Belajar Pintar Materi SMP, SMA, SMK
BelajarPintarV3
Matematika Wajib
Integral
MATERI
Konsep Integral Tak Tentu


Sumber : situsekonomi.com
Sobat Pintar pasti sudah mengetahui luas dari lingkaran, bukan?
Perlu sobat pintar ketahui, bahwa untuk mencari rumus luas lingkaran, kita bisa menggunakan integral lho!
Sebelumnya, apa Sobat Pintar tahu mengenai Integral?
Integral merupakan kebalikan dari turunan fungsi lho, Sobat!
Integral dapat disebut juga dengan antiturunan. Kenapa bisa begitu ya, Sobat?
Karena memang proses menemukan integral suatu fungsi merupakan kebalikan dari proses turunan.

Notasi Integral

Secara matematis, notasi integral dapat dinyatakan sebagai berikut:

Rumus Dasar Integral Tak Tentu

Untuk menemukan antiturunan dari suatu fungsi, kita dapat menggunakan rumus dasar berikut:

Sifat-Sifat Integral Tak Tentu

Selain rumus dasar untuk menentukan integral suatu fungsi, kita dapat juga menggunakan sifat-sifat integral berikut:

Teknik Pengintegralan

Dalam mencari suatu nilai integral terdapat beberapa cara untuk menyelesaikannya, diantaranya :
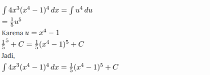
1. Subtitusi
Beberapa kasus diselesaikan dengan teknik ini apabila terdapat perkalian fungsi dengan salah satu fungsi merupakan turunan fungsi yang lain.
Contoh soal :

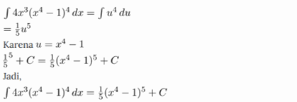
2. Parsial
Integral parsial digunakan untuk menyelesaikan soal perkalian antar integral.
Rumus Umum :

Contoh soal :

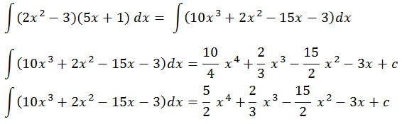
1.
Jawablah soal berikut!

A. 24x4 - 18x3 - 2x2 + 5x + C
B. 8x4 - 9x3 - 2x2 + 5x + C
C. 4x4 - 3x3 - x2 + 5x + C
D. 2x4 + 3x3 + x2 + 5x + C
E. 2x4 - 3x3 - x2 + 5x + C
JAWABAN BENAR
E.
2x4 - 3x3 - x2 + 5x + C
PEMBAHASAN

2.
Jawablah soal berikut!

A.

B.

C.

D.

E.

JAWABAN BENAR
B.
PEMBAHASAN

3.
Jawablah soal berikut!

A.

B.

C.

D.

E.

JAWABAN BENAR
C.
PEMBAHASAN

4.
Jawablah soal berikut!
Jika f'(x)=(6x+3)2 dan f(2)=153, maka f(x) adalah ....
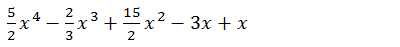
A. f(x)= 4x3 + 3x2 + 3x + 11
B. f(x)= 4x3 - 3x2 + 3x + 1
C. f(x)= 4x3 + 3x2 - 3x + 1
D. f(x)= 4x3 - 3x2 - 3x + 11
E. f(x)= 3x3 + 4x2 + 3x + 11
JAWABAN BENAR
A.
f(x)= 4x3 + 3x2 + 3x + 11
PEMBAHASAN

5.
Jawablah soal berikut!
![]()
A.
![]()
B.
![]()
C.
![]()
D.
![]()
E.
![]()
JAWABAN BENAR
E.
![]()
PEMBAHASAN

6.
Jawablah soal berikut!
![]()
A.
B.
C.
D.
E.
JAWABAN BENAR
A.
PEMBAHASAN

Oops!!!
Yah, jawaban kamu meleset nih. Ingin melihat pembahasan soal ini?
BENAR!!!
Selamat!
Jawaban kamu benar. Ingin lihat pembahasan soal ini?
footer_v3
Bersama Aku Pintar temukan jurusan kuliah yang tepat
sesuai minat dan bakatmu.
Aku Pintar memiliki visi membuat pendidikan merata, mudah dijangkau, dan terjangkau dengan Program Journey Pintar yang merupakan sebuah program persiapan lengkap bagi siswa SMA/SMK/sederajat yang ingin masuk ke perguruan tinggi impiannya.
Kontak Kami
Grand Slipi Tower Lt. 42
Jl. S. Parman Kav 22-24
Jakarta Barat
© 2024 Aku Pintar. All Rights Reserved