Belajar Pintar Materi SMP, SMA, SMK
BelajarPintarV3
Fisika
Medan Magnetik
MATERI
Pengertian Medan Magnet


Gambar 1. Ilustrasi Medan Magnet ( Sumber: kompas.com )
Ketika serbuk besi ditaburkan di sekitar magnet,serbuk besi tersebut akan membentuk pola tertentu. Pola yang terbentuk tersebut menandakan adanya medan magnet. Paku-paku besi yang diletakkan dekat magnet akan ditarik oleh magnet. Kutub-kutub jarum kompas kedudukannya dapat berubah jika didekatkan pada magnet.
Medan magnet adalah ruang/daerah disekitar magnet yang masih dipengaruhi oleh gaya magnet tersebut. Medan magnet digambarkan dengan garis–garis gaya magnet, dan dinyatakan dengan anak panah.
Hal-hal yang perlu diperhatikan tentang garis-garis gaya magnet adalah:
- Garis-garis gaya magnet tidak pernah saling berpotongan.
- Garis-garis gaya magnet selalu keluar dari kutub utara magnet dan masuk ke kutub selatan magnet.
- Tempat yang garis-garis gaya magnetnya rapat menunjukkan medan magnetnya kuat, sebaliknya tempat yang garis-garis magnetiknya renggang menunjukkan medan magnetnya lemah.

Gambar 2. Garis garis gaya magnet ( sumber : Pustekkom Kemendikbud 2015 )
Besarnya medan magnet pada suatu titik dipengaruhi oleh :
- Besarnya gaya magnet yang dialami oleh titik tersebut.
- Berbanding terbalik dengan jarak titik terhadap sumber magnet.
Garis Gaya Magnetik

A. Klasifikasi Benda Magnetik
Berdasarkan sifat kemagnetannya, jenis bahan magnet secara umum terbagi menjadi dua, yaitu bahan magnetik (feromagnetik) dan bahan nonmagnetik.
- Bahan Magnetik (Feromagnetik)
Feromagnetik adalah benda yang dapat ditarik dengan kuat oleh magnet. Jika benda jenis feromagnetik berada dekat dengan magnet, magnet akan menarik benda tersebut. Selain itu, benda yang termasuk bahan feromagnetik dapat dijadikan suatu magnet. Contoh bahan feromagnetik adalah baja, besi, nikel, dan kobalt. - Bahan Nonmagnetik
- Paramagnetik adalah benda yang dapat ditarik dengan lemah oleh magnet kuat. Contohnya alumunium, tembaga, platina, dan lain-lain.
- Diamagnetik adalah benda yang menolak magnet. Benda ini tidak dapat ditarik sama sekali oleh magnet meski berada sangat dekat dengan magnet yang kuat. Contoh benda diamegnetik adalah emas, seng, merkuri, dan lainnya.
B. Sifat sifat benda magnetik
Apa yang membedakan magnet dengan benda lain? Tentu saja ada sifat unik yang dimiliki magnet itu, apa sajakah itu?
- Magnet bisa menarik benda tertentu
Magnet hanya menarik benda tertentu di sekitarnya, jadi tidak semua benda bisa ditarik magnet meskipun benda tersebut ada disekitarnya. Ada bahan-bahan tertentu yang bisa ditarik magnet . Bahan-bahan tersebut jenis logam. Tapi, tak semua logam bisa ditarik magnet, tergantung jenisnya. Kemudian ada logam yang tertarik begitu kuat , namun ada juga yang lemah. - Magnet memiliki dua kutub
Magnet memiliki dua kutub yaitu kutub positif dan kutub negatif. Kedua Kutub letaknya di ujung. Disitulah kekuatan magnet begitu kuat. Eits tapi jangan berharap akan menemukan tulisan utara dan selatan ya. Kutub utara magnet akan selalu menghadap ke arah utara bumi, dan kutub selatan magnet akan selalu menghadap ke arah selatan bumi.
Hm.. mengapa kutub magnet selalu mengarah ke utara dan selatan?
Jawabannya adalah karena pengaruh medan magnet Bumi yang kuat. Medan magnet Bumi ditemukan pada tahun 1600 oleh seorang William Gilbert, ilmuwan saintis paling terkemuka di Inggris. Gilbert berteori bahwa Bumi berfungsi sebagai batang magnet raksasa yang memengaruhi semua benda magnet di Bumi. - Kutub yang berbeda akan saling menarik, kutub yang sama akan saling menolak.
Jika kutub sejenis didekatkan maka akan terjadi gaya tolak menolak, sementara jika kutubnya berlawanan akan terjadi tarik menarik. Misalkan kita dekatkan kutub utara dengan utara, maka kedua magnet akan saling menolak. Namun jika kita dekatkan kutub utara dan selatan, maka akan terjadi gaya tarik menarik. Kalau kita menggunakan magnet alami dan saat mendekatkan kedua ujung ternyata saling menolak maka bisa kita simpulkan kutub mereka berbeda, sementara jika saling menarik , yakinlah bahwa kutubnya berbeda. - Gaya magnet bisa menembus penghalang.
Magnet memiliki gaya yang dapat menembus benda. Jadi meskipun ada logam yang terhalang oleh kaca atau kertas, namun logam tersebut tetap terkena gaya magnet. Jadi bukan sulap bukan sihir ya kalo magnet tetap bisa menarik logam meskipun terhalang. Untuk membuktikan, coba saja kita taburkan serbuk besi di atas kertas lalu kita taruh magnet di balik kertas. Meskipun terhalang kertas, namun serbuk besi akan bergerak seiring magnet digerakan. Mau digerakkan ke atas,ke bawah ke kanan dan ke kiri serbuk besi akan mengikuti.
Induksi Magnetik

Dari definisi medan magnet diatas kita bisa simpulkan bahwa adalah daerah disekitar magnet yang masih terpengaruh oleh gaya magnet. Ternyata medan magnet juga dapat dihasilkan dari arus listrik.

Sumber : https://id.wikipedia.org/
Medan magnet di sekitar kawat berarus listrik ditemukan secara tidak sengaja oleh Hans Christian Oersted (1770-1851), ketika akan memberikan kuliah bagi mahasiswa. Oersted menemukan bahwa di sekitar kawat berarus listrik magnet jarum kompas akan bergerak (menyimpang). Penyimpangan magnet jarum kompas akan makin besar jika kuat arus listrik yang mengalir melalui kawat diperbesar. Arah penyimpangan jarum kompas bergantung arah arus listrik yang mengalir dalam kawat. Gejala itu terjadi jika kawat dialiri arus listrik. Jika kawat tidak dialiri arus listrik, medan magnet tidak terjadi sehingga magnet jarum kompas tidak bereaksi.
Perubahan arah arus listrik ternyata juga mempengaruhi perubahan arah penyimpangan jarum kompas. Perubahan jarum kompas menunjukkan perubahan arah medan magnet.

A. Induksi Magnet Pada Kawat Lurus Berarus Listrik
Sebuah kawat lurus yang dialiri arus listrik akan menimbulkan induksi magnet dengan arah sesuai dengan kaidah tangan kanan. Untuk menunjukkan arah induksi magnet di sekitar kawat lurus berarus listrik, genggamlah kawat dengan tangan kanan dengan ibu jari terbuka. Sesuai dengan kaidah tangan kanan, arah ibu jari menunjukkan arah arus listrik,sedangkan arah keempat jari yang lain menunjukkan arah medan magnet, seperti terlihat pada gambar berikut :

Bagaimana dengan besar induksi magnetnya?

Bagaimana kalau kawatnya lebih dari satu misalnya N buah kawat, maka persamaannya menjadi:

Keterangan :

B. Magnet Pada Kawat Melingkar Berarus Listrik
Sebuah kawat melingkar yang dialiri arus listrik akan menimbulkan induksi magnet dengan arah sesuai dengan kaidah tangan kanan. Untuk menunjukkan arah induksi magnet di sekitar kawat lurus berarus listrik, genggamlah kawat dengan tangan kanan dengan ibu jari terbuka. Sesuai dengan kaidah tangan kanan, arah ibu jari menunjukkan arah induksi magnet, sedangkan arah keempat jari yang lain menunjukkan arah arus listrik, seperti terlihat pada gambar berikut:

Bagaimana dengan besar induksi magnetnya?

Bagaimana kalau kawatnya lebih dari satu misalnya N buah kawat, maka persamaannya menjadi:

Keterangan :

C. Induksi Magnet Pada Solenoida berarus
Medan magnet yang kuat di sekitar arus listrik, dapat dibuat dengan lilitan kawat membentuk kumparan. Kumparan seperti ini disebut solenoida. Solenoida memiliki sifat yang sama dengan magnet batang,yaitu mempunyai kutub utara dan kutub selatan. Arahnya dapat ditentukan dengan kaidah tangan kanan. Jika kita menggenggam solenoid dengan tangan kanan dengan ibu jari terbuka, arah ibu jari menunjukkan arah induksi magnet (arah utara) dan arah keempat jari lainnya merupakan arah arus listriknya.

Sumber : slideshare.net
Besar induksi magnet pada solenoida dapat ditentukan pada pusat dan ujung solenoid. Pada gambar berikut titik o adalah titik pusat solenoid dan titik p adalah titik ujung solenoida.

Sumber : malabeka.blogspot.com
a. Besar Induksi Magnet Pada Pusat Solenoida

b. Besar Induksi Magnet Pada Ujung Solenoida

Keterangan :

D. Induksi Magnet Pada Toroida
Toroida adalah kumparan yang dilekuk sehingga membentuk lingkaran. Jika toroida dialiri arus listrik, maka akan timbul garis-garis medan magnet berbentuk lingkaran di dalam toroida.

Sumber : zenius.net
Besar induksi magnet pada toroida dapat ditentukan dengan persamaan

Keterangan :

1.
Kerjakan soal berikut ini !
Benda yang dapat ditarik dengan kuat oleh magnet disebut dengan ...
A. Bahan Magnetik
B. Feromagnetik
C. Paramagnetik
D. Diamagnetik
E. Non magnetik
JAWABAN BENAR
B.
Feromagnetik
PEMBAHASAN
- Bahan magnetik : benda-benda yang ditarik oleh magnet
- Feromagnetik : benda-benda yang ditarik dengan kuat oleh magnet seperti: besi, baja, kobalt, dan nikel
- Paramagnetik : benda-benda yang ditarik lemah oleh magnet, seperti : magnesium, lithium
- Diamagetik : benda-benda yang tidak ditarik oleh magnet (sebagian sumber mengatakan ditolak lemah) seperti: perak, emas, tembaga, bismut
2.
Kerjakan soal berikut ini !
Penyebab jarum kompas yang selalu menunjukkan arah utara-selatan adalah ....
A. Di utara dan di selatan ada magnet yang terbesar
B. Untuk memudahkan penentuan arah angin
C. Ada tarikan dari kutub-kutub bumi
D. Ada tarikan oleh kutub-kutub magnet bumi
E. Terdapat baterai didalam kompas
JAWABAN BENAR
D.
Ada tarikan oleh kutub-kutub magnet bumi
PEMBAHASAN
Di dalam bumi terdapat magnet bumi dengan posisi seperti gambar di atas, kutub utara magnet bumi berada di bagian kutub selatan geografis bumi (di bawah) sedangkan kutub selatan magnet bumi berada di bagian kutub utara geografis bumi (di atas). Kutub utara jarum kompas akan tertarik kutub selatan magnet bumi sehingga selalu menunjukkan arah utara dan selatan
3.
Kerjakan soal berikut ini !
Daerah di sekitar magnet yang masih dipengaruhi oleh gaya magnet disebut ….
A. Gaya magnet
B. Induksi magnet
C. Kutub magnet
D. Medan magnet
E. Fluks magnet
JAWABAN BENAR
D.
Medan magnet
PEMBAHASAN
Medan magnet adalah ruang/daerah disekitar magnet yang masih dipengaruhi oleh gaya magnet tersebut. Medan magnet digambarkan dengan garis–garis gaya magnet, dan dinyatakan dengan anak panah.
4.
Kerjakan soal berikut ini !
Pernyataan berikut yang sesuai dengan teori medan magnet adalah.. Kecuali..
A. Garis-garis gaya magnet tidak pernah saling berpotongan.
B. Garis-garis gaya magnet selalu keluar dari kutub utara magnet dan masuk ke kutub selatan magnet.
C. Tempat yang garis-garis gaya magnetnya rapat menunjukkan medan magnetnya kuat, sebaliknya tempat yang garis-garis magnetiknya renggang menunjukkan medan magnetnya lemah
D. Besarnya medan magnet pada suatu titik dipengaruhi oleh besarnya gaya magnet yang dialami oleh titik tersebut.
E. Besarnya medan magnet berbanding lurus dengan jarak titik terhadap sumber magnet.
JAWABAN BENAR
E.
Besarnya medan magnet berbanding lurus dengan jarak titik terhadap sumber magnet.
PEMBAHASAN
Pernyataan pada ops E salah, dikarenakan besarnya medan magnet berbanding terbalik degan jarak titik pada dengan jarak titik terhadap sumber magnet. Hal tersebut sesuai dengan rumus :

5.
Kerjakan soal berikut dengan benar!

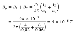
Dua kawat sejajar terpisah sejauh 8 cm, dialiri arus listrik seperti pada gambar diatas. Besar dan arah arus induksi magnteik pada titik P adalah….
A. 4×10-5 W/m2 menembus bidang
B. 5×10-5 W/m2 menembus bidang
C. 6×10-5 W/m2 menembus bidang
D. 7×10-5 W/m2 menembus bidang
E. 8×10-5 W/m2 menembus bidang
JAWABAN BENAR
A.
4×10-5 W/m2 menembus bidang
PEMBAHASAN
Berdasarkan kaidah tangan kanan, kawat yang berarus 4A arah induksi magnetiknya masuk B1 masuk bidang. Dan kawat yang berarus 6A arah induksi magnetiknya masuk B2 masuk bidang. Sehingga bisa dirumuskan :

Sehingga, Besar dan arah arus induksi magnteik pada titik P adalah 4×10-5 T dan menembus bidang ( sesuai dengan kaidah tangan kanan ).
Oops!!!
Yah, jawaban kamu meleset nih. Ingin melihat pembahasan soal ini?
BENAR!!!
Selamat!
Jawaban kamu benar. Ingin lihat pembahasan soal ini?
footer_v3
Bersama Aku Pintar temukan jurusan kuliah yang tepat
sesuai minat dan bakatmu.
Aku Pintar memiliki visi membuat pendidikan merata, mudah dijangkau, dan terjangkau dengan Program Journey Pintar yang merupakan sebuah program persiapan lengkap bagi siswa SMA/SMK/sederajat yang ingin masuk ke perguruan tinggi impiannya.
Kontak Kami
Grand Slipi Tower Lt. 42
Jl. S. Parman Kav 22-24
Jakarta Barat
© 2024 Aku Pintar. All Rights Reserved