Belajar Pintar Materi SMP, SMA, SMK
BelajarPintarV3
Matematika Wajib
Transformasi Fungsi
MATERI
Konsep Transformasi


Sumber : Semarangpos.com
Halo Sobat Pintar! Kalian pasti tahu batik, bukan? Apakah kalian pernah mengamati pola pada kain batik yang kalian punya
Apakah kalian menyadari bahwa pola kain batik sebenarnya hanya ada 1 bentuk utama yang kemudian bentuk tersebut digeser atau diperbesar/diperkecil sehingga menghasilkan sebuah pola yang indah. Pembuatan pola batik berhubungan erat dengan transformasi lho!
Yuk, kita belajar bersama mengenai Transformasi!
Transformasi lho yaa.. bukan robot mobil yang suka perang itu, hehe..
Apa itu transformasi?
Transformasi geometri adalah bagian dari geometri yang membahas mengenai perubahan letak maupun bentuk penyajian dari sebuah titik, garis, ataupun bidang. Perlu sobat pintar ketahui, bahwa dalam transformasi terdiri atas:
• Translasi
• Refleksi
• Rotasi
• Dilatasi.
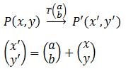
Translasi (Pergeseran)

Translasi adalah transformasi yang memindahkan setiap titik pada bidang menurut jarak dan arah tertentu. Sebuah titik P(x,y) jika ditranslasikan oleh
:



CATATAN : Titik, garis, ataupun bidang yang ditranslasikan (geser) tidak akan merubah bentuk dan ukuran.
Refleksi (Pencerminan)

Selanjutnya, kita akan belajar tentang pencerminan. Sobat pintar pasti tahu mengenai pencerminan, bukan? Tapi apakah pencerminan yang kalian ketahui sama dengan refleksi? Simak penjelasannya sebagai berikut.
Refleksi adalah suatu transformasi yang memindahkan titik pada bidang dengan menggunakan sifat bayangan cermin dari titik-titik yang akan dipindahkan. Pada transformasi refleksi, jarak titik pada bangun bayangan ke sumbu cermin sama dengan jarak titik pada bangun asli ke sumbu cermin.
Beberapa persamaan pencerminan dilihat dari perbedaan sumbu cermin, yaitu:
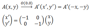
Pencerminan terhadap titik O (0,0)
Titik A(x,y) dicerminkan terhadap titik O(0,0) akan menghasilkan bayangan A’(x’,y’), dapat dituliskan:

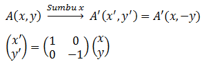
Pencerminan terhadap sumbu x
Titik A(x,y) dicerminkan terhadap sumbu x akan menghasilkan bayangan A’(x’,y’), dapat dituliskan:

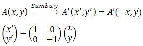
Percerminan terhadap sumbu y
Titik A(x,y) dicerminkan terhadap sumbu y akan menghasilkan bayangan A’(x’,y’), dapat dituliskan:

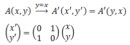
Pencerminan terhadap garis y = x
Titik A(x,y) dicerminkan terhadap garis y=x akan menghasilkan bayangan A’(x’,y’), dapat dituliskan:

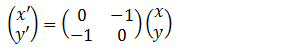
Pencerminan terhadap garis y = -x
Titik A(x,y) dicerminkan terhadap garis y= – x akan menghasilkan bayangan A’(x’,y’), dapat dituliskan:


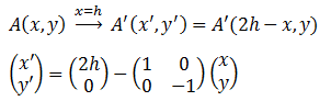
Pencerminan terhadap garis x = h
Titik A(x,y) dicerminkan terhadap garis x = h akan menghasilkan bayangan A’(x’,y’), dapat dituliskan:

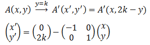
Pencerminan terhadap garis y = k
Titik A(x,y) dicerminkan terhadap garis y = k akan menghasilkan bayangan A’(x’,y’), dapat dituliskan:

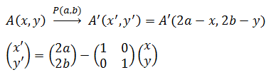
Pencerminan terhadap titik (a,b)
Titik A(x,y) dicerminkan terhadap titik (a,b) akan menghasilkan bayangan A’(x’,y’), dapat dituliskan:

CATATAN : Titik, garis, ataupun bidang yang direfleksikan (cerminkan) tidak akan merubah bentuk dan ukuran.
Rotasi (Perputaran)

Sobat Pintar pasti tidak asing lagi dengan istilah rotasi, bukan? Ya! Seperti rotasi bumi ketika mengelilingi matahari, rotasi disini juga berarti perputaran.
Rotasi adalah transformasi yang memetakan setiap titik pada bidang ke titik lainnya dengan cara memutar pada pusat titik tertentu. Jika perputaran berlawanan arah jarum jam maka rotasi bernilai positif, sedangkan jika perputaran searah jarum jam maka rotasi bernilai negatif.
Rotasi dengan Pusat O(0,0)
Titik A(x,y) dirotasikan terhadap pusat O(0,0) sebesar a akan menghasilkan bayangan A’(x’,y’), dapat dituliskan:

Matriks yang bersesuaian untuk rotasi dengan pusat O(0,0) sebagai berikut:

Rotasi dengan Pusat P(a,b)
Titik A(x,y) dirotasikan terhadap pusat P(a,b) sebesar a akan menghasilkan bayangan A’(x’,y’), dapat dituliskan:

CATATAN : Titik, garis, ataupun bidang yang dirotasikan (putar) tidak akan merubah bentuk dan ukuran.
Dilatasi (Perbesaran/Pengecilan)

Dilatasi adalah transformasi yang mengubah ukuran atau skala suatu bangun geometri (pembesaran atau pengecilan), tetapi tidak mengubah bentuk dasar bangun tersebut.
Sifat bangun yang mengalami dilatasi, yaitu:
- Jika k > 1 maka bangun akan diperbesar dan terletak searah terhadap pusat dengan bangun semula
- Jika k = 1 maka bangun tidak mengalami perubahan bentuk maupun ukuran
- Jika 0 < k < 1 maka bangun akan diperkecil dan terletak searah terhadap pusat dengan bangun semula
- Jika – 1 < k < 0 maka bangun akan diperkecil dan terletak berlawanan arah terhadap pusat dengan bangun semula
- Jika k < – 1 maka bangun akan diperbesar dan terletak berlawanan arah terhadap pusat dengan bangun semula
Rumus umum untuk dilatasi dapat dinyatakan:
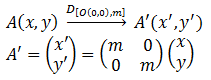
Dilatasi titik A(x,y) terhadap pusat O(0,0) dengan faktor skala m

Dilatasi titik A(x,y) terhadap pusat P(a,b) dengan faktor skala m

Bagaimana Sobat Pintar? Apakah kalian sudah mengerti mengenai materi transformasi ini?
Kalau sudah, yuk kita beralih ke latihan soal!
1.
Jawablah soal di bawah ini!
Bayangan titik A ditranslasikan oleh P (-1, -3) adalah A'(2, -7). Koordinat titik A adalah ….
A. (-3,4)
B. (3,-4)
C. (3,4)
D. (4,3)
E. (-3,-4)
JAWABAN BENAR
B.
(3,-4)
PEMBAHASAN
Misalkan A (x, y) maka

Jadi, koordinat titik A adalah (3, -4)
2.
Jawablah soal berikut!
Bayangan garis 4x – y = 3 yang direfleksikan terhadap garis x + y = 0 adalah….
A. 4x + y = 3
B. y – 4x = 3
C. x + 4y = 3
D. x - 4y = 3
E. 4y – x = 3
JAWABAN BENAR
D.
x - 4y = 3
PEMBAHASAN

3.
Jawablah soal berikut ini!
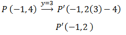
Bayangan titik P (-1, 4) oleh refleksi terhadap y = 3 adalah….
A. (5,4)
B. (-5,4)
C. (-1,2)
D. (-4,-2)
E. (-1,-4)
JAWABAN BENAR
C.
(-1,2)
PEMBAHASAN

4.
Jawablah soal berikut ini!
Bayangan titik B (8,-12) oleh rotasi R (O,-90o) adalah….
A. (-8,-12)
B. (8,12)
C. (-12,-8)
D. (12,8)
E. (-12,8)
JAWABAN BENAR
C.
(-12,-8)
PEMBAHASAN

5.
Jawablah soal di bawah ini!
Bayangan titik (2, -1) oleh dilatasi [0, 2] adalah….
A. (-1,2)
B. (2,1)
C. (2,-2)
D. (4,2)
E. (4,-2)
JAWABAN BENAR
E.
(4,-2)
PEMBAHASAN
(x', y') = k (x, y) = 2 (2, -1) = (4, -2)
6.
Jawablah soal di bawah ini!
Bayangan titik B ditranslasikan oleh G (1, 2) adalah B'(2, -7). Koordinat titik B adalah ….
A. (-1, -9)
B. (-1, 9)
C. (1, -9)
D. (1, 9)
E. (9, 1)
JAWABAN BENAR
B.
(-1, 9)
PEMBAHASAN
Misalkan B (x, y) maka,
B’ = B + G
(2, -7) = (x, y) + (1, 2)
(x, y) = (1, 2) - (2, -7)
(x, y) = (1-2, 2-(-7))
(x, y) = (-1, 9).
Jadi, koordinat titik B adalah (-1, 9).
7.
Jawablah soal di bawah ini!
Bayangan titik (3, 2) oleh dilatasi [0, 3] adalah ....
A. (-9, 6)
B. (-6, 9)
C. (6, 9)
D. (9, -6)
E. (9, 6)
JAWABAN BENAR
E.
(9, 6)
PEMBAHASAN
(x', y') = k (x, y) = 3 (3, 2) = (9, 6)
8.
Jawablah soal berikut ini!
Bayangan titik C (12, -5) oleh rotasi R (O,-90o) adalah….
A. (5, 12)
B. (-5, 12)
C. (5, -12)
D. (-5, -12)
E. (-5, -11)
JAWABAN BENAR
D.
(-5, -12)
PEMBAHASAN

Oops!!!
Yah, jawaban kamu meleset nih. Ingin melihat pembahasan soal ini?
BENAR!!!
Selamat!
Jawaban kamu benar. Ingin lihat pembahasan soal ini?
footer_v3
Bersama Aku Pintar temukan jurusan kuliah yang tepat
sesuai minat dan bakatmu.
Aku Pintar memiliki visi membuat pendidikan merata, mudah dijangkau, dan terjangkau dengan Program Journey Pintar yang merupakan sebuah program persiapan lengkap bagi siswa SMA/SMK/sederajat yang ingin masuk ke perguruan tinggi impiannya.
Kontak Kami
Grand Slipi Tower Lt. 42
Jl. S. Parman Kav 22-24
Jakarta Barat
© 2024 Aku Pintar. All Rights Reserved