Belajar Pintar Materi SMP, SMA, SMK
BelajarPintarV3
Fisika
Suhu dan Kalor
Daftar Materi
-
Bab 1
- Pengertian Suhu
- Latihan 1
- Latihan 2
- Latihan 3
- Latihan 4
- Latihan 5
- Alat Pengukuran Suhu
- Latihan 1
- Latihan 2
- Latihan 3
- Latihan 4
- Latihan 5
- Macam-macam Termometer
- Latihan 1
- Latihan 2
- Latihan 3
- Latihan 4
- Latihan 5
- Cara Membaca Termometer
- Latihan 1
- Latihan 2
- Latihan 3
- Latihan 4
- Latihan 5
- Mengubah Skala Suhu
- Latihan 1
- Latihan 2
- Latihan 3
- Latihan 4
- Latihan 5
- Pemuaian
- Latihan 1
- Latihan 2
- Latihan 3
- Latihan 4
- Latihan 5
MATERI
Pengertian Suhu


Suhu adalah suatu besaran yang menyatakan ukuran derajat panas atau dinginnya suatu benda. Untuk mengetahui dengan pasti dingin atau panasnya suatu benda, kita memerlukan suatu besaran yang dapat diukur dengan alat ukur.
Sebagai contoh apa yang kamu rasakan ketika kita minum es, dingin bukan, ketika kita merebus air, lama kelamaan air yang kamu rebus akan menjadi panas bukan setelah itu bisakah kita mengukur suhu?
Bisakah tangan kita digunakan untuk mengukur panas atau dinginnya suatu benda dengan tepat?
Kita tentu memerlukan cara untuk membedakan derajat panas atau dingin benda tersebut untuk itu kita perlu mengetahui cara untuk mengukur suhu secara akurat.
1.
Jawablah pertanyaan berikut ini!
Apa itu suhu?
A. Ketua kelompok
B. Besaran ukuran derajat
C. Ketua terbesar
D. Besaran berat
E. Besaran massa
JAWABAN BENAR
B.
Besaran ukuran derajat
PEMBAHASAN
Suhu adalah suatu besaran yang menyatakan ukuran derajat panas atau dinginnya suatu benda. Untuk mengetahui dengan pasti dingin atau panasnya suatu benda, kita memerlukan suatu besaran yang dapat diukur dengan alat ukur.
2.
Jawablah pertanyaan berikut ini!
Bagaimana cara untuk membedakan derajat panas atau dingin benda tersebut!
A. Diukur dengan termometer
B. Diukur dengan timbangan
C. Diukur dengan transmitter
D. Diukur dengan Venturimeter
E. Diukur dengan resistor
JAWABAN BENAR
A.
Diukur dengan termometer
PEMBAHASAN
Cara membedakan antara suhu panas dan dingin yaitu Dengan alat ukur thermometer dll.
3.
Jawablah pertanyaan berikut ini!
Yang termasuk contoh dalam penerapan suhu adalah...
A. Anak kecil minum es
B. Anak kecil jalan-jalan
C. Anak kecil naik sepeda
D. Anak kecil makan
E. Anak kecil sekolah
JAWABAN BENAR
A.
Anak kecil minum es
PEMBAHASAN
Contohnya seperti apa yang kamu rasakan ketika kita minum es, dingin bukan, ketika kita merebus air, lama kelamaan air yang kamu rebus akan menjadi panas
4.
Jawablah pertanyaan berikut ini!
Termometer termasuk dalam kategori alat....
A. Alat ukur massa
B. Alat ukut berat
C. Alat ukur suhu
D. Alat ukur kecepatan
E. Alat ukur volume
JAWABAN BENAR
C.
Alat ukur suhu
PEMBAHASAN
Termometer adalah kategori alat yang berfungsi untuk mengukur suhu
5.
Jawablah pertanyaan berikut ini!
Besaran satuan yang menyatakan suhu adalah...
A. Massa
B. Kilogram
C. Volume
D. Derajat
E. Kecepatan
JAWABAN BENAR
D.
Derajat
PEMBAHASAN
Suhu dinyatakan dalam satuan besaran derajat
Alat Pengukuran Suhu

Sobat Pintar sekarang yuk kita lanjut ke topik berikutnya!
Alat untuk mengukur suhu disebut Termometer yang pertama kali dibuat oleh Galileo Galilei (1564-1642).
Termometer ini disebut termometer udara. Termometer udara terdiri dari sebuah bola kaca yang dilengkapi dengan sebatang pipa kaca yang panjang , pipa tersebut dicelupkan kedalam cairan berwarna.
Jika bola kaca dipanaskan, udara didalam pipa akan mengembang sehingga udara keluar dari pipa. Namun ketika bola didinginkan udara didalam pipa menyusut sehingga sebagian air naik ke dalam pipa. Termometer udara peka terhadap perubahan suhu sehingga udara saat itu segera dapat diketahui.
Termometer dibuat berdasarkan prinsip perubahan volume. Termometer yang tabungnya diisi dengan raksa kita sebut thermometer raksa. Termometer raksa dengan skala Celcius adalah termometer yang umum dijumpai dalam keseharian. Selain raksa terdapat pula termometer alkohol.
Adapun perbedaan atau kelemahan dan kelebihan dari masing-masing termometer yang dibuat dari Raksa atau alkohol adalah sebagai berikut:
1. Keuntungan dan kerugian menggunakan termometer raksa
-
Keuntungan:
-
Raksa mudah dilihat karena mengkilat.
-
Volume raksa berubah secara teratur ketika terjadi perubahan suhu.
-
Raksa tidak membasahi kaca ketika memuai atau menyusut.
-
Jangkauan suhu raksa cukup lebar dan sesuai untuk pekerjaan-pekerjaan laboratorium (-40°C sampai dengan 350°C)
-
Raksa dapat panas secara merata sehingga menunjukkan suhu dengan cepat dan tepat.
-
Kerugian
-
Raksa mahal.
-
Raksa tidak dapat digunakan untuk mengukur suhu yang sangat rendah ( seperti di kutub utara dan selatan)
-
Raksa termasuk zat berbahaya sehingga ketika pecah akan membahayakan kulit.
2. Keuntungan dan kerugian termometer alkohol
-
Keuntungan:
-
Alkohol lebih murah dibanding Raksa
-
Alkohol lebih teliti karena untuk kenaikan suhu yang kecil, alcohol mengalami perubahan volume yang lebih besar.
-
Alkohol dapat mengukur suhu yang sangat dingin (seperti di daerah kutub yaitu – 112°C)
-
Kerugian :
-
Alkohol memiliki didih rendah yaitu 78°C, sehingga pemakainya terbatas.
-
Alkohol tidak berwarna sehingga harus diberi warna terlebih dahulu agar terlihat.
-
Alkohol membasahi dinding kaca.
Mengapa kita menggunakan cairan yang jarang kita jumpai di kehidupan kita sehari-hari seperti raksa dan alkohol? Mengapa kita tidak menggunakan cairan yang sering kita jumpai seperti air?
Air tidak digunakan untuk mengisi pipa termometer karena 5 alasan berikut:
-
Air membasahi dinding kaca
-
Air tidak berwarna sehingga sulit dibaca batas ketinggiannya
-
Jangkauan suhu terbatas (0°C sampai 100°C)
-
Perubahan volume air sangat kecil ketika suhunya dinaikan.
-
Hasil bacaan yang didapat kurang teliti karena air termasuk penghantar panas yang sangat jelek.
6.
Jawablah pertanyaan berikut ini!
Siapakah yang membuat termometer?
A. Galileo Galilei
B. Issac Newton
C. Galilei Galileo
D. Pak guru
E. Akupintar
JAWABAN BENAR
A.
Galileo Galilei
PEMBAHASAN
Alat untuk mengukur suhu disebut Termometer, yang pertama kali dibuat oleh Galileo Galilei (1564-1642)
7.
Jawablah pertanyaan berikut ini!
Termometer yang pertama kali dibuat oleh Galileo Galilei adalah....
A. Termometer air
B. Termometer digital
C. Termometer udara
D. Termometer suhu
E. Termometer batu
JAWABAN BENAR
C.
Termometer udara
PEMBAHASAN
Termometer, yang pertama kali dibuat oleh Galileo Galilei (1564-1642). Termometer ini disebut termometer udara.
8.
Jawablah pertanyaan berikut ini!
Termometer dibuat berdasarkan prinsip apa?
A. Perubahan Wujud
B. Perubahan gas
C. Perubahan massa
D. Perubahan volume
E. Perubahan bentuk
JAWABAN BENAR
D.
Perubahan volume
PEMBAHASAN
Termometer dibuat berdasarkan prinsip perubahan volume.
9.
Jawablah pertanyaan berikut ini!
Cairan apa yang dapat digunakan untuk termometer?
A. Air
B. Gas
C. Es teh manis
D. Air panas
E. Alkohol
JAWABAN BENAR
E.
Alkohol
PEMBAHASAN
Cairan yang biasa digunakan untuk termometer adalah air raksa dan alkohol
10.
Jawablah pertanyaan berikut ini!
Apa keuntungan menggunakan termometer air raksa?
A. Raksa Mahal
B. Raksa tidak membasahi kaca ketika memuai atau menyusut.
C. Raksa berembun
D. Raksa zat berbahaya
E. Raksa tidak dapat digunakan untuk mengukur suhu yang sangat rendah.
JAWABAN BENAR
B.
Raksa tidak membasahi kaca ketika memuai atau menyusut.
PEMBAHASAN
Keuntungan menggunakan termometer air raksa:
1. Raksa mudah dilihat karena mengkilat.
2. Volume raksa berubah secara teratur ketika terjadi perubahan suhu.
3. Raksa tidak membasahi kaca ketika memuai atau menyusut.
4. Jangkauan suhu raksa cukup lebar dan sesuai untuk pekerjaan-pekerjaan laboratorium (-40°C sampai dengan 350°C)
5. Raksa dapat panas secara merata sehingga menunjukkan suhu dengan cepat dan tepat.
Macam-macam Termometer

Sobat Pintar, ada beberapa termometer yang kita kenal, yaitu termometer laboratorium, termometer ruang, termometer klinis, dan termometer Six-Bellani.

a. Termometer Laboratorium

Termometer laboratorium dapat dijumpai di laboratorium. Alat ini biasanya digunakan untuk mengukur suhu air dingin atau air yang sedang dipanaskan. Termometer laboratorium menggunakan raksa atau alkohol sebagai penunjuk suhu. Raksa dimasukkan kedalam pipa yang sangat kecil (pipa kapiler). Kemudian pipa dibungkus dengan kaca yang tipis. Tujuannya agar panas dapat diserap dengan cepat oleh thermometer.
Suhu pada termometer laboratorium biasanya 0oC sampai 100oC. suhu 0oC menyatakan suhu es yang sedang mencair, sedangkan suhu 100oC menyatakan suhu air sedang membeku.
b. Termometer Ruang

Termometer ruang dipasang pada tembok rumah atau kantor. Termometer ini mengukur suhu udara pada suatu saat. Skala termometer ruang adalah -50oC sampai 50oC. Mengapa menggunakan skala seperti itu? Karena suhu udara di beberapa tempat bisa dibawah 0oC misalnya di Eropa. Sementara pada sisi lain suhu udara tidak pernah melebihi 50oC.
c. Termometer Klinis

Termometer klinis disebut juga termometer demam. Termometer ini biasanya digunakan oleh dokter untuk mengukur suhu badan.
Pada keadaan sehat suhu tubuh kita sekitar 30oC namun pada keadaan demam suhu tubuh kita melebihi suhu tersebut. Suhu tubuh kita pada saat demam dapat melebihi 40oC. skala suhu pada termometer klinis hanya 35oC sampai 43oC. Hal ini sesuai dengan keadaan suhu tubuh kita. Suhu tubuh kita tidak mungkin di bawah 35oC dan melebihi 45oC.
Termometer klinis biasanya dijepit pada ketiak, tapi ada pula yang nempel di dahi, dan ditempel di mulut. Ketika termometer dijepit suhu tubuh kita membuat raksa naik di pipa kapiler. Raksa akan berhenti bila suhu raksa sudah sama dengan suhu tubuh kita dan kita tinggal membaca berapa suhu yang ditunjukkan oleh raksa.
d. Termometer Six-Bellani

Termometer Six-bellani disebut juga termometer maksimum minimum. Termometer ini dapat mencatat suhu tertinggi dan terendah pada jangka waktu tertentu.
11.
Jawablah pertanyaan berikut ini!
Yang termasuk dalam macam-macam termometer adalah....
A. Termometer laboratorium, termometer ruang, termometer klinis, dan termometer Six-Bellani.
B. Termometer kaca, termometer ruang, termometer klinis, dan termometer Six-Bellani.
C. Termometer garis, termometer ruang, termometer klinis, dan termometer Six-Bellani.
D. Termometer laboratorium, termometer ruang, termometer udara, dan termometer Six-Bellani.
E. Termometer laboratorium, termometer ruang, termometer gas, dan termometer Six-Bellani.
JAWABAN BENAR
A.
Termometer laboratorium, termometer ruang, termometer klinis, dan termometer Six-Bellani.
PEMBAHASAN
Ada beberapa termometer yang kita kenal, yaitu termometer Laboratorium, termometer ruang, termometer klinis, dan termometer Six-Bellani.
12.
Jawablah pertanyaan berikut ini!
Fungsi dari termometer laboratorium adalah....
A. Untuk mengukur suhu air dingin atau air yang sedang dipanaskan
B. Untuk mengukur suhu air dingin atau air yang sedang didiamkaUntuk mengukur suhu air dingin atau air yang sedang didiamkan
C. Untuk mengukur suhu air dingin atau air yang sedang diajak main
D. Untuk mengukur suhu air dingin atau air yang sedang di aduk
E. Untuk mengukur suhu air dingin atau air yang sedang diminum
JAWABAN BENAR
A.
Untuk mengukur suhu air dingin atau air yang sedang dipanaskan
PEMBAHASAN
Termometer laboratorium berfungsi biasanya digunakan untuk mengukur suhu air dingin atau air yang sedang dipanaskan.
13.
Jawablah pertanyaan berikut ini!
Dimana letak termometer ruangan dipasang?
A. Di sepeda
B. Dibotol minum
C. Di tembok
D. Di kulkas
E. Di hati
JAWABAN BENAR
C.
Di tembok
PEMBAHASAN
Termometer ruang dipasang pada tembok rumah atau kantor.
14.
Jawablah pertanyaan berikut ini!
Mengapa termometer ruang menggunakan skala -50°C sampai 50°C?
A. Karena suhu udara di beberapa tempat bisa dibawah 0°C misalnya di Eropa.
B. Karena suhu udara di beberapa tempat bisa dibawah 10°C
C. Karena suhu udara di beberapa tempat bisa diatas 0°C
D. Karena suhu di beberapa tempat bisa diantara 10°C
E. Karena suhu dibeberapa tempat bisa di antara 0°C
JAWABAN BENAR
A.
Karena suhu udara di beberapa tempat bisa dibawah 0°C misalnya di Eropa.
PEMBAHASAN
Termometer ini mengukur suhu udara pada suatu saat. Skala termometer ruang adalah -50°C sampai 50°C. Karena suhu udara di beberapa tempat bisa dibawah 0oC misalnya di Eropa
15.
Jawablah pertanyaan berikut ini!
Sebutan lain untuk termometer klinis adalah....
A. Termometer klinik
B. Termometer suhu
C. Termometer ruangan
D. Termometer udara
E. Termometer demam
JAWABAN BENAR
E.
Termometer demam
PEMBAHASAN
Termometer klinis disebut juga dengan termometer demam
Cara Membaca Termometer

Yuk kita bahas materi berikut ini Sobat!

Dalam pembuatan termometer, mula-mula ditetapkan dua patokan suhu yang selanjutnya disebut titik tetap. Titik tetap merupakan suhu ketika benda mengalami perubahan wujud, misalnya saat benda mencair dan mendidih. Suhu ketika benda mencair menyatakan titik tetap bawah, sedangkan suhu ketika kita mendidih menyatakan titik tetap atas kemudian diantara titik tetap tersebut dibuat skala-skala.
Bilangan yang menyatakan titik tetap berbeda antara satu ilmuan dengan ilmuwan lainnya :
a. Celsius (1701-1744) membuat titik tetap bawah ketika es mencair dan titik tetap atas ketika air mendidih. Titik tetap bawah (suhu es mencair) ditetapkan sebagai suhu 0°. Sementara titik tetap atas (suhu air mendidih) ditetapkan sebagai suhu 100°. Kemudian jarak antara titik tetap atas dan titik tetap bawah dibagi menjadi 100° yang sama panjang. Dengan demikian skala Celcius memiliki rentang suhu antara 0°C sampai 100°C. Skala suhu seperti ini digunakan di banyak Negara termasuk di Indonesia.
b. Fahrenheit (1686-1736) memilih suhu campuran es dan garam ketika membeku sebagai titik tetap bawah. Titik tetap bawah ini menyatakan suhu 0°. Sementara titik tetap atas dipasang bilangan 212°F, yaitu titik didih campuran tersebut. Berarti skala Fahrenheit memiliki rentang suhu antara 0°F sampai 212°F. kemudian jarak antara titik tetap atas dan titik tetap bawah dibagi menjadi 180° yang sama panjang. Skala yang dibuat oleh Fahrenheit digunakan di beberapa Negara termasuk Inggris dan Amerika Serikat.
c. Reamur memilih titik 0 untuk es yang mencair pada 80° untuk air mendidih. Berarti skala reamur memiliki rentang suhu antara 0°R sampai 80°R. kemudian jarak antara dua titik tetap tersebut menjadi 80° yang sama.
d. Lord Kelvin (1824-1907) menyusun skala suhu dengan menggunakan ukuran derajat yang sama besar dengan derajat Celcius. Namun Kelvin menyatakan bahwa titik beku es adalah -273°K sedangkan titik didih air adalah -373°K. dengan demikian 0°C sama dengan suhu -273°K sedangkan suhu 100°C sama dengan suhu 373°K. Suhu -273°K disebut titik nol mutlak.
16.
Jawablah pertanyaan berikut ini!
Apa yang dimaksud dengan titik tetap suhu pada termometer?
A. Suhu tetap
B. Suhu benda
C. Suhu benda pada saat perubahan wujud
D. Perubahan wujud benda
E. Suhu benda saat diam
JAWABAN BENAR
C.
Suhu benda pada saat perubahan wujud
PEMBAHASAN
Titik tetap merupakan suhu ketika benda mengalami perubahan wujud, misalnya saat benda mencair dan mendidih.
17.
Jawablah pertanyaan berikut ini!
Jenis titik tetap dibagi menjadi 2 yaitu?
A. Titik tetap samping dan depan
B. Titik tetap atas dan samping
C. Titik tetap bawah dan depan
D. Titik tetap atas dan bawah
E. Titik tetap kanan dan kiri
JAWABAN BENAR
D.
Titik tetap atas dan bawah
PEMBAHASAN
Suhu ketika benda mencair menyatakan titik tetap bawah, sedangkan suhu ketika kita mendidih menyatakan titik tetap atas kemudian diantara titik tetap tersebut dibuat skala-skala.
18.
Jawablah pertanyaan berikut ini!
Suhu es yang sedang melebur dan suhu air mendidih apabila diukur dengan termometer A masing-masing besarnya 10°A dan 130°A. Suhu suatu benda diukur dengan termometer skala Fahrenheit sebesar 62°F. Berapa suhu benda tersebut jika diukur dengan termometer A? …
A. 10°A
B. 20°A
C. 30°A
D. 40°A
E. 50°A
JAWABAN BENAR
C.
30°A
PEMBAHASAN

19.
Jawablah pertanyaan berikut ini!
Pada termometer celcius, titik didih air adalah 100 °C. Pada termometer fahrenheit nilai ini sama dengan …
A. 211°F
B. 212°F
C. 213°F
D. 214°F
E. 215°F
JAWABAN BENAR
B.
212°F
PEMBAHASAN

20.
Jawablah pertanyaan berikut ini!
Suhu udara di ruangan 95°F. Nyatakan suhu tersebut ke dalam skala Kelvin!
A. 300 K
B. 302 K
C. 304 K
D. 306 K
E. 308 K
JAWABAN BENAR
E.
308 K
PEMBAHASAN
Diketahui: Suhu Fahrenheit = 95°F
Suhu Fahrenheit diubah ke Celcius= 95°F = 5/9 (95 – 32) = 35°C
35°K = (35 + 273) K = 308 K
Mengubah Skala Suhu

Yuk kita lanjut ke topik selanjut nya yaa Sobat Pintar!
Pada skala Celcius terdapat 100 skala, pada skala Farenheit terdapat 180 skala, dan pada skala Reamur terdapat 80 skala. Perbandingan skala tersebut adalah :
°C: °F : °R = 5 : 9 : 4
Untuk mengubah derajat satu skala menjadi derajat skala yang lain digunakan rumus :

21.
Jawablah pertanyaan berikut ini!
Termometer X yang telah ditera menunjukkan angka -30o pada titik beku air dan 90o pada titik didih air. Suhu 60oX sama dengan …
A. 20oC
B. 45oC
C. 50oC
D. 75oC
E. 80oC
JAWABAN BENAR
D.
75oC
PEMBAHASAN
Pada skala Fahrenheit, titik beku air adalah 32oF dan titik didih air adalah 212oF. Antara titik beku dan titik didih air terdapat selisih 212o – 32o = 180o.
Pada skala Celcius titik beku air adalah 0oC dan titik didih air adalah 100oC. Antara titik beku dan titik didih air terdapat selisih 100o – 0o= 100o.
Pada skala X, titik beku air adalah -30oX dan titik didih air adalah 90oX. Antara titik beku dan titik didih air terdapat selisih 90o – (-30o) = 90o + 30o = 120o. Ubah skala X ke skala Celcius

22.
Jawablah pertanyaan berikut ini!
Suhu suatu zat bila diukur dengan termometer Fahrenheit menunjukkan angka 62oF. Berapakah suhu suatu zat tersebut jika diukur dengan termometer Celcius ?
A. 16,7 °C
B. 20,4 °C
C. 35,6 °C
D. 48,7 °C
E. 50,2 °C
JAWABAN BENAR
A.
16,7 °C
PEMBAHASAN
C = 5/9 (F-32)
C = 5/9 (62-32)
C = 5/9 (30)
C = 16,7o C
23.
Jawablah pertanyaan berikut ini!
Termometer X yang telah ditera menunjukkan angka -30° pada titik beku air dan 90°pada titik didih air. Suhu 60°X sama dengan …
A. 45 °C
B. 55 °C
C. 65 °C
D. 75 °C
E. 85 °C
JAWABAN BENAR
D.
75 °C
PEMBAHASAN
Pada skala Fahrenheit, titik beku air adalah 32°F dan titik didih air adalah 212 °F. Antara titik beku dan titik didih air terdapat selisih 212 ° – 32 ° = 180°.

24.
Jawablah pertanyaan berikut ini!
Anis membuat sebuah termometer yang disebut dengan termometer X. Pada termometer ini air membeku pada 0°X dan air mendidih pada150°X. Bagaimanakah hubungan termometer ini dengan termometer dalam skala Celsius?
A. 1/3 t°X
B. 2/3 t°X
C. 1 t°X
D. 4/3 t°X
E. 5/3 t°X
JAWABAN BENAR
B.
2/3 t°X
PEMBAHASAN
Pada termometer X, rentang temperatur yang dimilikinya, yakni dari 0°X – 150°X sehingga skala pada termometer ini dibagi dalam 150skala. Perbandingan antara termometer X dan termometer Celsius, yakni:

25.
Jawablah pertanyaan berikut ini!
Suhu es yang sedang melebur dan suhu air mendidih apabila diukur dengan termometer A masing-masing besarnya 10°A dan 130°A.Suhu suatu benda diukur dengan termometer skala Fahrenheit sebesar 62°F. Berapa suhu benda tersebut jika diukur dengan termometer A?
A. 10°A
B. 20°A
C. 30°A
D. 40°A
E. 50°A
JAWABAN BENAR
C.
30°A
PEMBAHASAN

Pemuaian

Sobat Pintar sekarang kita belajar yuk terkait pemuaian!
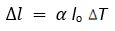
a. Pemuaian panjang
Jika suatu benda dipanaskan, benda tersebut akan memuai ke segala arah. Dengan kata lain panjang, luas dan volume benda bertambah. Untuk benda padat yang panjang tetapi luas penampangnya kecil, misalnya jarum atau kawat, maka pemuaian zat padat terjadi ke arah memanjangnya.
Alat Muschenbroeck digunakan untuk membandingkan muai panjang dari berbagai logam yang berbeda jenis ketika dipanaskan.
Koefisien muai panjang suatu bahan adalah perbandingan antara pertambahan panjang terhadap panjang awal benda persatuan kenaikan suhu :


Berikut koefisien muai panjang berbagai zat pada suhu kamar :

b. Pemuaian luas
Bila benda padat berbentuk persegi panjang dipanaskan, terjadi pemuaian dalam arah memanjang dan arah melebar atau mengalami pemuaian luas.
Koefisien muai luas suatu zat adalah perbandingan antara pertambahan luas benda terhadap luas awal benda per satu kenaikan suhu :
Pemuaian luas

Hubungan koefisien muai luas dengan koefisien muai panjang :

c. Pemuaian volume
Jika benda padat berbentuk balok dipanaskan akan terjadi pemuaian dalam arah memanjang, melebar dan meninggi atau dikatakan mengalami pemuaian volume. Pemuaian volume berbagai zat tergantung pada koefisien muai volume.
Zat cair hanya mempunyai muai volume (tidak memiliki muai panjang dan muai luas). Pemuaian volme zat cair lebih besar daripada pemuaian volume zat padat untuk kenaikan suhu yang sama. Karena itu bila suatu wadah berisi zat cair hampir penuh dipanaskan , maka pada suhu tertentu zat cair dalam wadah akan meleputumpah.
Koefisien muai volume suatu bahan adalah perbandingan pertambahan volume awal benda persatuan kenaikan suhu:
Pemuaian volume

Hubungan koefisien muai volume dengan koefisien muai panjang

Berikut koefisien muai volume berbagai zat pada suhu kamar :

d. Anomali air
Anomali air adalah keanehan atau penyimpangan yang terjadi pada air, yaitu air akan memuai saat didinginkan dari suhu 4 oC sampai 0 oC. Anomali air sangat penting dalam mempertahankan kehidupan dalam air selama musim dingin. Danau atau laut hanya membeku di permukaannya saja, di bagian bawahnya tetap berupa air dengan suhu 0 oC tepat dibawah lapisan esnya dan semakin kebawah semakin meningkat sampai suhu yang paling tinggi sebesar 4 oC dialami air dibagian dasar
26.
Jawablah pertanyaan berikut ini!
Sebatang logam dipanaskan sehingga suhunya 80oC panjangnya menjadi 115 cm. Jika koefisien muai panjang logam 3.10-3 oC-1 dan suhu mula-mula logam 30oC, maka panjang mula-mula logam adalah….
A. 100 cm
B. 101,5 cm
C. 102 cm
D. 102,5 cm
E. 103 cm
JAWABAN BENAR
A.
100 cm
PEMBAHASAN

27.
Jawablah pertanyaan berikut ini!
Jika sepotong logam suhu 30oC dipanaskan hingga suhunya mencapai 90oC dan panjang nya menjadi 180cm maka berapakah panjang logam mula-mula ? (koefisien muai panjang logam 3.10-3/oC)
A. 123,2 cm
B. 132,2 cm
C. 142,3 cm
D. 167,8 cm
E. 178,8 cm
JAWABAN BENAR
E.
178,8 cm
PEMBAHASAN

28.
Jawablah pertanyaan berikut ini!
Terdapat sebuah baja yang memiliki panjang 1 m, kemudian baja bertambah panjang 1 mm. Saat suhunya dinaikkan sebesar 100o C, berapakah pertambahan panjang batang baja lain yang memiliki panjang 60 cm jika suhunya bertambah 20oC ?
A. 0,12 mm
B. 0,24 mm
C. 0,48 mm
D. 0,60 mm
E. 0,62 mm
JAWABAN BENAR
A.
0,12 mm
PEMBAHASAN

29.
Jawablah pertanyaan berikut ini!
Sebuah benda yang terbuat dari baja memiliki panjang 1000 cm. Berapakah pertambahan panjang baja itu, jika terjadi perubahan suhu sebesar 50°C?
A. 0,2 cm
B. 0,4 cm
C. 0,6 cm
D. 0,8 cm
E. 0,10 cm
JAWABAN BENAR
C.
0,6 cm
PEMBAHASAN

30.
Jawablah pertanyaan berikut ini!
Sekeping aluminium dengan panjang 40 cm dan lebar 30 cm dipanaskan dari 40°C sampai 140°C. Jika koefisien muai panjang aluminium tersebut (alfa) adalah 2,5x105 °C, tentuan luas keping aluminium setelah dipanaskan.!
A. 1206 cm2
B. 1208 cm2
C. 1210 cm2
D. 1212 cm2
E. 1214 cm2
JAWABAN BENAR
A.
1206 cm2
PEMBAHASAN

Oops!!!
Yah, jawaban kamu meleset nih. Ingin melihat pembahasan soal ini?
BENAR!!!
Selamat!
Jawaban kamu benar. Ingin lihat pembahasan soal ini?
footer_v3
Bersama Aku Pintar temukan jurusan kuliah yang tepat
sesuai minat dan bakatmu.
Aku Pintar memiliki visi membuat pendidikan merata, mudah dijangkau, dan terjangkau dengan Program Journey Pintar yang merupakan sebuah program persiapan lengkap bagi siswa SMA/SMK/sederajat yang ingin masuk ke perguruan tinggi impiannya.
Kontak Kami
Grand Slipi Tower Lt. 42
Jl. S. Parman Kav 22-24
Jakarta Barat
© 2024 Aku Pintar. All Rights Reserved