Belajar Pintar Materi SMP, SMA, SMK
BelajarPintarV3
Fisika
Fisika Modern
MATERI
Konstraksi Panjang
Konstraksi Panjang
Sebuah benda diam tampak lebih panjang jika diukur oleh pengamat yang diam terhadap benda, sedangkan untuk pengamat yang bergerak relatif terhadap benda, maka panjang benda tampak lebih pendek. Kontraksi panjang adalah fenomena memendeknya sebuah objek yang diukur oleh pengamat yang sedang bergerak pada kecepatan bukan nol relatif terhadap objek tersebut. Kontraksi ini biasanya hanya dapat dilihat ketika mendekati kecepatan cahaya. Kontraksi panjang hanya terlihat pada arah paralel dengan arah dimana benda yang diamati bergerak. Efek ini hampir tidak terlihat pada kecepatan sehari-hari dan diabaikan untuk semua kegiatan umum. Hanya pada kecepatan sangat tinggi dapat terlihat. Pada kecepatan 13.400.000 m/s (30 juta mph, 0.0447c) kontraksi panjangnya adalah 99.9% dari panjang saat diam; pada kecepatan 42.300.000 m/s (95 juta mph, 0.141c), panjangnya masih 99%. Ketika semakin mendekati kecepatan cahaya, maka efeknya semakin kelihatan, seperti pada rumus:
Rumus Kontraksi Panjang

Kontraksi panjang atau penyusutan panjang hanya terjadi pada pada komponen panjang benda yang sejajar dengan arah gerak. Semua komponen panjang lainnya yang tegak lurus terhadap arah gerak (arah kecepatan v) tidak mengalami penyusutan panjang.
Massa Relativistik
Massa Relativistik
Untuk gerakan – gerakan benda dengan kecepatan relative kecil tidak terjadi perubahan massa. Perubahan itu baru tampak jika kecepatannya mendekati kecepatan cahaya. Oleh Einstein hubungan massa diam dan massa bergerak yang ditinjau oleh pengamat dirumuskan sebagai berikut :
Rumus massa relativistik

Momentum Relativistik
Momentum Relativistik
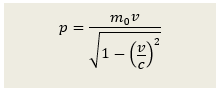
Anda telah mengetahui bahwa besar momentum suatu benda bermassa m yang sedang bergerak dengan kelajuan v diberikan sebagai : p = m.v. Untuk benda yang bergerak dengan kecepatan realtivistik maka momentumnya adalah momentum relativistik. Besar momentum relativistik p diperoleh dari persamaan p = mv dengan memasukkan m sebagai massa relativistik yaitu:
Rumus Momentum relativistik

Jadi persamaan momentum relativistic seperti berikut:

Energi Relativistik
Energi Relativistik
Albert Einstein pada tahun 1905 menyatakan bahwa ada kesetaraan antara massa dan energi pada benda yang bergerak mendekati kecepatan cahaya. Pada penyinaran zat radioaktif, selalu disertai energi yang sangat besar. Energi ini diserap dan berubah menjadi panas. Jika benda diam menerima energi kinetik, massa relatif benda akan bertambah. Tetapi, jika kehilangan energi, massa benda relatif akan berkurang. Dalam fisika klasik kita mengenal dua prinsip kekekalan, yaitu kekekalan massa (klasik) dan kekekalan energi. Dalam relativitas, kedua prinsip kekekalan tersebut bergabung menjadi prinsip kekekalan massa-energi, dan memegang peranan penting dalam reaksi inti. Menurut Einstein, benda yang bergerak dengan kelajuan v, akan memiliki energi kinetik. Ini karena adanya kesetaraan antara massa dengan energi.
Rumus Energi relativistik

Dimana :
Ek=Energi kinetik relativitas (Joule)
m0=massa diam (Kg)
m=Massa total (Kg)
c=Kecepatan Cahaya
Hukum Kekekalan Energi Relativistik
Hukum Kekekalan Energi Relativistik
Jika sebuah benda dalam keadaan diam (massa diam mo membelah secara spontan menjadi dua bagian massa diam masing – masing mo1 dan mo2) yang bergerak masing-masing dengan kelajuan v1 dan v2, maka berlaku hukum kekekalan energi relativistik, yaitu energi relativistik awal sama dengan energi relativistik akhir.
Rumus Hukum Kekekalan Energi Relativistik

1.
Kerjakan soal di bawah ini dengan benar!
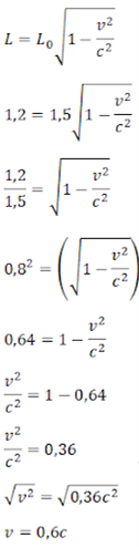
Sebuah balok kayu yang diukur saat bergerak menyusut sebesar 30cm dari panjang benda yang diukur dalam keadaan diam. Bila panjang benda dalam keadaan diam sebesar 150cm dan kecepatan cahaya dinotasikan dengan c, berapa kecepatan benda tersebut dalam keadaan bergerak?
A. 0,3 c
B. 0,4 c
C. 0,5 c
D. 0,6 c
E. 0,7 c
JAWABAN BENAR
E.
0,7 c
PEMBAHASAN
Ubah panjang benda ke dalam satuan meter terlebih dahulu.
L0 = 150cm (panjang benda dalam keadaan diam)
= 1,5 m
L = L0 - Penyusutan panjang
L = 1,5 m - 0,3 m
L = 1,2 m
Karena besar benda saat diam diketahui dan panjang benda saat bergerak telah diketahui kita dapat menghitung kecepatan benda saat bergerak

2.
Kerjakan soal di bawah ini dengan benar!
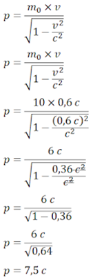
Sebuah Benda memiliki masa benda sebesar 10 kg bergerak dengan kecepatan 0,6 c. Tentukan besar Momentum benda tersebut!
A. 6,4 c
B. 7,3 c
C. 7,6 c
D. 7,4 c
E. 7,5 c
JAWABAN BENAR
E.
7,5 c
PEMBAHASAN
Diketahui:
m0 = 10 kg
v = 0,6 c
Ditanya: (p)Momentum benda tersebut?
Setelah diketahui masa dan kecepatannya kita dapat menghitung langsung momentum benda tersebut dengan mensubtitusikan ke rumus:

3.
Kerjakan soal dibawah ini dengan benar !
Fenomena memendeknya sebuah objek yang diukur oleh pengamat yang sedang bergerak pada kecepatan bukan nol relatif terhadap objek tersebut disebut dengan…
A. Kontraksi panjang
B. Massa relativistik
C. Dilatasi Waktu
D. Kontraksi massa
E. Momentum relativistik
JAWABAN BENAR
A.
Kontraksi panjang
PEMBAHASAN
Kontraksi panjang adalah fenomena memendeknya sebuah objek yang diukur oleh pengamat yang sedang bergerak pada kecepatan bukan nol relatif terhadap objek tersebut. Kontraksi ini biasanya hanya dapat dilihat ketika mendekati kecepatan cahaya. Kontraksi panjang hanya terlihat pada arah paralel dengan arah dimana benda yang diamati bergerak. Efek ini hampir tidak terlihat pada kecepatan sehari-hari dan diabaikan untuk semua kegiatan umum.
4.
Kerjakan soal dibawah ini dengan benar !
Dalam fisika klasik kita mengenal dua prinsip kekekalan, yaitu …
A. Kekekalan frekuensi dan kekekalan ruang
B. Kekekalan massa dan kekekalan luas
C. Kekekalan massa dan kekekalan energi
D. Kekekalan waktu dan kekekalan ruang
E. Kekekalan dimensi dan kekekalan waktu
JAWABAN BENAR
C.
Kekekalan massa dan kekekalan energi
PEMBAHASAN
Dalam fisika klasik kita mengenal dua prinsip kekekalan, yaitu kekekalan massa (klasik) dan kekekalan energi. Dalam relativitas, kedua prinsip kekekalan tersebut bergabung menjadi prinsip kekekalan massa-energi, dan memegang peranan penting dalam reaksi inti.
5.
Kerjakan soal di bawah ini dengan benar!
Sebuah benda yang memiliki massa diam m0 maka benda tersebut jika bergerak dengan kecepatan mendekati kecepatan cahaya akan mengalami perubahan massa yang disebut dengan ….
A. Massa Relativistik
B. Energi Relativistik
C. Momentum Relativistik
D. Gerak Relativistik
E. Waktu Relativistik
JAWABAN BENAR
A.
Massa Relativistik
PEMBAHASAN
Untuk gerakan – gerakan benda dengan kecepatan relative kecil tidak terjadi perubahan massa. Perubahan itu baru tampak jika kecepatannya mendekati kecepatan cahaya. Sebuah benda yang memiliki massa diam m0 maka benda tersebut jika bergerak dengan kecepatan mendekati kecepatan cahaya akan mengalami perubahan massa yang disebut dengan massa relativistic.
Oops!!!
Yah, jawaban kamu meleset nih. Ingin melihat pembahasan soal ini?
BENAR!!!
Selamat!
Jawaban kamu benar. Ingin lihat pembahasan soal ini?
footer_v3
Bersama Aku Pintar temukan jurusan kuliah yang tepat
sesuai minat dan bakatmu.
Aku Pintar memiliki visi membuat pendidikan merata, mudah dijangkau, dan terjangkau dengan Program Journey Pintar yang merupakan sebuah program persiapan lengkap bagi siswa SMA/SMK/sederajat yang ingin masuk ke perguruan tinggi impiannya.
Kontak Kami
Grand Slipi Tower Lt. 42
Jl. S. Parman Kav 22-24
Jakarta Barat
© 2024 Aku Pintar. All Rights Reserved




