Belajar Pintar Materi SMP, SMA, SMK
BelajarPintarV3
Matematika Wajib
Matriks
MATERI
Menyelesaikan Sistem Persamaan Linear dengan Determinan

Menyelesaikan SPLDV dengan Determinan
Loh, kita kan sedang belajar matriks. Kok ada Sistem Persamaan Linear ya?
Eitss.. Kalian belum tahu kalau Sistem Persamaan Linear baik dua variabel ataupun tiga variabel dapat kita selesaikan dengan matriks lho!
Permasalahan SPLDV dapat diselesaikan dengan metode Cramer yaitu menggunakan determinan.

maka dapat diubah menjadi:


Menyelesaikan SPLTV dengan Determinan

Menyelesaikan Sistem Persamaan Linear dengan Invers

Dengan prinsip perkalian dua matriks,

Untuk menentukan x dan y menggunakan invers matriks dapat dicari dengan rumus:

1.
Jawablah soal berikut ini!

Jika AX=A-1 maka X adalah ....
A.

B.

C.

D.

E.

JAWABAN BENAR
E.
PEMBAHASAN

2.
Jawablah soal berikut ini!

Nilai dari x+y adalah ....
A. 1
B. 2
C. 3
D. 4
E. 5
JAWABAN BENAR
C.
3
PEMBAHASAN

3.
Jawablah soal berikut ini!

nilai dari x+y+z adalah ....
A. -30
B. 30
C. -35
D. -40
E. 40
JAWABAN BENAR
A.
-30
PEMBAHASAN

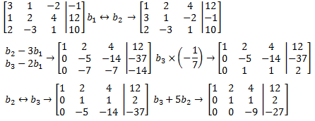
Untuk menentukan nilai x,y,z dapat menggunakan determinan

Untuk mencari nilai x

Untuk mencari nilai y

Untuk mencari nilai z

x=5,y=-20,z=-15
Jadi x+y+z=5-20-15= -30
4.
Jawablah soal berikut ini!

nilai dari x+y-z adalah ....
A. 8
B. 6
C. 4
D. 0
E. -8
JAWABAN BENAR
C.
4
PEMBAHASAN

Untuk menentukan nilai x,y,z dapat menggunakan determinan

Untuk mencari nilai x

Untuk mencari nilai y

Untuk mencari nilai z

x=-2,y=4,z=-2
Jadi x+y+z=-2+4-(-2)= 4
5.
Jawablah soal berikut ini !

nilai dari x-y-z adalah ....
A. -2
B. 0
C. 1
D. 4
E. 6
JAWABAN BENAR
B.
0
PEMBAHASAN



Jadi nilai dari x-y-z=2-(-1)-3=2+1-3=3-3=0
Oops!!!
Yah, jawaban kamu meleset nih. Ingin melihat pembahasan soal ini?
BENAR!!!
Selamat!
Jawaban kamu benar. Ingin lihat pembahasan soal ini?
footer_v3
Bersama Aku Pintar temukan jurusan kuliah yang tepat
sesuai minat dan bakatmu.
Aku Pintar memiliki visi membuat pendidikan merata, mudah dijangkau, dan terjangkau dengan Program Journey Pintar yang merupakan sebuah program persiapan lengkap bagi siswa SMA/SMK/sederajat yang ingin masuk ke perguruan tinggi impiannya.
Kontak Kami
Grand Slipi Tower Lt. 42
Jl. S. Parman Kav 22-24
Jakarta Barat
© 2024 Aku Pintar. All Rights Reserved