Belajar Pintar Materi SMP, SMA, SMK
BelajarPintarV3
Matematika Wajib
Turunan
MATERI
Sifat Turunan Fungsi Aljabar

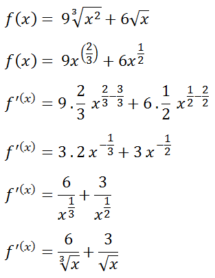
Selain menggunakan definisi turunan dengan limit fungsi, turunan suatu fungsi aljabar juga dapat diselesaikan dengan beberapa aturan berikut.




Menggambar Grafik Suatu Kurva

Grafik suatu fungsi f(x) dapat digambarkan grafiknya pada koordinat cartesius dengan langkah-langkah berikut:
- Menentukan titik potong dengan sumbu-sumbu koordinat (sumbu-x atau sumbu-y).
- Menentukan titik stasioner dan jenisnya (titik balik maksimum, titik balik minimum, atau titik belok).
- Menentukan nilai-nilai ujung interval apabila digambar dalam interval tertutup.
- Menentukan nilai fungsi untuk x besar positif dan untuk x besar negatif apabila digambar untuk x elemen bilangan rasional.
- Hubungkan titik-titik yang sudah ditentukan sehingga membentuk suatu kurva.
Catatan :
Untuk menggambar grafik suatu kurva, kalian harus sudah mempelajari mengenai titik balik, kurva naik atau turun.
1.
Jawablah soal berikut dengan tepat!
Turunan pertama dari 2x3 + x2 - 5x + 1 yaitu ….
A. 2x2 + x - 5
B. 6x2 + 2x - 5
C. 2x2 - 5x + 1
D. 6x2 + x + 1
E. 6x3 + 2x2 - 5x + 1
JAWABAN BENAR
B.
6x2 + 2x - 5
PEMBAHASAN
f(x)= 2x3+x2-5x+1
f'(x)= 2 .3 x3-1 + 2 x2-1 - 5 x1-0 + 1 .0
f'(x)= 6x2 +2 x1 - 5 x0+0
f'(x)= 6x2 + 2x - 5
2.
Jawablah soal di bawah ini dengan tepat!

A.

B.

C.

D.

E.

JAWABAN BENAR
A.
PEMBAHASAN

3.
Jawablah soal berikut ini!

A.

B.

C.

D.

E.

JAWABAN BENAR
D.
PEMBAHASAN

4.
Jawablah soal berikut ini dengan tepat!
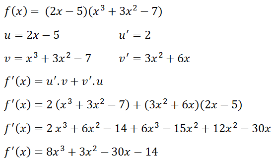
Turunan dari fungsi (2x-5)(x3+3x2-7) adalah ....
A. 2x3 + x2 - 15x - 14
B. 2x3 + x2 - 15x + 35
C. 8x3 + 3x2 - 30x - 14
D. 8x3 + 3x2 - 30x + 35
E. 8x3 + x2 - 15x - 14
JAWABAN BENAR
C.
8x3 + 3x2 - 30x - 14
PEMBAHASAN

5.
Jawablah soal di bawah ini!

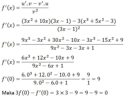
A. -18
B. -9
C. 0
D. 9
E. 18
JAWABAN BENAR
C.
0
PEMBAHASAN


6.
Jawablah soal di bawah ini!
![]()
A. x - x-1
B. x + x-2
C. 2x + x-2 + 1
D. 2x - x-2 + 1
E. 2x + x-2
JAWABAN BENAR
E.
2x + x-2
PEMBAHASAN

7.
Jawablah soal di bawah ini!

A. -5
B. 2
C. 4
D. 5
E. 10
JAWABAN BENAR
D.
5
PEMBAHASAN

Oops!!!
Yah, jawaban kamu meleset nih. Ingin melihat pembahasan soal ini?
BENAR!!!
Selamat!
Jawaban kamu benar. Ingin lihat pembahasan soal ini?
footer_v3
Bersama Aku Pintar temukan jurusan kuliah yang tepat
sesuai minat dan bakatmu.
Aku Pintar memiliki visi membuat pendidikan merata, mudah dijangkau, dan terjangkau dengan Program Journey Pintar yang merupakan sebuah program persiapan lengkap bagi siswa SMA/SMK/sederajat yang ingin masuk ke perguruan tinggi impiannya.
Kontak Kami
Grand Slipi Tower Lt. 42
Jl. S. Parman Kav 22-24
Jakarta Barat
© 2024 Aku Pintar. All Rights Reserved