Belajar Pintar Materi SMP, SMA, SMK
BelajarPintarV3
Fisika
Inti Atom dan Radioaktivitas
MATERI
Pengertian Radioaktivitas

Radioaktivitas adalah pemancaran sinar radioaktif secara spontan oleh inti-inti (inti induk) tidak stabil menjadi inti-inti yang lebih stabil (inti anak). Zat-zat radioaktif yang terdapat di alam antara lain uranium, polonium, dan radium. Beberapa unsur lain memiliki isotop yang bersifat radioaktif. Unsur-unsur tersebut disebut radioisotop.

Manfaat Radioisotop

Ada radioisotop alamiah yang dapat ditemukan di alam, dan ada yang diproduksi untuk dimanfaatkan dalam kehidupan manusia. Radioisotop ini memancarkan partikel radiasi yang diinginkan, namun mungkin juga memancarkan partikel radiasi yang membahayakan.
Sobat pintar lalu apa saja sih manfaat radioisotop dalam kehidupan sehari-hari? Kuy simak!

Bidang kedokteran
- I-131: Terapi penyembuhan kanker Tiroid, mendeteksi kerusakan pada kelenjar gondok, hati dan otak
- Pu-238: energi listrik dari alat pacu jantung
- Tc-99 & Ti-201: Mendeteksi kerusakan jantung
- Na-24: Mendeteksi gangguan peredaran darah
- Xe-133: Mendeteksi Penyakit paru-paru
- P-32: Penyakit mata, tumor dan hati
- Fe-59: Mempelajari pembentukan sel darah merah
- Cr-51: Mendeteksi kerusakan limpa
- Se-75: Mendeteksi kerusakan Pankreas
- Tc-99: Mendeteksi kerusakan tulang dan paru-paru
- Ga-67: Memeriksa kerusakan getah bening
- C-14: Mendeteksi diabetes dan anemia
- Co-60: Membunuh sel-sel kanker
Bidang Hidrologi
- Mempelajari kecepatan aliran sungai.
- Menyelidiki kebocoran pipa air bawah tanah.
Bidang Biologis
- Mempelajari kesetimbangan dinamis.
- Mempelajari reaksi pengesteran.
- Mempelajari mekanisme reaksi fotosintesis.
Bidang pertanian
- Pemberantasan hama dengan teknik jantan mandul, contoh: Hama kubis
- Pemuliaan tanaman/pembentukan bibit unggul, contoh: Padi
- Penyimpanan makanan sehingga tidak dapat bertunas, contoh: kentang dan bawang
Bidang Industri
- Pemeriksaan tanpa merusak, contoh: Memeriksa cacat pada logam
- Mengontrol ketebalan bahan, contoh: Kertas film, lempeng logam
- Pengawetan bahan, contoh: kayu, barang-barang seni
- Meningkatkan mutu tekstil, contoh: mengubah struktur serat tekstil
- Untuk mempelajari pengaruh oli dan aditif pada mesin selama mesin bekerja
Bidang Arkeologi
- Menentukan umur fosil dengan C-14
Radiasi nuklir dalam jumlah terlalu tinggi menimbulkan dampak negatif terhadap kesehatan manusia. Terdapat beberapa dampak radiasi nuklir dalam dosis tinggi yang membahayakan kesehatan.
- Radiasi nuklir membunuh sel saraf dan pembuluh darah yang kecil sehingga bisa menimbulkan stroke dan kematian mendadak.
- Kelenjar tiroid rentan terkena radioaktif iodine. Dalam jumlah yang cukup, radioaktif iodine bisa merusak sebagian atau seluruh kelenjar tiroid.
- Ketika seseorang terkena radiasi nuklir sekitar 100 rad, produksi sel darah putih akan berkurang sehingga orang tersebut akan rentan terkena infeksi.
- Radiasi nuklir sebesar 200 rad atau lebih tinggi akan menyebabkan rambut rontok dengan cepat, menimbulkan mual, muntah darah, dan diare. Radiasi ini menghancurkan sel-sel di dalam tubuh, termasuk sel darah, organ pencernaan, reproduksi, serta mengancam DNA dan RNA dari sel yang mampu bertahan.
- Dampak intens radioaktif sebesar 1.000-5.000 rad bisa langsung menyumbat pembuluh darah sehingga terjadi gagal jantung dan bisa berdampak pada kematian.
- Sel-sel otak akan rusak jika terpapar radiasi nuklir sebesar 5.000 rad atau lebih.
Bagaimana sobat pintar ? sudah paham atau belum? Yuk! klik menu diskusi!
Aktivitas Radiasi

Kegiatan peluruhan dengan melepas partikel radiasi memiliki ukuran, seberapa banyak partikel itu meluruh. Ukuran ini dinyatakan dengan aktivitas radiasi. Makin aktivitas, makin cepat kestabilan inti baru tercapai. Dinyatakan dengan rumus:
![]()

Aktivitas radioisotop (isotop radioaktif) tidak bersifat tetap dan akan makin melemah selama proses mencapai kestabilan. Melemahnya aktivitas dilukiskan dengan grafik di bawah.


Waktu Paruh

Karena aktivitas radiasi makin melemah seperti ilustrasi grafik, maka pada suatu kondisi tertentu akan mencapai nilai setengahnya. Waktu yang diperlukan untuk mencapai nilai setengah disebut sebagai waktu paruh (half time).
Jika dirumuskan maka waktu paruh dinyatakan dengan rumus:



Selanjutnya grafik melemahnya aktivitas juga dapat menunjukkan waktu paruh melalui analisis data yang ditampilkan, seperti grafik di atas. Dengan demikian dapat dirumuskan bahwa;

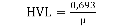
Daya Tembus

Sinar gamma merupakan sinar radioaktif yang memiliki daya tembus paling besar, karena ukurannya yang sangat kecil dan merupakan gelombang elektromagnetik. Ketika menembus bahan yang dilewati, intensitas (kekuatan) sinar gamma akan berkurang seiring jarak tembusnya. Tebal yang ditembus untuk mencapai nilai tengan disebut sebagai Half Value Layer (HVL).
Jika dirumuskan maka waktu paruh dinyatakan dengan rumus:

atau


1.
Kerjakan soal berikut ini dengan tepat!
Seorang ahli purbakala mendapatkan bahwa fosil kayu yang ditemukannya mengandung karbon radioaktif kira-kira tinggal 1/8 dari asalnya. Bila waktu paruh karbon radioaktif adalah 5600 tahun, umur fosil tersebut kira-kira…
A. 14.400 tahun
B. 16.800 tahun
C. 18.200 tahun
D. 19.200 tahun
E. 20.400 tahun
JAWABAN BENAR
B.
16.800 tahun
PEMBAHASAN

2.
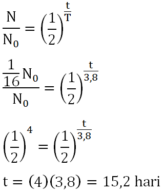
Kerjakan soal berikut ini dengan tepat!
Waktu paruh suatu unsur radioaktif 3,8 hari. Setelah berapa lama unsur tersebut tersisa 1/16 bagian?
A. 12,4 hari
B. 14,6 hari
C. 15,2 hari
D. 16,2 hari
E. 18,5 hari
JAWABAN BENAR
C.
15,2 hari
PEMBAHASAN

3.
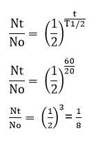
Kerjakan soal berikut ini dengan tepat!
Waktu paruh suatu unsur radioaktif diketahui sebesar 30 menit. Berapa bagian dari unsur radioaktif yang tersisa dalam waktu satu jam ?
A. 1/4 bagian
B. 1/8 bagian
C. 1/16 bagian
D. 1/18 bagian
E. 1/32 bagian
JAWABAN BENAR
B.
1/8 bagian
PEMBAHASAN

4.
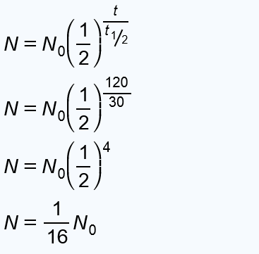
Kerjakan soal berikut ini dengan tepat!
Waktu paruh suatu unsur radiokatif diketahui sebesar 30 menit. Dalam waktu dua jam tentukan berapa bagian dari unsur radioaktif tersebut yang masih tersisa?
A. 1/16 dari radioaktif semula
B. 1/6 dari radioaktif semula
C. 1/16
D. 1/6
E. 16 dari radioaktif semula
JAWABAN BENAR
A.
1/16 dari radioaktif semula
PEMBAHASAN
Radioaktif yang tersisa adalah:

5.
Kerjakan soal berikut ini dengan tepat!
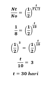
Suatu zat radioaktif meluruh dengan waktu paruh 10 hari. Agar zat radioaktif hanya tinggal 1/8 saja dari jumlah asalnya, maka diperlukan waktu....
A. 27,5 hari
B. 30 hari
C. 40 hari
D. 60 hari
E. 160 hari
JAWABAN BENAR
B.
30 hari
PEMBAHASAN

6.
Kerjakan soal berikut ini dengan tepat!
Perhatikan beberapa manfaat radioisotop berikut!
- Mempelajari kecepatan aliran sungai.
- Menyelidiki kebocoran pipa air bawah tanah.
- Mempelajari kesetimbangan dinamis.
- Mempelajari reaksi pengesteran
Manfaat dari radioisotop dalam bidang hidrologi ditunjukkan oleh angka …
A. 1 dan 2
B. 1 dan 3
C. 2 dan 3
D. 2 dan 4
E. 3 dan 4
JAWABAN BENAR
A.
1 dan 2
PEMBAHASAN
Bidang Hidrologi
- Mempelajari kecepatan aliran sungai.
- Menyelidiki kebocoran pipa air bawah tanah.
Bidang Biologis
- Mempelajari kesetimbangan dinamis.
- Mempelajari reaksi pengesteran.
7.
Kerjakan soal berikut ini dengan tepat!
Hitunglah aktivitas inti atom 10 gram 92U238 yang mempunyai waktu paruh T = 7,07x108 s!
A. 2,428x1013 Bq
B. 2,478x1013 Bq
C. 4,278x1013 Bq
D. 2,472x1013 Bq
E. 4,474x1013 Bq
JAWABAN BENAR
B.
2,478x1013 Bq
PEMBAHASAN

Oops!!!
Yah, jawaban kamu meleset nih. Ingin melihat pembahasan soal ini?
BENAR!!!
Selamat!
Jawaban kamu benar. Ingin lihat pembahasan soal ini?
footer_v3
Bersama Aku Pintar temukan jurusan kuliah yang tepat
sesuai minat dan bakatmu.
Aku Pintar memiliki visi membuat pendidikan merata, mudah dijangkau, dan terjangkau dengan Program Journey Pintar yang merupakan sebuah program persiapan lengkap bagi siswa SMA/SMK/sederajat yang ingin masuk ke perguruan tinggi impiannya.
Kontak Kami
Grand Slipi Tower Lt. 42
Jl. S. Parman Kav 22-24
Jakarta Barat
© 2024 Aku Pintar. All Rights Reserved