Belajar Pintar Materi SMP, SMA, SMK
BelajarPintarV3
Matematika Wajib
Matriks
Daftar Materi
MATERI
Determinan Matriks

Apakah Sobat Pintar pernah mendengar istilah determinan dan invers sebelumnya? Kalau belum, berarti inilah saat yang tepat untuk mengetahui apa itu determinan dan invers matriks.
Determinan suatu matriks didefinisikan sebagai selisih antara perkalian elemen-elemen pada diagonal utama dengan perkalian elemen-elemen pada diagonal sekunder. Determinan matriks hanya dapat ditentukan pada matriks persegi. Determinan dari matriks A dapat dituliskan det(A) atau |A|.
Berikut ini sifat-sifat dari determinan matriks:
- Nilai determinan matriks tidak berubah apabila baris dan kolomnya saling ditukar.
- Jika semua elemen pada salah satu baris atau kolom sebuah matriks adalah nol, maka determinannya sama dengan nol.
- Jika dua baris atau dua kolom dari sebuah matriks ditukar, maka tanda determinannya akan berubah.
- Jika dua baris atau dua kolom dari sebuah matriks elemennya sama atau merupakan kelipatannya, maka determinannya sama dengan nol.
- Jika setiap elemen pada baris atau kolom dikali oleh bilangan real k, maka determinannya bernilai k kali determinan matriks awal.
- Jika masing-masing elemen pada baris atau kolom dinyatakan sebagai jumlah dua suku, maka determinan matriks tersebut merupakan jumlah kedua determinan.
- Nilai sebuah determinan tidak berubah apabila masing-masing elemen pada baris atau kolom dikali dengan bilangan real k dan ditambahkan pada sebarang baris atau kolom.
Determinan Matriks Ordo 2x2
Determinan matriks persegi dengan ordo 2x2 dapat dihitung dengan cara berikut:

Determinan Matriks Ordo 3x3
Diketahui matriks A dengan ordo 3x3 sebagai berikut:

Determinan matriks persegi dengan ordo 3x3 dapat dicari dengan menggunakan 2 cara, yaitu:
Kaidah Sarrus
Langkah-langkah mencari determinan matriks ordo 3x3 dengan kaidah Sarrus:
- Meletakkan kolom pertama dan kolom kedua di sebelah kanan garis vertikal determinan
- Jumlahkan hasil kali elemen-elemen yang terletak pada diagonal utama dengan hasil kali elemen-elemen yang sejajar diagonal utama pada arah kanan kemudian kurangi dengan jumlah hasil kali elemen-elemen yang terletak pada diagonal samping dengan elemen-elemen yang sejajar dengan diagonal samping

|A| = (a.e.i) + (b.f.g) +( c.d.h) – (c.e.g) – (a.f.h) – (b.d.i)
|A| = (a.e.i + b.f.g + c.d.h) – (c.e.g + a.f.h + b.d.i)
Ekspansi Kofaktor dan Minor
Apabila diketahui sebuah matriks persegi A maka minor elemen aij dinyatakan oleh Mij dan didefinisikan sebagai determinan submatriks yang tinggal setelah baris ke-i dan kolom ke-j dihilangkan dari matriks A

dapat dicari dengan menghilangkan baris kedua dan kolom ketiga sehingga diperoleh:

dan nilai determinannya adalah

Sedangkan kofaktor dari sebuah elemen adalah nilai minor beserta tandanya. Tanda dari determinan ditentukan dengan memberikan tanda positif (+) pada elemen baris pertama kolom pertama diikuti perubahan tanda ke bawah (vertikal) dan ke kanan (horizontal).

Contoh :

Menggunakan ekspansi kofaktor pada kolom ke 2 diperoleh:

Invers Matriks

Sobat pintar pasti pernah tahu tentang invers suatu fungsi, bukan?
Invers matriks ini sedikit berbeda dengan invers fungsi.
Yuk simak penjelasannya berikut!
Invers matriks dilambangkan dengan A-1. Suatu matriks dikatakan memiliki invers jika determinan dari matriks tersebut tidak sama dengan nol.
Invers Matriks Ordo 2x2
Invers matriks persegi dengan ordo 2x2 dapat dicari dengan cara sebagai berikut:

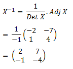
Invers Matriks Ordo 3x3
Untuk mencari invers matriks pada ordo 3x3 menggunakan metode eliminasi Gauss Jordan.
Secara sistematis, eliminasi Gauss Jordan dapat dinyatakan sebagai berikut:

Jadi matriks persegi A dieliminasi menggunakan operasi aljabar sampai membentuk matriks identitas. Operasi yang dilakukan pada matriks A juga dilakukan pada matriks identitas sehingga jika matriks A sudah menjadi matriks identitas, matriks identitas akan berubah menjadi invers dari matriks A.
1.
Jawablah soal berikut ini!
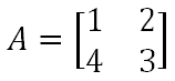
Diketahui dua buah matriks:

Jika AX = B, tentukan matriks X!
A.

B.

C.

D.

E.

JAWABAN BENAR
A.
PEMBAHASAN
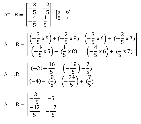
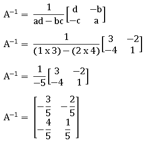
Terlebih dahulu tentukan invers matrik A:
Menentukan matriks X
X = A-1 . B

2.
Jawablah soal berikut ini!
Diketahui sebuah matriks

Invers dari matriks diatas adalah ....
A.

B.

C.

D.

E.

JAWABAN BENAR
A.
PEMBAHASAN

3.
Jawablah soal berikut ini!

A.

B.

C.

D.

E.

JAWABAN BENAR
D.
PEMBAHASAN

4.
Jawablah soal berikut ini!

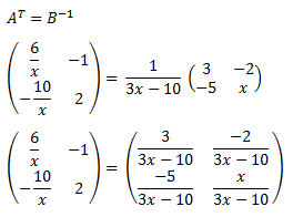
Jika AT=B-1, maka nilai 2x adalah ….
A. -8
B. -4
C. 0
D. 4
E. 8
JAWABAN BENAR
E.
8
PEMBAHASAN

Berdasarkan matriks di atas

18x-60=3x
15x=60
x=4
Dengan demikian, 2x=2(4)=8
5.
Jawablah soal berikut ini!
Jika determinan dari B-1=4, maka determinan B adalah….
A. -4
B. -2
C. 1/4
D. 1/2
E. 2
JAWABAN BENAR
C.
1/4
PEMBAHASAN

Oops!!!
Yah, jawaban kamu meleset nih. Ingin melihat pembahasan soal ini?
BENAR!!!
Selamat!
Jawaban kamu benar. Ingin lihat pembahasan soal ini?
footer_v3
Bersama Aku Pintar temukan jurusan kuliah yang tepat
sesuai minat dan bakatmu.
Aku Pintar memiliki visi membuat pendidikan merata, mudah dijangkau, dan terjangkau dengan Program Journey Pintar yang merupakan sebuah program persiapan lengkap bagi siswa SMA/SMK/sederajat yang ingin masuk ke perguruan tinggi impiannya.
Kontak Kami
Grand Slipi Tower Lt. 42
Jl. S. Parman Kav 22-24
Jakarta Barat
© 2024 Aku Pintar. All Rights Reserved