Belajar Pintar Materi SMP, SMA, SMK
BelajarPintarV3
Fisika
Gelombang Cahaya
MATERI
Pengertian Polarisasi Cahaya

Polarisasi adalah pembatasan gelombang vektor yang membentuk suatu gelombang transversal sehingga menjadi satu arah. Tidak seperti interferensi dan difraksi yang dapat terjadi pada gelombang transversal dan longitudinal, efek polarisasi hanya dialami oleh gelombang transversal.
Cahaya dapat mengalami polarisasi menunjukkan bahwa cahaya termasuk gelombang transversal. Pada cahaya tidak terpolarisasi, medan listrik bergetar ke segala arah, tegak lurus arah rambat gelombang. Setelah mengalami pemantulan atau diteruskan melalui bahan tertentu, medan listrik terbatasi pada satu arah. Polarisasi dapat terjadi karena pemantulan pada cermin datar, absorpsi selektif dari bahan polaroid, dan bias kembar oleh kristal.

Polarisasi karena Pembiasan dan Pemantulan
Sobat Pintar, polarisasi cahaya yang dipantulkan oleh permukaan transparan akan maksimum bila sinar pantul tegak lurus terhadap sinar bias. Sudut datang dan sudut pantul pada saat polarisasi maksimum disebut sudut Brewster atau sudut polarisasi (iP).

Arah sinar pantul (iP) tegak lurus dengan sinar bias (r '), maka berlaku :
iP + r ' = 90°
atau
r ' = 90° – iP
Menurut Snellius:
n = tan iP
Keterangan:
n = indeks bias relatif bahan polarisator terhadap udara
iP = sudut pantul
r ' = sudut bias
Pada tahun 1812 Francois Arago membuat salah satu filter polarisasinya yang pertama yang dibuat dari lembaran kaca yang ditumpuk.
Polarisasi karena Pembiasan Ganda (Bias Kembar)
Bias ganda merupakan sifat yang dimiliki beberapa kristal tertentu (terutama kalsit) untuk membentuk dua sinar bias dari suatu sinar datang tunggal. Sinar bias (ordinary ray) mengikuti hukum-hukum pembiasan normal. Sinar bias lain, yang dinamakan sinar luar biasa (extraordinary ray), mengikuti hukum yang berbeda. Kedua sinar tersebut bergerak dengan kelajuan yang sama, di mana cahaya sinar biasa terpolarisasi tegak lurus terhadap cahaya sinar luar biasa.
Polarisasi karena Absorpsi Selektif
Sobat Pintar, kita lanjut ke topik berikutnya!
Cahaya yang terpolarisasi bidang bisa diperoleh dari cahaya yang tidak terpolarisasi dengan menggunakan bahan bias ganda yang disebut polaroid. Polaroid terdiri atas molekul panjang yang rumit yang tersusun paralel satu sama lain. Jika satu berkas cahaya terpolarisasi bidang jatuh pada polaroid yang sumbunya membentuk sudut terhadap arah polarisasi datang, amplitudonya akan diperkecil. Karena intensitas berkas cahaya sebanding dengan kuadrat amplitudo, maka intensitas terpolarisasi bidang yang ditransmisikan oleh alat polarisasi adalah :

dengan I0 adalah intensitas datang.
Alat polarisasi menganalisis untuk menentukan apakah cahaya terpolarisasi dan untuk menentukan bidang polarisasi adalah polaroid.

Cahaya yang tidak terpolarisasi terdiri atas cahaya dengan arah polarisasi (vektor medan listrik) yang acak, yang masing-masing arah polarisasinya diuraikan menjadi komponen yang saling tegak lurus. Ketika cahaya yang tidak terpolarisasi melewati alat polarisasi, satu dari komponen-komponennya dihilangkan. Jadi, intensitas cahaya yang lewat akan diperkecil setengahnya karena setengah dari cahaya tersebut dihilangkan.
I = 1/2 I0
Polarisasi karena Hamburan
Hamburan didefinisikan sebagai suatu peristiwa penyerapan dan pemancaran kembali suatu gelombang cahaya oleh partikel. Fenomena yang menerapkan prinsip ini antara lain warna biru pada langit dan warna merah yang terlihat ketika Matahari terbenam.

Penghamburan cahaya oleh atmosfer bumi bergantung pada panjang gelombang . Untuk partikel-partikel dengan panjang gelombang yang jauh dari panjang gelombang cahaya, misalnya molekul udara, hal itu tidak menjadi rintangan yang terlalu besar bagi panjang dibandingkan dengan panjang gelombang yang pendek.
Matahari memberikan sinar putih yang dihamburkan oleh molekul udara ketika memasuki atmosfer bumi. Sinar biru dihamburkan lebih banyak daripada warna lain, sehingga langit tampak berwarna biru. Ketika Matahari terbenam, berada di kerendahan langit, cahaya dari akhir spektrum biru dihamburkan. Matahari terlihat berwarna kemerahan karena warna dari akhir spektrum lewat ke mata kita, tetapi warna biru lolos. Proses penghamburan yang terjadi menjelaskan polarisasi cahaya langit.
1.
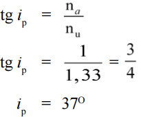
Dalam sebuah bejana diisi air yang indeks biasnya 1,33. Jika cahaya monokromatik dari air diarahkan ke udara maka berapakah sudut yang harus diberikan pada cahaya agar terjadi polarisasi?
A. 23o
B. 28o
C. 37o
D. 43o
E. 50o
JAWABAN BENAR
C.
37o
PEMBAHASAN

2.
Suatu berkas cahaya dijatuhkan pada permukaan kaca yang memiliki indeks bias 1,54. Berapa derajat sudut polarisasi nya?
A. 24o
B. 32o
C. 38o
D. 42o
E. 57o
JAWABAN BENAR
E.
57o
PEMBAHASAN

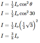
3.
Cahaya tak terpolarisasi mengenai polaroid pertama yang memiliki intensitas Io. Jika sudut antara kedua sumbu polarisasi dari kedua polaroid adalah 30o. Tentukan intensitas cahaya yang diteruskan oleh polaroid pertama dan kedua !
A. 3/8 Io
B. 1/2 Io
C. 3/4 Io
D. 7/8 Io
E. 1/8 Io
JAWABAN BENAR
A.
3/8 Io
PEMBAHASAN

4.
Cahaya merupakan gelombang transversal. Hal ini menunjukkan adanya peristiwa.…
A. interferensi
B. refraksi
C. refleksi
D. difraksi
E. polarisasi
JAWABAN BENAR
E.
polarisasi
PEMBAHASAN
Polarisasi adalah peristiwa perubahan arah getar gelombang cahaya yang acak menjadi satu arah getar. Gelombang yang dapat mengalami polarisasi hanyalah gelombang tranversal yang mempunyai arah getaran tegak lurus dengan arah perambatannya .
5.
Cahaya tak terpolarisasi dengan intensitas I dilewatkan pada sekeping polarisator sehingga intensitas cahaya yang keluar keping polarisator menjadi B. Jika polarisator diputar 900 maka intensitas cahaya yang keluar dari polarisator akan ….
A. menjadi nol
B. menjadi 1/8 B
C. menjadi 1/4 B
D. menjadi 1/2 B
E. tetap B
JAWABAN BENAR
E.
tetap B
PEMBAHASAN
Seandainya polarisator diputar-putar maka tetap saja Intensitas yang keluar dari polarisator akan bernilai setengah dari Intensitas awal
Io = I
I1 = 1/2 Io = B
Sehingga Intensitas yang keluar dari polarisator tetap sama.
Oops!!!
Yah, jawaban kamu meleset nih. Ingin melihat pembahasan soal ini?
BENAR!!!
Selamat!
Jawaban kamu benar. Ingin lihat pembahasan soal ini?
footer_v3
Bersama Aku Pintar temukan jurusan kuliah yang tepat
sesuai minat dan bakatmu.
Aku Pintar memiliki visi membuat pendidikan merata, mudah dijangkau, dan terjangkau dengan Program Journey Pintar yang merupakan sebuah program persiapan lengkap bagi siswa SMA/SMK/sederajat yang ingin masuk ke perguruan tinggi impiannya.
Kontak Kami
Grand Slipi Tower Lt. 42
Jl. S. Parman Kav 22-24
Jakarta Barat
© 2024 Aku Pintar. All Rights Reserved