Belajar Pintar Materi SMP, SMA, SMK
BelajarPintarV3
Kimia
Polimer Makromolekul
MATERI
Definisi Polimer

Suatu polimer adalah rantai berulang dari atom yang panjang, terbentuk dari pengikat yang berupa molekul identik yang disebut monomer. Sekalipun biasanya merupakan organik (memiliki rantai karbon), ada juga banyak polimer inorganik.
Contoh terkenal dari polimer adalah plastik dan DNA.
Kata polimer berasal dari bahasa Yunani, yaitu poly dan meros. Poly berarti banyak dan meros berarti unit suatu bagian. Jadi polimer adalah makromolekul (molekul raksasa) yang tersusun dari monomer yang merupakan molekul yang kecil dan sederhana.

Polimer didefinisikan sebagai substansi yang terdiri dari molekul-molekul yang menyertakan rangkaian satu atau lebih dari satu unit monomer.
Penggolongan Polimer

Polimer dapat dibedakan menjadi beberapa golongan, yaitu:
Berdasarkan Asalnya
- Polimer alam adalah polimer yang terbentuk secara alami di dalam tubuh makhluk hidup.
Contoh: karbohidrat, protein, DNA, karet alam. - Polimer sintetis adalah polimer yang tidak terdapat di alam, tetapi disintesis dari monomer-monomernya dalam reaktor.
Contoh: plastik, karet sintetis, serat sintetis.
Berdasarkan Jenis Monomernya
- Homopolimer adalah polimer yang tersusun dari monomer-monomer yang sama atau sejenis.
Contoh: PVC, protein, karet alam, polivinil asetat (PVA), polistirena, amilum, selulosa, dan teflon. - Kopolimer adalah polimer yang tersusun dari monomer-monomer yang berlainan jenis.
Contoh: nilon 6,6, bakelit, kevlar, dakron, PET.
Berdasarkan Sifat terhadap Pemanasan atau Sifat Kekenyalannya
- Termoplastik adalah polimer yang bersifat kenyal atau liat jika dipanaskan dan dapat dibentuk menurut pola yang diinginkan. Setelah dingin, polimer menjadi keras dan kehilangan sifat kekenyalannya.
Contoh: polietilena, PVC, seluloid, polistirena, polipropilena, asetal, vinil, nilon dan Perspex. - Termosetting adalah polimer yang bersifat kenyal saat dipanaskan, tetapi setelah dingin tidak dapat dilunakkan kembali. Jika pecah, polimer tersebut tidak dapat disambungkan kembali dengan pemanasan.
Contoh: bakelit, uretana, epoksi, polyester, dan formika.
Reaksi-reaksi Pembentukan Polimer

Polimer terbentuk akibat adanya suatu reaksi polimerisasi
Reaksi polimerisasi yaitu reaksi penggabungan sejumlah monomer menjadi polimer. Polimerisasi dibedakan menjadi dua macam sebagai berikut.
Polimerisasi adisi
adalah reaksi pembentukan polimer dari monomer-monomer yang berikatan rangkap menjadi ikatan tunggal. Polimerisasi adisi dibedakan menjadi dua sebagai berikut:
- Polimerisasi adisi alami
Polimerisasi adisi alami misalnya pembentukan karet alam atau poliisoprena. Monomernya berupa isoprene atau senyawa 2-metil-1,3-butadiena. - Polimerisasi adisi sintesis
Contoh : pembentukan PVC, polipropena, Teflon, polifenil etena atau polistirena, dan polietilena.
Contoh adisi homopolimer:
- Polietena/polietilena (PE)
Monomer: etena/etilena.

- Polivinilklorida (PVC)
Monomer: vinilklorida (1-kloroetena).

- Poliisoprena (karet alam)
Monomer: isoprena (2-metil-1,3-butadiena).

- Neoprena/polikloroprena
Monomer: neoprena (2-kloro-1,3-butadiena).

- Teflon/politetrafluoroetena
Monomer: 1,1,2,2-tetrafluoroetena.

- Orlon/poliakrilonitril
Monomer: akrilonitril.

- Flexiglass/polimetilmetakrilat (PMMA)
Monomer: metilmetakrilat.

Contoh adisi kopolimer:
- Karet stirena butadiena (SBR)
Monomer: 1,3-butadiena dan stirena.

Polimerisasi kondensasi
yaitu reaksi yang terjadi jika dua atau lebih monomer sejenis atau berbeda jenis bergabung membentuk molekul besar sambil melepaskan molekul-molekul kecil seperti H2O, NH3, dan HCl. Polimerisasi kondensasi dibagi menjadi dua sebagai berikut:
- Polimerisasi kondensasi alami
Contoh : pembentukan selulosa, amilum dan protein. - Polimerisasi kondensasi sintesis
Contoh : pembentukan nilon, tetoron, bakelit, dan urea-metanal.
Contoh kondensasi homopolimer:
- Polisakarida/karbohidrat (amilum/selulosa/glikogen)
Monomer: glukosa.

- Protein/polipeptida
Monomer: asam amino.

Contoh kondensasi kopolimer:
- Nilon 6,6
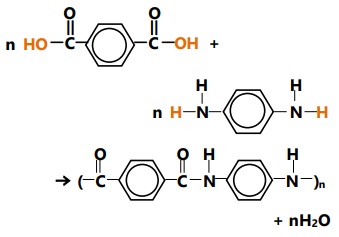
Monomer: asam adipat (asam 1,6- heksandioat) dan heksametilendiamin.

- Bakelit
Monomer: fenol dan formaldehida (metanal).

- Kevlar
Monomer: asam tereftalat dan fenilendiamin (1,4-diaminobenzena).

- Dakron/terilen
Monomer: dimetil tereftalat dan etilen glikol.

Sifat Fisik Polimer

Sifat fisik polimer dipengaruhi beberapa faktor sebagai berikut:
- Panjang rata-rata rantai polimer
Kekuatan dan titik leleh naik dengan bertambah panjangnya rantai polimer. - Gaya antarmolekul
Jika gaya antar molekul pada rantai polimer besar maka polimer akan menjadi kuat dan sukar meleleh. - Percabangan
Rantai polimer yang bercabang banyak memiliki daya tegangan rendah dan mudah meleleh. - Ikatan silang antar rantai polimer
Ikatan silang antar rantai polimer menyebabkan terjadinya jaringan yang kaku dan membentuk bahan yang keras. Jika ikatan silang semakin banyak maka polimer semakin kaku dan mudah patah. - Sifat kristalinitas rantai polimer
Polimer berstruktur tidak teratur memiliki kristalinitas rendah dan bersifat amorf (tidak keras). Sedangkan polimer dengan struktur teratur mempunyai kristalinitas tinggi sehingga lebih kuat dan lebih tahan terhadap bahan-bahan kimia dan enzim.
Polimer dalam Kehidupan Sehari-hari

Polimer dan fungsinya dalam kehidupan sehari-hari antara lain:
- Biomolekul

- Karet alam dan sintetis

- Plastik, serat sintetis dan lain-lain

1.
Kerjakan soal berikut dengan tepat!
Berikut ini yang merupakan pasangan polimer sintetik adalah…
A. PVC dan Protein
B. PVC dan nilon
C. Karet dan amilum
D. poliester dan isoprena
E. Isoprena dan polistirena
JAWABAN BENAR
B.
PVC dan nilon
PEMBAHASAN
- polimer alam (protein, karet, dan amilum)
- polimer sintetik (PVC dan nilon)
2.
Kerjakan soal berikut dengan tepat!
Berikut tabel data polimer dan monomer pembentuknya

Pasangan polimer yang terbentuk melalui proses adisi adalah...
A. 1 dan 2
B. 1 dan 3
C. 2 dan 3
D. 2 dan 5
E. 4 dan 5
JAWABAN BENAR
C.
2 dan 3
PEMBAHASAN
Polimer adisi adalah penggabungan monomer-monomer dengan tidak ada molekul sisa.
- polietilena, monomernya etena
- PVC, monomernya Vinilklorida
3.
Kerjakan soal berikut dengan tepat!
Berikut ini yang termasuk polimer alam adalah....
A. Nilon
B. Teflon
C. Pati
D. Plastik
E. Stirena
JAWABAN BENAR
C.
Pati
PEMBAHASAN
Pati atau amilum merupakan golongan karbohidrat yang termasuk dalam polimer alam.
4.
Kerjakan soal berikut dengan tepat!
Contoh polimer kondensasi adalah....
A. Polivinil klorida
B. Poliester
C. Teflon
D. Polistirena
E. Polietena
JAWABAN BENAR
B.
Poliester
PEMBAHASAN
Berdasarkan reaksi pembentukannya, polimer dibedakan atas 2, yaitu :
- Polimer adisi adalah polimer yang monomernya mempunyai ikatan rangkap, kemudian ikatan rangkapnya terbuka lalu berikatan membentuk polimer yang berikatan tunggal.
Contoh : Polivinil Klorida, Teflon, Polistirena, Polietena, Poliisoprena - Polimer kondensasi adalah polimer yang monomernya mempunyai dua gugus fungsi pada kedua ujung rantainya kemudian saling berikatan sambil melepas molekul kecil.
Contoh : nilon, dakron (poliester), bakelit
5.
Kerjakan soal berikut dengan tepat!
Berikut merupakan pernyataan yang tidak tepat mengenai polimer kondensasi ialah....
A. Bakelit adalah polimer dari fenol dengan formaldehida
B. Urea formaldehida adalah polimer dari urea dengan formaldehid
C. Nilon 6.6 adalah dari heksanadiol diklorida dengan 1,6 diamino heksana
D. Dakron adalah poliester yang berasal dari dimetil tereftalat dengan etilen glikol
E. Polistirena adalah polimer dari stirena
JAWABAN BENAR
E.
Polistirena adalah polimer dari stirena
PEMBAHASAN
Polistirena merupakan polimer plastik sintesis yang mana polistiren ialah polimerisasi adisi.
6.
Kerjakan soal berikut dengan tepat!
Plastik lentur yang banyak digunakan sebagai alat rumah tangga biasanya dibuat dari plastik …
A. Teflon
B. Polivinil klorida
C. Polistirena
D. Polipropena
E. Polietena
JAWABAN BENAR
E.
Polietena
PEMBAHASAN
Polietena digunakan sebagai polimer plastik yang sifatnya liat, lentur
7.
Kerjakan soal berikut dengan tepat!
Beberapa polimer sebagai berikut :
- Amilum
- Teflon
- Asam Nukleat
- Selulosa
- Dakron
Polimer yang merupakan polimer sintesis adalah ….
A. 1 dan 2
B. 2 dan 3
C. 3 dan 4
D. 4 dan 5
E. 2 dan 5
JAWABAN BENAR
E.
2 dan 5
PEMBAHASAN
Polimer sintetis atau polimer tiruan adalah polimer yang tidak terdapat di alam tetapi dibuat oleh manusia. Contoh : PVC , Teflon, Dakron, Nilon
Oops!!!
Yah, jawaban kamu meleset nih. Ingin melihat pembahasan soal ini?
BENAR!!!
Selamat!
Jawaban kamu benar. Ingin lihat pembahasan soal ini?
footer_v3
Bersama Aku Pintar temukan jurusan kuliah yang tepat
sesuai minat dan bakatmu.
Aku Pintar memiliki visi membuat pendidikan merata, mudah dijangkau, dan terjangkau dengan Program Journey Pintar yang merupakan sebuah program persiapan lengkap bagi siswa SMA/SMK/sederajat yang ingin masuk ke perguruan tinggi impiannya.
Kontak Kami
Grand Slipi Tower Lt. 42
Jl. S. Parman Kav 22-24
Jakarta Barat
© 2024 Aku Pintar. All Rights Reserved