Belajar Pintar Materi SMP, SMA, SMK
BelajarPintarV3
Fisika
Momentum dan Impuls
MATERI
Pengertian Momentum


Sumber: https://cirill.net/
Bila kamu berada di dalam sebuah bus yang sedang bergerak cepat, kemudian direm mendadak, kamu merasakan bahwa badan kamu terlempar ke depan. Hal ini akibat adanya sifat kelembaman, yaitu sifat untuk mempertahankan keadaan semula yaitu dalam keadaan bergerak. Hal yang sama juga dirasakan oleh si sopir yang berusaha mengerem bus tersebut. Apabila penumpang busanya lebih banyak, pada saat sopir bus memberhentikan/mengerem bus secara mendadak, harus memberikan gaya yang lebih besar. Dalam bab ini akan dibicarakan mengenai momentum, yang merupakan salah satu besaran yang dimiliki oleh setiap benda yang bergerak. Di dalam fisika, dikenal dua macam momentum, yaitu momentum linear (p) dan momentum angular (L). Pada materi ini hanya akan dibahas momentum linear. Selain momentum linear akan dibahas juga besaran Impuls gaya (I) dan hukum kekekalan momentum linear, serta tumbukan.
Istilah momentum yang akan dipelajari pada bab ini adalah momentum linear (p), yang didefinisikan sebagai berikut: Momentum suatu benda yang bergerak adalah hasil perkalian antara massa benda dan kecepatannya. Oleh karena itu, setiap benda yang bergerak memiliki momentum. Secara matematis, momentum linear ditulis sebagai berikut:

Keterangan:
p = momentum (besaran vektor),
m = massa (besaran skalar), dan
v = kecepatan (besaran vektor).
Bila dilihat persamaan, arah dari momentum selalu searah dengan arah kecepatannya.
Berdasarkan rumus diatas dapat kita tarik kesimpulan bahwa momentum benda akan semakin besar ketika massa benda dan kecepatan benda semakin besar. Hal ini juga akan berlaku sebaliknya semakin kecil massa atau kecepatan benda maka akan semakin kecil pula momentumnya. Dalam ilmu fisika ada yang namanya hukum kekekalan momentum yang berbunyi “momentum sebelum dan sesudah tumbukan akan selalu sama".
Misalkan ada dua benda yang memiliki kecepatan dan massa masing – masing mengalami tumbukan dan setelah tumbukan masing – masing benda akan memiliki kecepatan yang berbeda maka menurut ilmu fisika hukum kekekalan momentum. pada setiap jenis tumbukan yang terjadi antara kedua benda akan selalu berlaku hukum kekekalan momentum baik itu pada tumbukan lenting sebagian, tumbukan lenting sempurna atau bahkan pada tumbukan tidak lenting sama sekali. Secara sistematis hukum kekekalan momentum dapat ditulis seperti berikut:
![]()
Jadi Sobat Pintar, Setiap benda yang bergerak pasti memiliki momentum. Momentum bisa juga didefinisikan sebagai tingkat kesukaran untuk menghentikan gerak suatu benda.
Satuan Momentum

Menurut Sistem Internasional (SI) Satuan momentum p = satuan massa x satuan kecepatan = kg x m/s = kg . m/s. Jadi, satuan momentum dalam SI adalah : kg.m/s
Momentum adalah besaran vektor, oleh karena itu jika ada beberapa vektor momentum dijumlahkan, harus dijumlahkan secara vektor. Misalkan ada dua buah vektor momentum p1 dan p2 membentuk sudut, maka jumlah momentum kedua vektor harus dijumlahkan secara vektor, seperti yang terlihat dari gambar vektor gambar dibawah ini

Besar vektor p dirumuskan sebagai berikut:

Hubungan Momentum dengan Energi Kinetik

Energi kinetik suatu benda yang bermassa (m) dan bergerak dengan kecepatan (v) adalah:

Besarnya ini dapat dinyatakan dengan besarnya momentum linear p, dengan mengalikan persamaan energi kinetik dengan:

1.
Jawablah pertanyaan berikut ini!
Sebuah peluru karet berbentuk bola massanya 40 gram ditembakan horizontal menuju tembok seperti pada gambar. Jika bola dipantulkan dengan laju yang sama, maka besar perubahan momentum bola adalah…

A. 2 N.s
B. 3 N.s
C. 4 N.s
D. 5 N.s
E. 6 N.s
JAWABAN BENAR
C.
4 N.s
PEMBAHASAN
Rumus perubahan momentum:
p = m (vt – v0) = (0,04)(50 – (-50)) = (0,04)(50 + 50)
p = (0,04)(100) = 4 N.s
2.
Jawablah pertanyaan berikut ini!
Pada permainan bola kasti, bola bermassa 0,5 kg mula-mula bergerak dengan kecepatan 2 m/s. Kemudian bola tersebut dipukul dengan gaya F berlawanan dengan gerak bola, sehingga kecepatan bola berubah menjadi 6 m/s. Bila bola bersentuhan dengan pemukul selama 0,01 sekon, maka perubahan momentumnya adalah…
A. 8 kg m/s
B. 6 kg m/s
C. 5 kg m/s
D. 4 kg m/s
E. 2 kg m/s
JAWABAN BENAR
D.
4 kg m/s
PEMBAHASAN
Rumus perubahan momentum:
p = m . vt – m v0 = m (vt – v0)
p = (0,5 kg)(- 6 m/s – 2 m/s)
p = (0,5 kg)(-8)
p = 4 kg m/s
3.
Jawablah pertanyaan berikut ini!
Suatu benda bermassa 40 kg dan bergerak dengan kecepatan 5 m/s. Berapakah momentum yang dimiliki oleh benda tersebut?
A. 50 kg.m/s
B. 100 kg.m/s
C. 120 kg.m/s
D. 150 kg.m/s
E. 200 kg.m/s
JAWABAN BENAR
E.
200 kg.m/s
PEMBAHASAN
Benda yang bergerak pasti memiliki momentum, sehingga menggunakan rumus:
p = m.v
p = 40 x 5
p = 200 kg.m/s
4.
Jawablah pertanyaan berikut ini!
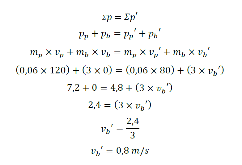
Terdapat sebuah balok kayu bermassa 3 kg yang diam di atas lantai ditembak sebutir peluru bermassa 60 gram dengan kecepatan 120 m/s. Jika peluru menembus balok dan kecepatannya berubah menjadi 80 m/s. Berapakah kecepatan balok tersebut setelah tembakan?

A. 0,8 m/s
B. 1,0 m/s
C. 1,2 m/s
D. 1,5 m/s
E. 1,8 m/s
JAWABAN BENAR
A.
0,8 m/s
PEMBAHASAN

5.
Jawablah pertanyaan berikut ini!
Terdapat bola tenis massanya 300 gram dijatuhkan ke lantai dari ketinggian 45 cm tanpa kecepatan awal. Setelah mengenai lantai bola memantul dengan kecepatan 3 ms-1 dan (g = 10 ms-2). Berapakah perubahan momentum yang dialami bola tersebut?
A. 0,8 Newton sekon
B. 1,2 Newton sekon
C. 1,8 Newton sekon
D. 2,4 Newton sekon
E. 2,5 Newton sekon
JAWABAN BENAR
B.
1,2 Newton sekon
PEMBAHASAN
Massa bola (m) = 300 gram = 0,3 kg
Ketinggian (h) = 45 cm = 0,45 meter
Percepatan gravitasi (g) = 10 m/s2
Kecepatan bola sesaat setelah menumbuk lantai (vt) = 2 m/s
Untuk mengetahui perubahan momentum yakni dengan menentukan kecepatan bola saat menumbuk lantai terlebih dahulu, dapat digunakan rumus
v2 = 2 g h
v2 = 2 (10)(0,45) = 9
v = 3 m/s
Diberi tanda negatif karena arah gerakan bola sebelum bertumbukan dengan lantai berlawanan dengan arah gerakan bola setelah bertumbukan dengan lantai.
Untuk menentukan perubahan momentum, dapat digunakan rumus:
p = m vt – m v0 = m (vt – v0)
p = (0,3)(1 – (-3)) = (0,3)(1 + 3) = (0,3)(4)
p = 1,2 Newton sekon
Oops!!!
Yah, jawaban kamu meleset nih. Ingin melihat pembahasan soal ini?
BENAR!!!
Selamat!
Jawaban kamu benar. Ingin lihat pembahasan soal ini?
footer_v3
Bersama Aku Pintar temukan jurusan kuliah yang tepat
sesuai minat dan bakatmu.
Aku Pintar memiliki visi membuat pendidikan merata, mudah dijangkau, dan terjangkau dengan Program Journey Pintar yang merupakan sebuah program persiapan lengkap bagi siswa SMA/SMK/sederajat yang ingin masuk ke perguruan tinggi impiannya.
Kontak Kami
Grand Slipi Tower Lt. 42
Jl. S. Parman Kav 22-24
Jakarta Barat
© 2024 Aku Pintar. All Rights Reserved