Belajar Pintar Materi SMP, SMA, SMK
BelajarPintarV3
Fisika
Listrik Statis
MATERI
Kapasitor

Kapasitor berfungsi sebagai komponen elektronik yang digunakan untuk menyimpan muatan listrik. Kemampuan kapasitor untuk menyimpan muatan disebut dengan kapasitas kapasitor. Besarnya kapasitas dari suatu kapasitor dirumuskan sebagai berikut:

Keterangan:
C = kapasitas kapasitor (Farad)
q = muatan yang tersimpan (Coulomb)
V = beda potensial (Volt)
Kapasitor pada umumnya terdiri dari dua keping sejajar yang diletakkan berdekatan tetapi tidak saling bersentuhan.
-Rumusan kapasitas kapasitor jika tanpa bahan penyekat:

-Jika ada bahan penyekat/dielektrik:


Energi yang tersimpan di dalam kapasitor, bila suatu kapasitor diberi muatan adalah:

Keterangan:
W = Energy kapasitor (Joule)
Q = Muatan listrik kapasitor (Coulomb)
V = Beda potensial antara dua keping (Volt)
C = Kapasitas kapasitor (Farad)
1.
Kerjakan soal berikut ini dengan tepat!
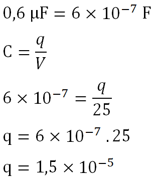
Pada suatu kapasitor mempunyai kapasitas yang besar yakni 0,6 Mikrofarad dan bermuatan dengan baterai berkapasitas 25 Volt. Maka berapakah besar muatan yang terdapat dalam Kapasitor tersebut?
A. 1,5 x 10-5
B. 2,5 x 10-5
C. 3,5 x 10-5
D. 4,5 x 10-5
E. 5,5 x 10-5
JAWABAN BENAR
A.
1,5 x 10-5
PEMBAHASAN

2.
Kerjakan soal berikut ini dengan tepat!
Lima buah kapasitor memiliki kapasitas yang sama, yaitu 3 Mikrofarad. Jika kelimanya disusun secara paralel lalu dihubungkan dengan beda potensial 4 volt, berapakah besarnya muatan listrik yang tersimpan di dalamnya?
A. 30 Mikrocoulomb
B. 40 Mikrocoulomb
C. 50 Mikrocoulomb
D. 60 Mikrocoulomb
E. 70 Mikrocoulomb
JAWABAN BENAR
D.
60 Mikrocoulomb
PEMBAHASAN
C1= C2 = C3 = C4 = C5 = 3 Mikrofarad
V = 4 volt
Ctotal = C1+ C2 + C3 + C4 + C5
= 3 + 3 + 3 + 3 + 3 = 15
q = C . V
q = 15 . 4
q = 60 Mikrocoloumb
3.
Kerjakan soal berikut ini dengan tepat!
Dua buah kapasitor masing-masing 6 Mikrofarad disusun seri dengan beda potensial 100 V. Berapa energi yang tersimpan dalam sistem tersebut?
A. 1,5 x 10-2
B. 2,5 x 10-2
C. 3,5 x 10-2
D. 4,5 x 10-2
E. 5,5 x 10-2
JAWABAN BENAR
A.
1,5 x 10-2
PEMBAHASAN
Kita cari dulu kapasitas kapasitor pengganti untuk rangkaian seri tersebut

Energi yang tersimpan dalam sistem:

4.
Kerjakan soal berikut ini dengan tepat!
Kemampuan kapasitor untuk menyimpan muatan disebut? …
A. Konstanta kapasitor
B. Kapasitas kapasitor
C. Kerangka kapasitor
D. Kualitas kapasitor
E. Kemampuan kapasitor
JAWABAN BENAR
B.
Kapasitas kapasitor
PEMBAHASAN
Kapasitor berfungsi sebagai komponen elektronik yang digunakan untuk menyimpan muatan listrik. Kemampuan kapasitor untuk menyimpan muatan disebut dengan kapasitas kapasitor.
5.
Kerjakan soal berikut ini dengan tepat!
Terdiri dari berapa kapasitor yang diletakan berdekatan tapi tidak saling bersentuhan?
A. satu keping sejajar
B. dua keping sejajar
C. tiga keping sejajar
D. empat keping sejajar
E. lima keping sejajar
JAWABAN BENAR
B.
dua keping sejajar
PEMBAHASAN
Kapasitor pada umumnya terdiri dari dua keping sejajar yang diletakkan berdekatan tetapi tidak saling bersentuhan.
Oops!!!
Yah, jawaban kamu meleset nih. Ingin melihat pembahasan soal ini?
BENAR!!!
Selamat!
Jawaban kamu benar. Ingin lihat pembahasan soal ini?
footer_v3
Bersama Aku Pintar temukan jurusan kuliah yang tepat
sesuai minat dan bakatmu.
Aku Pintar memiliki visi membuat pendidikan merata, mudah dijangkau, dan terjangkau dengan Program Journey Pintar yang merupakan sebuah program persiapan lengkap bagi siswa SMA/SMK/sederajat yang ingin masuk ke perguruan tinggi impiannya.
Kontak Kami
Grand Slipi Tower Lt. 42
Jl. S. Parman Kav 22-24
Jakarta Barat
© 2024 Aku Pintar. All Rights Reserved