Belajar Pintar Materi SMP, SMA, SMK
BelajarPintarV3
Fisika
Vektor
MATERI
Resultan Dua Vektor Sejajar

Tahukah Sobat Pintar cara menentukan vektor resultan?
Misalnya, kalian bepergian mengelilingi kota Palu dengan mengendarai sepeda motor. Dua jam pertama, kalian bergerak lurus ke timur dan menempuh jarak sejauh 50 km. Setelah istirahat secukupnya, kalian kembali melanjutkan perjalanan lurus ke timur sejauh 30 km lagi.
Dilihat dari posisi asal, kalian telah berpindah sejauh sejauh 50 km + 30 km = 80 km ke timur. Dikatakan, resultan perpindahan kalian adalah 80 km ke timur. Secara grafis, perpindahan seperti diperlihatkan pada gambar berikut.

Sedikit berbeda dengan kasus tersebut, misalnya setelah menempuh jarak lurus 50 km ke timur, kalian kembali lagi ke barat sejauh 30 km. Relatif terhadap titik asal, perpindahan kalianmenjadi 50 km – 30 km = 20 km ke timur. Secara grafis, perpindahan diperlihatkan pada gambar berikut.

Dari kedua contoh, seperti yang diperlihatkan pada kedua gambar berikut, menjumlahkan dua buah vektor sejajar mirip dengan menjumlahkan aljabar biasa. Secara matematis, resultan dua buah vektor sejajar, yakni, sebagai berikut. Jika vektor A dan B searah, besar vektor resultan R, adalah
R = |A+B|
Dengan arah vektor R sama dengan arah vektor A dan B. Sebaliknya, jika kedua vektor tersebut berlawanan, besar resultannya adalah
R = |A-B|
Dengan arah vektor R sama dengan arah vektor yang terbesar.
Resultan Dua Vektor yang Saling Tegak Lurus

Sobat Pintar kuy kita lanjut ke materi berikutnya !
Untuk menentukan resultan dua vektor yang saling tegak lurus contohnya, kalian memacu kendaraan lurus ke timur sejauh 40 km dan kemudian berbelok tegak lurus menuju utara sejauh 30 km. Secara grafis, perpindahan seperti diperlihatkan pada gambar berikut.

Besar resultan perpindahannya, r, diperoleh menggunakan Dalil Pythagoras, yakni sebagai berikut :
![]()
terhadap sumbu-x positif (atau 37° dari arah timur).
Dari contoh kasus tersebut, jika dua buah vektor, A dan B, yang saling tegak lurus akan menghasilkan vektor resultan, R, yang besarnya :

dengan arah

terhadap arah vektor A dengan catatan vektor B searah sumbu-y dan vektor A searah sumbu-x.
Resultan Dua Vektor yang Mengapit Sudut

Sekarang tinjau dua buah vektor, A dan B, yang satu sama lain mengapit sudut seperti yang diperlihatkan pada gambar (a). Gambar vektor resultannya dapat diperoleh dengan cara menempatkan pangkal vektor B di ujung vektor A. Selanjutnya, tarik garis dari titik pangkal vektor A ke titik ujung vektor B dan buatkan panah tepat di ujung yang berimpit dengan ujung vektor B. Vektor inilah, R, resultan dari vektor A dan B. Hasilnya seperti diperlihatkan pada gambar (b).

Besar vektor resultan, R, dapat ditentukan secara analitis sebagai berikut.
Perhatikan gambar berikut. Vektor C dan D diberikan sebagai alat bantu sehingga vektor A + C tegak lurus vektor D dan ketiganya membentuk resultan yang sama dengan resultan dari vektor A dan B, yakni R.

Dengan menggunakan Dalil Pythagoras, besarnya vektor resultan R adalah :
![]()
Selanjutnya, juga dengan menggunakan Dalil Pythagoras, dari gambar diperoleh :
C2 + D2 = B2
dan dari trigonometri,

Dengan memasukkan dua persamaan terakhir ke persamaan pertama, diperoleh besarnya vektor resultan R.

Melukis Resultan Beberapa Vektor dengan Metode Poligon

Jika terdapat tiga buah vektor, A, B, dan C, yang besar dan arahnya berbeda seperti diperlihatkan pada Gambar (a), resultannya dapat diperoleh dengan cara menggunakan metode poligon, yakni sebagai berikut.
- Hubungkan titik tangkap vektor B pada ujung vektor A dan titik pangkal vektor C pada ujung vektor B.
- Buat vektor resultan R, dengan titik tangkap sama dengan titik pangkal vektor A dan ujung panahnya tepat di titik ujung vektor C.
Maka hasilnya seperti diperlihatkan pada Gambar (b).

Secara matematis, vektor resultan pada gambar tersebut ditulis sebagai berikut.
R = A + B + C
Selisih Dua Vektor yang Mengapit Sudut

Vektor A dan vektor -A, memiliki besar yang sama, yakni |A| = |–A| = A, tetapi arahnya berlawanan seperti diperlihatkan pada gambar berikut.

Selisih dari dua buah vektor, misalnya vektor A – B, secara grafis sama dengan jumlah antara vektor A dan vektor –B, seperti diperlihatkan pada gambar berikut.
Secara matematis, vektor selisihnya ditulis R = A – B.
Secara analitis, besar vektor selisihnya ditentukan dari Persamaan (1–5) dengan mengganti sudut dengan
Oleh karena,

sehingga diperoleh :

1.
Jawablah pertanyaan berikut!
Damar menarik sebuah balok dengan beberapa gaya berikut. Apabila gaya tersebut diuraikan akan seperti pada gambar berikut. Jika satu petak mewakili 0,5 newton. Berapakah resultan kedua vektor?

A. 5 Newton
B. 8 Newton
C. 10 Newton
D. 20 Newton
E. 300 Newton
JAWABAN BENAR
A.
5 Newton
PEMBAHASAN
F1x = 3 x 0,5 = 1,5 N
F1y =4 x 0,5 = 2,0 N
F2x = 5 x 0,5 = 2,5 N
F2y = 2 x 0,5 = 1,0 N
Fx = F1x + F2x = 1,5 + 2,5 = 4 N
Fy = F1y + F2y = 2,0 + 1,0 = 3 N
R2 = Fx2 + Fy2 = 5 N
2.
Sobat Pintar, yuk kerjakan soal di bawah ini dengan benar!
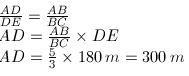
Adit menyebrang sungai menggunakan perahu dengan kecepatan 5 m/s. Sungai tersebut memiliki lebar 180 m sedangkan kecepatan arus sungai sebesar 4 m/s. Lintasan perahu Adit seperti pada gambar berikut. Berapakah panjang lintasan yang ditempuh Adit hingga ke seberang sungai?

A. 300 m
B. 400 m
C. 500 m
D. 550 m
E. 600 m
JAWABAN BENAR
A.
300 m
PEMBAHASAN
Perahu bergerak lurus beraturan menempuh lintasan AD sehingga resultan kecepatan perahu dan air adalah 5 m/s

Dengan memnggunakan perbandingan sisi-sisi segitiga ABC dan ADE :

3.
Sobat Pintar, yuk kerjakan soal di bawah ini dengan benar!
Dua buah vektor memiliki besar yang sama, yaitu F. Bila besar kedua vektor itu sama dengan F, berapakah sudutnya?
A. 30o
B. 45o
C. 60o
D. 90o
E. 120o
JAWABAN BENAR
E.
120o
PEMBAHASAN

4.
Jawablah pertanyaan berikut!
Sebuah perahu yang menyeberangi sebuah sungai Bengawan Solo yang memiliki lebar nya 120 m dan kecepatan air nya 3 m/s. Bila perahu diarahkan menyilang tegak lurus dengan kecepatan 4 m/s. Berapakah panjang lintasan yang dapat ditempuh perahu tersebut agar sampai ke seberang sungai ?
A. 150 m
B. 200 m
C. 350 m
D. 400 m
E. 450 m
JAWABAN BENAR
A.
150 m
PEMBAHASAN



5.
Kerjakan soal berikut ini dengan tepat!

A.

B.

C.

D.

E.

JAWABAN BENAR
B.
PEMBAHASAN

Oops!!!
Yah, jawaban kamu meleset nih. Ingin melihat pembahasan soal ini?
BENAR!!!
Selamat!
Jawaban kamu benar. Ingin lihat pembahasan soal ini?
footer_v3
Bersama Aku Pintar temukan jurusan kuliah yang tepat
sesuai minat dan bakatmu.
Aku Pintar memiliki visi membuat pendidikan merata, mudah dijangkau, dan terjangkau dengan Program Journey Pintar yang merupakan sebuah program persiapan lengkap bagi siswa SMA/SMK/sederajat yang ingin masuk ke perguruan tinggi impiannya.
Kontak Kami
Grand Slipi Tower Lt. 42
Jl. S. Parman Kav 22-24
Jakarta Barat
© 2024 Aku Pintar. All Rights Reserved