Belajar Pintar Materi SMP, SMA, SMK
BelajarPintarV3
Kimia
Kelarutan dan Hasil Kali Kelarutan
MATERI
Kelarutan dan Hasil Kali Kelarutan

Kelarutan (s)
Adalah jumlah maksimum zat yang dapat larut dalam sejumlah pelarut tertentu.
Kelarutan dapat dihitung:

Konstanta hasil kali kelarutan (Ksp)
Adalah tetapan kesetimbangan yang terdapat pada basa dan garam yang sukar larut. Pelarutan zat tergolong reaksi kesetimbangan yang terjadi antara zat padat dengan ionnya.
Bentuk umum konstanta hasil kali kelarutan:
Ksp = [Kation+]x[Anion–]y
Dengan x dan y adalah konstanta suatu senyawa
Contoh:
Konstanta hasil kali kelarutan CaCO3 adalah:
CaCO3(aq) <==> Ca2+(aq) + CO32-(aq)
Ksp CaCO3 = [Ca2+][CO32-]
Konstanta hasil kali kelarutan akan berubah bila suhu diubah, dan tetap bila suhu tidak berubah.
Hubungan s dengan Ksp

Nilai konstanta hasil kali kelarutan dipengaruhi oleh nilai kelarutan zat.
Hubungan kelarutan dengan Ksp dalam berbagai jenis basa dan garam sukar larut:

Secara umum, hubungan antara kelarutan (s) dengan tetapan hasil kali kelarutan (Ksp) dapat dinyatakan sebagai berikut:
Ksp AxBy = [Ay+]x[Bx-]y
Ksp AxBy = (xs)x x (ys)y
Ksp AxBy = xxyys(x+y)
Contoh:
Tentukan kelarutan AgCl jika diketahui Ksp AgCl adalah 1 x 10-10!
Jawab:
Ksp AgCl = 10-10 = s2
s AgCl = 10-5 M
1.
Kerjakan soal berikut dengan benar!
Kelarutan (khususnya untuk zat yang sukar larut) dinyatakan dalam satuan...
A. s
B. Ksp
C. mol.L–1
D. J
E. N
JAWABAN BENAR
C.
mol.L–1
PEMBAHASAN
Kelarutan (khususnya untuk zat yang sukar larut) dinyatakan dalam satuan mol.L–1
2.
Perhatikan soal berikut!
Pada suhu tertentu, kelarutan AgIO3 adalah 2 x 10-6 mol/L, tentukan harga tetapan hasil kali kelarutannya!
A. 4 x 10-12
B. 6 x 10-12
C. 8 x 10-12
D. 4 x 10-13
E. 6 x 10-13
JAWABAN BENAR
A.
4 x 10-12
PEMBAHASAN
3.
Perhatikan soal berikut!
Jika kelarutan Ag2CrO4 dalam air adalah s mol/L, hasil kali kelarutan Ag2CrO4 tersebut adalah.....
A. s2
B. s3
C. 2s3
D. 4s3
E. 16s4
JAWABAN BENAR
D.
4s3
PEMBAHASAN

4.
Kerjakan soal berikut!
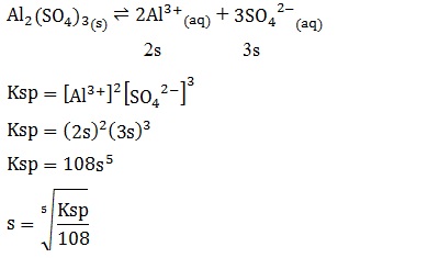
Jika hasil kali kelarutan Al2(SO4)3 dalam air adalah Ksp, maka kelarutan Al2(SO4)3 adalah.....
A.

B.

C.

D.

E.

JAWABAN BENAR
E.
PEMBAHASAN

5.
Kerjakan soal berikut!
Diketahui Ksp Fe(OH)2 adalah 1,08 x 10-13, maka nilai kelarutan Fe(OH)2 adalah....
A. 1 x 10-3 M
B. 3 x 10-3 M
C. 3 x 10-5 M
D. 5 x 10-3 M
E. 5 x 10-5 M
JAWABAN BENAR
C.
3 x 10-5 M
PEMBAHASAN

6.
Kerjakan dengan cermat!
Jika Ksp perak klorida (AgCl) sebesar 1,78 x 10-10. Maka kelarutan senyawa tersebut dalam larutan natrium klorida (NaCl) 0,0001 M sebanyak….
A. 1,78 x 10-5
B. 1,78 x 10-7
C. 1,78 x 10-8
D. 1,78 x 10-10
E. 1,78 x 10-13
JAWABAN BENAR
B.
1,78 x 10-7
PEMBAHASAN
diketahui reaksi :

7.
Cermati soal berikut!
Larutan tepat jenuh B(OH)3 mempunyai pH 9. Ksp senyawa itu adalah…
A. 3,3 x 1037
B. 3,0 x 10-36
C. 3,3 x 10-21
D. 3,0 x 10-20
E. 2,7 x 10-19
JAWABAN BENAR
E.
2,7 x 10-19
PEMBAHASAN
diketahui reaksi :

Oops!!!
Yah, jawaban kamu meleset nih. Ingin melihat pembahasan soal ini?
BENAR!!!
Selamat!
Jawaban kamu benar. Ingin lihat pembahasan soal ini?
footer_v3
Bersama Aku Pintar temukan jurusan kuliah yang tepat
sesuai minat dan bakatmu.
Aku Pintar memiliki visi membuat pendidikan merata, mudah dijangkau, dan terjangkau dengan Program Journey Pintar yang merupakan sebuah program persiapan lengkap bagi siswa SMA/SMK/sederajat yang ingin masuk ke perguruan tinggi impiannya.
Kontak Kami
Grand Slipi Tower Lt. 42
Jl. S. Parman Kav 22-24
Jakarta Barat
© 2024 Aku Pintar. All Rights Reserved