persiapan lengkap bagi siswa SMA/SMK/sederajat yang ingin masuk ke perguruan tinggi impiannya.
Kontak Kami
Grand Slipi Tower Lt. 42
Jl. S. Parman Kav 22-24
Jakarta Barat
© 2024 Aku Pintar. All Rights Reserved