Belajar Pintar Materi SMP, SMA, SMK
BelajarPintarV3
Fisika
Inti Atom dan Radioaktivitas
MATERI
Reaksi Inti

Reaksi inti adalah proses perubahan yang terjadi di inti atom, karena reaksi ini inti atom dapat memancarkan zat radioaktif sehingga terbentuk inti atom baru. Perubahan itu karena peristiwa peluruhan, penggabungan, atau pecah akibat benturan.
Reaksi peluruhan menggambarkan berubahnya inti atom menjadi inti atom baru dengan memancarkan partikel radiasi. Persamaan reaksi peluruhan mudah dikenali dari bentuk perubahan inti atom seperti contoh berikut ini.
Peluruhan Alfa

Pada peluruhan alpha melepas dua proton dan dua neutron sekaligus.
Peluruhan Beta

Pada peluruhan beta terjadi perubahan neutron menjadi proton
Peluruhan Beta Positif

Pada peluruhan beta positif terjadi perubahan proton menjadi neutron
Peluruhan Sinar Gamma
![]()
Pada peluruhan gamma tidak ada proton atau neutron yang berubah. Biasanya peluruhan gamma bersamaan dengan peluruhan lainnya
Nah sekarang kita lanjut ke reaksi Fisi dan Fusi ya Sobat Pintar !
Reaksi fisi yaitu reaksi pembelahan inti atom berat menjadi dua inti atom lain yang lebih ringan dengan disertai timbulnya energi yang sangat besar.

Untuk membelah inti atom biasanya digunakan peluru neutron. Neutron dipilih karena tidak bermuatan listrik sehingga mampu menerobos masuk ke dalam inti tanpa hambatan elektrostatik oleh elektron di luar inti. Oleh karena itu bentuk reaksi fisi dicirikan adanya neutron di sisi kiri persamaan reaksi.
Berikut contoh reaksi fisi:
![]()
Reaksi fusi yaitu reaksi penggabungan dua inti atom ringan menjadi inti atom lain yang lebih berat dengan melepaskan energi. Reaksi fusi selalu terjadi setiap saat di Matahari, dimana neutron dan proton membentuk inti hidrogen dan Helium.

Contoh reaksi fusi dimana dua detron (1H2) bergabung membentuk Helium (2He4). Untuk selanjutnya Helium membentuk isotop baru dengan melepas netron. Persamaan reaksi dapat ditulis sebagai berikut
![]()
Reaksi nuklir (peluruhan, fisi, dan fusi) selalu menyertakan energi. Energi reaksi dihitung dengan kesetaran perubahan massa antara massa semula dengan massa sesudah kejadian. Jika ada selisih positif, maka reaksi menghasilkan energi, sedangkan selisihnya negatif, maka reaksi nuklir memerlukan energi.

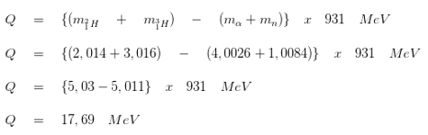
1.

A. 18,62 MeV
B. 17,69 MeV
C. 18,75 MeV
D. 19,43 MeV
E. 19,50 MeV
JAWABAN BENAR
B.
17,69 MeV
PEMBAHASAN

2.
Kerjakan soal berikut ini dengan tepat!

A. 4,289 MeV
B. 4,672 MeV
C. 5,589 MeV
D. 5,862 MeV
E. 6,242 MeV
JAWABAN BENAR
C.
5,589 MeV
PEMBAHASAN

3.
Perhatikan reaksi fisi berikut!

Hitunglah energi yang dibebaskan pada fisi 1 kg atom!
A. 4,66 x 1026 MeV
B. 5,46 x 1026 MeV
C. 7,24 x 1026 MeV
D. 8,26 x 1026 MeV
E. 9,28 x 1026 MeV
JAWABAN BENAR
A.
4,66 x 1026 MeV
PEMBAHASAN

4.
Kerjakan soal berikut ini dengan tepat!
Reaksi penggabungan dua inti atom ringan menjadi inti atom lain yang lebih berat dengan melepaskan energi disebut reaksi? …
A. Reaksi fisi
B. Reaksi fusi
C. Reaksi nuklir
D. Energi reaksi
E. Energi listrik
JAWABAN BENAR
B.
Reaksi fusi
PEMBAHASAN
Reaksi fusi yaitu reaksi penggabungan dua inti atom ringan menjadi inti atom lain yang lebih berat dengan melepaskan energi.
5.
Kerjakan soal berikut ini dengan tepat!
Perubahan apa yang terjadi ketika sebuah inti atom meluruh melepaskan sinar beta?
A. Neutron
B. Proton
C. Elektron
D. Neutron menjadi proton
E. Proton menjadi elektron
JAWABAN BENAR
D.
Neutron menjadi proton
PEMBAHASAN
Pada peluruhan beta terjadi perubahan neutron menjadi proton
Oops!!!
Yah, jawaban kamu meleset nih. Ingin melihat pembahasan soal ini?
BENAR!!!
Selamat!
Jawaban kamu benar. Ingin lihat pembahasan soal ini?
footer_v3
Bersama Aku Pintar temukan jurusan kuliah yang tepat
sesuai minat dan bakatmu.
Aku Pintar memiliki visi membuat pendidikan merata, mudah dijangkau, dan terjangkau dengan Program Journey Pintar yang merupakan sebuah program persiapan lengkap bagi siswa SMA/SMK/sederajat yang ingin masuk ke perguruan tinggi impiannya.
Kontak Kami
Grand Slipi Tower Lt. 42
Jl. S. Parman Kav 22-24
Jakarta Barat
© 2024 Aku Pintar. All Rights Reserved