Belajar Pintar Materi SMP, SMA, SMK
BelajarPintarV3
Matematika Wajib
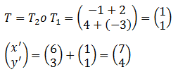
Transformasi Fungsi
MATERI
Komposisi Translasi

Berbeda dengan materi sebelumnya yang hanya melewati satu kali transformasi, pada materi kali ini kita akan belajar tentang komposisi transformasi, yaitu hasil dari perubahan letak atau ukuran yang diubah kembali letak atau ukurannya. Komposisi transformasi dilambangkan dengan simbol “o” yang terletak diantara dua transformasi.
Materi komposisi pertama yang akan kita bahas adalah komposisi translasi.

Komposisi dari dua translasi dapat diwakili oleh translasi tunggal

dengan sifat-sifat sebagai berikut:

Mudah bukan? Kita lanjut ke komposisi berikutnya, yuk!
Komposisi Refleksi

Komposisi Dua Refleksi pada Sumbu-Sumbu Sejajar
- Sejajar terhadap sumbu x
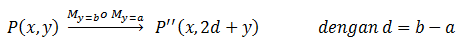
Jika diketahui titik P(x,y) dicerminkan terhadap garis y = a dengan hasil P’(x’,y’), kemudian dicerminkan lagi terhadap garis y = b dengan hasil P’’(x’’,y’’) maka komposisi nya dapat dinyatakan:

- Sejajar terhadap sumbu y
Jika diketahui titik P(x,y) dicerminkan terhadap garis x = a dengan hasil P’(x’,y’), kemudian dicerminkan lagi terhadap garis x = b dengan hasil P’’(x’’,y’’) maka komposisi nya dapat dinyatakan:

Komposisi Dua Refleksi pada Sumbu-Sumbu saling Tegak Lurus
Pencerminan terhadap dua sumbu yang saling tegak lurus sama dengan rotasi sejauh 180o dengan pusat perpotongan dua sumbu, sehingga dapat dinyatakan:

Komposisi Dua Refleksi pada Sumbu-Sumbu saling Berpotongan
Pencerminan terhadap dua sumbu yang saling berpotongan akan menghasilkan rotasi dengan sifat:
- Titik potong kedua sumbu sebagai titik pusat putaran
- Besar sudut pusat = dua kali sudut antara kedua sumbu pencerminan
- Arah perputaran = arah dari sumbu pertama ke sumbu kedua
Sehingga dapat dinyatakan:

Komposisi Rotasi

Dua rotasi berurutan yang sepusat sama dengan rotasi sejauh jumlah kedua sudut rotasinya terhadap pusat yang sama.


Komposisi Dilatasi

Misalkan suatu benda atau bangun dilakukan komposisi transformasi dilatasi. Pertama didilatasi T1, yang bersesuaian dengan matriks M1, dilanjutkan lagi dengan dilatasi T2 yang bersesuaian dengan matriks M2, dan dilanjutkan lagi dengan dilatasi T3 yang bersesuaian dengan matriks M3. Penulisan komposisinya yaitu:
T3 o T2 o T1 = M3 o M2 o M1.
Catatan: penulisannya dibalik sesuai urutan pengerjaannya.
Materi tentang komposisi transformasi sudah selesai, Sobat Pintar!
Sekarang mari kita lanjutkan ke latihan soal ..
1.
Jawablah soal di bawah ini!


Bayangan titik A adalah….
A. A'(9,-4)
B. A'(7,4)
C. A'(3,10)
D. A'(9,10)
E. A'(3,4)
JAWABAN BENAR
B.
A'(7,4)
PEMBAHASAN

Jadi, bayangannya adalah A’ (7,4)
2.
Jawablah pertanyaan berikut ini!

dilanjutkan rotasi R (O,-90o) adalah….
A. (6,-8)
B. (-6,-8)
C. (-8,-6)
D. (-8,6)
E. (8,6)
JAWABAN BENAR
C.
(-8,-6)
PEMBAHASAN

3.
Jawablah pertanyaan di bawah ini!

dilanjutkan oleh pencerminan terhadap titik (0,2) adalah….
A. (4,1)
B. (4,7)
C. (4,11)
D. (-4,-1)
E. (6,-1)
JAWABAN BENAR
B.
(4,7)
PEMBAHASAN

Transformasi 2 : pencerminan terhadap titik (0,2)

4.
Jawablah pertanyaan ini!
Persamaan bayangan kurva y=x2-x+3 oleh pencerminan terhadap garis y=2 dilanjutkan rotasi R (O,180o) adalah….
A. y = x2-x+1
B. y = x2+x-1
C. y = x2+x-3
D. y = x2-x+7
E. y = x2+x+7
JAWABAN BENAR
B.
y = x2+x-1
PEMBAHASAN
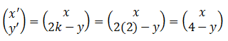
Transformasi 1 : pencerminan terhadap garis y2

Transformasi 2 : Rotasi R (O,180o)

Substitusikan x dan y pada persamaan kurva
y=x2-x+3
(y''+4)=(-x'' )2-(-x)+3
y=x2+x-1
5.
Jawablah pertanyaan di bawah ini!
Bayangan titik A jika ditranslasikan oleh T(3,-1) dan dilanjutkan pencerminan terhadap sumbu x adalah (5,-2). Koordinat titik A adalah….
A. (3,-2)
B. (-3,-2)
C. (2,-3)
D. (-2,-3)
E. (2,3)
JAWABAN BENAR
E.
(2,3)
PEMBAHASAN
Misalkan titik A (x , y)

6.
Jawablah pertanyaan di bawah ini!
![]()
A. 1 dan 3
B. 1 dan 4
C. 1 dan 5
D. 1 dan 6
E. 1 dan 7
JAWABAN BENAR
D.
1 dan 6
PEMBAHASAN

7.
Jawablah pertanyaan di bawah ini!
Bayangan titik A jika ditranslasikan oleh T(2, 1) dan dilanjutkan pencerminan terhadap sumbu x adalah (5,-2). Koordinat titik A adalah ....
A. (3, 1)
B. (3, 2)
C. (3, 3)
D. (3, 4)
E. (3, 5)
JAWABAN BENAR
A.
(3, 1)
PEMBAHASAN

8.
Jawablah pertanyaan di bawah ini!
![]()
A. (12, 11)
B. (12, -11)
C. (-12, 11)
D. (-12, -11)
E. (-11, -11)
JAWABAN BENAR
A.
(12, 11)
PEMBAHASAN
Oops!!!
Yah, jawaban kamu meleset nih. Ingin melihat pembahasan soal ini?
BENAR!!!
Selamat!
Jawaban kamu benar. Ingin lihat pembahasan soal ini?
footer_v3
Bersama Aku Pintar temukan jurusan kuliah yang tepat
sesuai minat dan bakatmu.
Aku Pintar memiliki visi membuat pendidikan merata, mudah dijangkau, dan terjangkau dengan Program Journey Pintar yang merupakan sebuah program persiapan lengkap bagi siswa SMA/SMK/sederajat yang ingin masuk ke perguruan tinggi impiannya.
Kontak Kami
Grand Slipi Tower Lt. 42
Jl. S. Parman Kav 22-24
Jakarta Barat
© 2024 Aku Pintar. All Rights Reserved