Belajar Pintar Materi SMP, SMA, SMK
BelajarPintarV3
Fisika
Fisika Modern
MATERI
Relativitas Newton

Relativitas Newton
Perhatikan Gambar berikut !

Gambar 1: Kecepatan benda sumber: kelaspintar.id
Teori Relativitas Newton menjelaskan gerak-gerak benda jauh di bawah kecepatan cahaya. Teori relativitas mempelajari bagaimana pengukuran besaran fisika yang bergantung pada pengamat seperti halnya dengan peristiwa yang diamati. Relativitas merupakan salah satu dari beberapa teori mengenai gerak, yang dirancang untuk menjelaskan penyimpangan dari mekanika Newton yang timbul akibat gerak relative yang sangat cepat. Teori ini telah mengubah pandangan kita mengenai ruang, waktu, massa, energi, gerak, dan gravitasi. Teori relativitas Newton terdiri atas teori khusus dan teori umum, yang keduanya bertumpu pada dasar matematika yang kuat dan keduanya telah diuji dengan percobaan-percobaan dan pengamatan.
Newton mengatakan bahwa semua gerak itu relatif. Benda akan dikatakan bergerak apabila kedudukan benda tersebut berubah terhadap kerangka acuannya. Kerangka acuan di mana Hukum Newton berlaku disebut kerangka acuan inersia. Jika kita memiliki dua kerangka acuan inersia yang bergerak dengan kecepatan konstan relatif terhadap yang lainnya, maka tidak dapat ditentukan bagian mana yang diam dan bagian mana yang bergerak atau keduanya bergerak. Galileo dan Newton mengemukakan tentang apa yang sekaran kita sebut sebagai prinsip relativitas Newton, yaitu hukum – hukum mekanika berlaku sama pada semua kerangka acuan inersial.
Postulat Relativitas Khusus
Postulat Relativitas Khusus
Pada tahun 1888 Hertz berhasil membuktikan hipotesis Maxwell bahwa cahaya termasuk gelombang elektromagnetik, yang merambat melalui udara dengan kecepatan c = 3 x 108 m/s. Sesuai dengan pendapat umum pada saat itu bahwa gelombang memerlukan medium untuk merambat, para ilmuwan kemudian mengemukakan hipotesis eter: “Jagat raya dipenuhi oleh eter stasioner yang tidak mempunyai wujud tetapi dapat menghantarkan perambatan gelombang”.
Namun keberadaan eter akhirnya terbantahkan melalui percobaan Michelson-Morley dimana pada saat itu mereka ingin mengukur kelajuan Bumi relatif terhadap eter. Keinginan untuk membukikan bahwa eter itu ada berakhir dengan kesimpulan eter sebenarnya tidak ada. Melalui percobaan yang berulang-ulang di lakukan hasilnya tetap bahwa eter tidak ada.
Teori relativitas Einstein merujuk pada kerangka acuan inersial yaitu kerangka acuan yang bergerak relatif pada kecepatan konstan (tetap) terhadap kerangka acuan lainnya. Dari hasil kajiannya, Einstein mengemukakan dua postulat, yaitu:
- Hukum-hukum fisika memiliki bentuk yang sama pada semua kerangka acuan inersial.
- Cahaya yang merambat di ruang hampa dengan kecepatan c = 3 x 108 m/s adalah sama untuk semua pengamat dan tidak bergantung pada gerak sumber cahaya maupun kecepatan pengamat.
- Postulat pertama didasarkan pada tidak adanya kerangka acuan umum yang diam mutlak, sehingga tidak dapat ditentukan mana yang dalam keadaan diam dan mana yang dalam keadaan bergerak. Misalnya, seseorang berinisial A berada di dalam pesawat dan seseorang berinisial B berada di permukaan bumi. Dari sudut pandang A, pesawat diam pada suatu tempat dan permukaan bumi-lah yang bergerak. Sedangkan dari sudut pandang B, permukaan bumi tempat dia berpijak yang tetap diam dan pesawat dengan berisi si A didalamnya yang bergerak.
- Postulat kedua menyatakan bahwa kecepatan cahaya c konstan, tidak bergantung pengamat yang mengukur dari kerangka acuan inersia. Segala pengukuran harus dibandingkan dengan kecepatan cahaya dan tidak ada kecepatan yang lebih besar dari kecepatan cahaya.
Tranformasi Lorentz
Tranformasi Lorentz
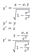
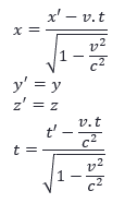
Pada transformasi Galileo telah dikemukakan bahwa selang waktu pengamatan terhadap suatu peristiwa yang diamati oleh pengamat yang diam dengan pengamat yang relatif bergerak terhadap peristiwa adalah sama (t - t’). Hal inilah yang menurut Einstein tidak benar, selang waktu pengamatan antara pengamat yang diam dan pengamat yang bergerak relatif adalah tidak sama (t ≠ t’). Transformasi Lorentz pertama kali dikemukaan oleh Hendrik A. Lorentz, seorang fisikawan dari Belanda pada tahun 1895. Sebagai gambaran coba kalian perhatikan gambar berikut!

Gambar 2: Ilustrasi transformasi Lorentz (sumber: golengku.blogspot)
Karena waktu pengamatan oleh pengamat yang diam (Ali) pada kerangka acuan S dan pengamat yang bergerak (Hasan) pada kerangka acuan S’ hubungan transformasi pada Galileo haruslah mengandung suatu tetapan pengali yang disebut tetapan transformasi.logspot)
Dari hasil perhitungan turunan dapatkan persamaan transformasi Lorentz yaitu:

Kebalikan transformasi Lorentz dapat dituliskan menjadi:

Maka transformasi Lorentz untuk kecepatan benda yang bergerak dapat dinyatakan:

Secara analog persamaan transformasi Lorentz balik untuk kecepatan dapat dituliskan:

Persamaan-persamaan di atas merupakan penjumlahan kecepatan transformasi Lorentz yang kemudian dikenal dengan penjumlahan kecepatan menurut teori relativitas Einstein. Persamaan tersebut di atas merupakan rumus kecepatan benda yang diamati oleh pengamat yang diam yang disebut rumus penambahan kecepatan relativistik yang sesuai dengan teori relativitas Einstein.
CONTOH SOAL
Seorang pengamat di bumi melihat dua pesawat antariksa A dan B yang bergerak berlawanan arah mendekati bumi dengan kelajuan masing-masing 0,5c dan 0,6c. Maka berapakah kelaajuan:
1) Pesawat A menurut pilot di pesawat B?
2) Pesawat B menurut pilot di pesawat A?
Penyelesaian :
VA = 0,5 c
VB = 0,6 c
1. Kelajuan pesawat A menurut pilot pesawat B dapat diselesaikan dengan persamaan:

2) Kelajuan pesawat B menurutpilot pesawat A dapat diselesaikan dengan persamaan:

Dilatasi Waktu
Dilatasi Waktu
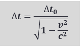
Menurut Einstein bahwa waktu adalah sesuatu yang relatif. Di dalam suatu kerangka acuan yang bergerak terhadap seorang pengamat yang diamterdapat lonceng yang menunjukkan selang waktu Δt0. Selang waktu yang diamati oleh pengamat tersebut adalah Δt lebih lamat dari pada Δt0. Beda waktu yang merupakan perpanjangan waktu pengamatan bagi pengamat diam disebut dilatasi waktu.
Menurut Einstein hubungan antara kedua selang waktu itu dirumuskan dengan:

Keterangan :


Gambar 3 : Ilustrasi dilatasi waktu (sumber: infoastronomy.org)
Dalam teori relativitas Einstein, dilatasi waktu dalam dua keadaan ini dapat diringkas yaitu: Dalam relativitas khusus (atau, hipotetis jauh dari semua massa gravitasi), jam yang bergerak terhadap sistem inersia pengamatan diukur akan berjalan lebih lambat. Efek ini dijelaskan dengan tepat oleh transformasi Lorentz. Dalam relativitas umum, jam pada posisi dengan potensial gravitasi yang lebih rendah seperti dalam jarak dekat ke planet yang ditemukan akan berjalan lebih lambat.
CONTOH SOAL :
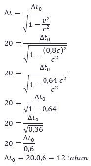
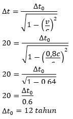
Dua orang Anton dan Bernad, Anton berada di bumi sedangkan Bernard naik pesawat antariksa yang bergerak dengan kecepatan 0,8c pergi pulang terhadap bumi. Bila Anton mencatat kepergian Bernard selama 20 tahun, maka berapa lamakan Bernard mencatat kepergiannya mengendarai pesawat tersebut?
Penyelesaian :
20 tahun waktu perjalanan di bumi dan menurut Anton adalah waktu yang dia lihat dari keadaan bergerak (Δt), maka waktu yang berjalan di dalam pesawat (Δt0):

1.
Kerjakan soal di bawah ini dengan benar!
Diketahui dua orang A dan B. A berada di bumi dan B berada di sebuah pesawat antariksa yang bergerak dengan kecepatan 0,8 c pulang-pergi terhadap bumi. Jika A mencatat perjalanan B selama 20 tahun, maka B mencatat perjalanan pesawat yang ditumpanginya selama ...
A. 6 tahun
B. 9 tahun
C. 12 tahun
D. 15 tahun
E. 20 tahun
JAWABAN BENAR
C.
12 tahun
PEMBAHASAN
Diketahui : Δt=20 tahun
Berdasarkan rumus dilatas waktu,

2.
Kerjakan soal di bawah ini dengan benar!
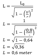
Sebuah kontainer berbentuk kubus mempunyai volume 1 m3 kalau diamati oleh pengamat yang membisu terhadap kontainer tersebut. Jika pengamat bergerak relatif terhadap kubus dengan kecepatan 0,8 c panjang rusuk kontiner yang teramati yakni ...
A. 0,2 meter
B. 0,4 meter
C. 0,5 meter
D. 0,6 meter
E. 0,8 meter
JAWABAN BENAR
D.
0,6 meter
PEMBAHASAN
Diketahui :
v=0,8c
Lo=1m
Ditanyakan : L…?
Jawab :
Berdasarkan kontraksi panjang :

3.
Kerjakan soal di bawah ini dengan benar!
Pada tahun 1888 Hertz berhasil membuktikan hipotesis Maxwell bahwa cahaya termasuk gelombang elektromagnetik, yang merambat melalui udara dengan kecepatan …
A. 3 x 108 m/s
B. 3 x 109 m/s
C. 3 x 107 m/s
D. 3 x 106 m/s
E. 5 x 108 m/s
JAWABAN BENAR
A.
3 x 108 m/s
PEMBAHASAN
Pada tahun 1888 Hertz berhasil membuktikan hipotesis Maxwell bahwa cahaya termasuk gelombang elektromagnetik, yang merambat melalui udara dengan kecepatan c = 3 x 108 m/s. Sesuai dengan pendapat umum pada saat itu bahwa gelombang memerlukan medium untuk merambat, para ilmuwan kemudian mengemukakan hipotesis eter: “Jagat raya dipenuhi oleh eter stasioner yang tidak mempunyai wujud tetapi dapat menghantarkan perambatan gelombang”.
4.
Kerjakan soal di bawah ini dengan benar!
Selang waktu pengamatan terhadap suatu peristiwa yang diamati oleh pengamat yang diam dengan pengamat yang relatif bergerak terhadap peristiwa adalah sama (t - t’) merupakan definisi dari…
A. Transformasi Einstein
B. Transformasi Galilo
C. Transformasi Lorentz
D. Transformasi Maxwell
E. Transformasi Newton
JAWABAN BENAR
B.
Transformasi Galilo
PEMBAHASAN
Pada transformasi Galileo telah dikemukakan bahwa selang waktu pengamatan terhadap suatu peristiwa yang diamati oleh pengamat yang diam dengan pengamat yang relatif bergerak terhadap peristiwa adalah sama (t - t’). Hal inilah yang menurut Einstein tidak benar, selang waktu pengamatan antara pengamat yang diam dan pengamat yang bergerak relatif adalah tidak sama (t ≠ t’). Transformasi Lorentz pertama kali dikemukaan oleh Hendrik A. Lorentz, seorang fisikawan dari Belanda pada tahun 1895Pada transformasi Galileo telah dikemukakan bahwa selang waktu pengamatan terhadap suatu peristiwa yang diamati oleh pengamat yang diam dengan pengamat yang relatif bergerak terhadap peristiwa adalah sama (t - t’). Hal inilah yang menurut Einstein tidak benar, selang waktu pengamatan antara pengamat yang diam dan pengamat yang bergerak relatif adalah tidak sama (t ≠ t’). Transformasi Lorentz pertama kali dikemukaan oleh Hendrik A. Lorentz, seorang fisikawan dari Belanda pada tahun 1895
5.
Kerjakan soal di bawah ini dengan benar!
Cahaya termasuk gelombang elektromagnetik, yang merambat melalui udara dengan kecepatan c = 3 x 108 m/s. Pernyataan tersebut merupakan hipotesis dari…
A. Hertz
B. Einstein
C. Newton
D. Maxwell
E. Galileo
JAWABAN BENAR
D.
Maxwell
PEMBAHASAN
Pada tahun 1888 Hertz berhasil membuktikan hipotesis Maxwell bahwa cahaya termasuk gelombang elektromagnetik, yang merambat melalui udara dengan kecepatan c = 3 x 108 m/s. Sesuai dengan pendapat umum pada saat itu bahwa gelombang memerlukan medium untuk merambat, para ilmuwan kemudian mengemukakan hipotesis eter: “Jagat raya dipenuhi oleh eter stasioner yang tidak mempunyai wujud tetapi dapat menghantarkan perambatan gelombang”.
Oops!!!
Yah, jawaban kamu meleset nih. Ingin melihat pembahasan soal ini?
BENAR!!!
Selamat!
Jawaban kamu benar. Ingin lihat pembahasan soal ini?
footer_v3
Bersama Aku Pintar temukan jurusan kuliah yang tepat
sesuai minat dan bakatmu.
Aku Pintar memiliki visi membuat pendidikan merata, mudah dijangkau, dan terjangkau dengan Program Journey Pintar yang merupakan sebuah program persiapan lengkap bagi siswa SMA/SMK/sederajat yang ingin masuk ke perguruan tinggi impiannya.
Kontak Kami
Grand Slipi Tower Lt. 42
Jl. S. Parman Kav 22-24
Jakarta Barat
© 2024 Aku Pintar. All Rights Reserved


