Belajar Pintar Materi SMP, SMA, SMK
BelajarPintarV3
Matematika Wajib
Statistika
MATERI
Kuartil


Source : id.lovepik.com
Wahhh, terlihat belasan orang sedang berbaris menuju ke loket ya, Sobat. Dari sekumpulan orang yang sedang berbaris tersebut, menurut Sobat orang yang menggunakan baju apa yaa yang berada di urutan tengah?
Kali ini, pembahasan kita berhubungan dengan letak atau urutan lohh, Sobat.
Setelah sebelumnya kita mempelajari tentang penyajian data dan ukuran pemusatan data, selanjutnya kita akan belajar tentang ukuran letak data. Ukuran letak data itu ada 3 loh Sobat Pintar. Apa saja ya? Ada Kuartil, Desil, dan juga Persentil. Kita bahas satu per satu yuk, Sobat!
Kuartil
Kuartil adalah nilai yang membagi data yang telah diurutkan menjadi empat bagian yang sama banyak. Karena membagi menjadi empat bagian sama banyak, artinya terdapat 3 nilai kuartil, yaitu Kuarti Bawah (Q1), Kuartil Tengah (Q2), dan Kuartil Atas (Q3).
Kuartil dapat digambarkan sebagai berikut:

- Kuartil Data Tunggal
Untuk data tunggal, kuartil dapat dirumuskan sebagai berikut:


- Kuartil Data Kelompok
Untuk data kelompok, kuartil dapat dirumuskan sebagai berikut:


Desil

Sobat Pintar, setelah kita membahas kuartil, selanjutnya ada ukuran letak data yang kedua yaitu desil. Menurut Sobat, Desil itu apa yaaa??
Desil
Desil adalah adalah nilai yang membagi data menjadi sepuluh bagian sama banyak setelah nilai-nilai data tersebut diurutkan. Karena Desil membagi data menjadi sepuluh bagian sama banyak, artinya terdapat 9 nilai desil ya, Sobat!
- Desil Data Tunggal
Untuk data tunggal, desil dapat dirumuskan sebagai berikut:


- Desil Data Kelompok
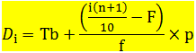
Untuk data kelompok, desil dapat dirumuskan sebagai berikut:


Persentil

Nah, sekarang kita akan membahas ukuran letak data yang ketiga, yaitu Persentil. Menurut Sobat, Persentil itu apa yaaa?
Persentil
Persentil adalah nilai yang membagi data menjadi seratus bagian yang sama banyak setelah nilai-nilai data tersebut diurutkan. Karena persentil membagi data menjadi seratus bagian sama banyak, artinya terdapat 99 nilai persentil ya, Sobat!
Perbedaan persentil, kuartil dengan desil terlihat pada pembagian datanya. Jika kuartil membagi data menjadi empat bagian sama banyak, desil membagi data menjadi sepuluh bagian sama banyak dan persentil membagi data menjadi seratus bagian sama banyak yaa, Sobat!
- Persentil Data Tunggal
Untuk data tunggal, persentil dapat dirumuskan sebagai berikut:

- Persentil Data Kelompok
Untuk data kelompok, persentil dapat dirumuskan sebagai berikut:

1.
Perhatikan tabel di bawah ini!

Nilai kuartil atas dari data tersebut adalah ....
A. 37
B. 37,3
C. 37,5
D. 38
E. 38,5
JAWABAN BENAR
B.
37,3
PEMBAHASAN
Kita cari letak data Kuartil atas (Q3) terlebih dahulu dengan jumlah data ada sebanyak 40

Lengkapi tabel pada soal dengan kolom frekuensi kumulatif (fk)

Kuartil Atas terletak pada data ke 30, artinya terletak pada interval 33 – 40
Diketahui :
Tb = 33 – 0,5 = 32,5
fk = 27
f = 5
p = 8
Dengan demikian, diperoleh:

Jadi, nilai kuartil atas dari data adalah 37,3
2.
Perhatikan tabel berikut!

Nilai kuartil bawah dari data pada tabel di atas adalah ....
A. 59,50
B. 60,00
C. 60,50
D. 60,75
E. 61,75
JAWABAN BENAR
A.
59,50
PEMBAHASAN
Kita cari letak data Kuartil bawah (Q1) terlebih dahulu dengan jumlah data ada sebanyak 40

Lengkapi tabel pada soal dengan kolom frekuensi kumulatif (fk)

Kuartil bawah terletak pada data ke 10, artinya terletak pada interval 55 – 59
Diketahui :
Tb = 55 – 0,5 = 54,5
fk = 4
f = 6
p = 5
Dengan demikian, diperoleh:

Nilai kuartil bawah dari data pada tabel di atas adalah 59,5
3.
Perhatikan tabel distribusi frekuensi berikut!

Desil ke 6 dari data tersebut adalah ....
A. 137,2167
B. 137,4167
C. 138,2167
D. 138,4167
E. 138,8167
JAWABAN BENAR
D.
138,4167
PEMBAHASAN
Kita cari letak data Desil ke 6 terlebih dahulu dengan jumlah data ada sebanyak 40

Lengkapi tabel pada soal dengan kolom frekuensi kumulatif (fk)

Desil ke 6 terletak pada data ke 24, artinya terletak pada interval 136 – 140
Diketahui :
Tb = 136 – 0,5 = 135,5
fk = 17
f = 12
p = 5
Dengan demikian, diperoleh:

Desil ke 6 dari data tersebut adalah 138,4167
4.
Perhatikan tabel yang berisi upah dari sejumlah karyawan disajikan dalam tabel distribusi frekuensi di bawah ini!

Nilai persentil ke-70 data tersebut adalah ....
A. Rp 1.270.000,00
B. Rp 1.340.000,00
C. Rp 1.405.000,00
D. Rp 1.475.000,00
E. Rp 1.625.000,00
JAWABAN BENAR
D.
Rp 1.475.000,00
PEMBAHASAN
Perhatikan tabel berikut!


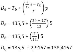
Tepi bawah kelas persentil ke-70, L0 = 141 - 0,5 = 140,5
Lebar kelas c = 7
Frekuensi kumulatif sebelum kelas persentil ke-70, Fk = 40
Frekuensi kelas persentil ke-70, f = 30
Lalu, akan diperoleh:

Nilai persentil ke-70 data tersebut adalah 1.475.000,00
5.
Perhatikan tabel yang berisi nilai ujian siswa berikut ini!

Nilai persentil ke-60 adalah ....
A. 38,25
B. 42,25
C. 53,25
D. 59,25
E. 61,25
JAWABAN BENAR
C.
53,25
PEMBAHASAN
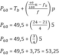
Kita cari letak data Persentil ke 60 terlebih dahulu dengan jumlah data ada sebanyak 40

Lengkapi tabel pada soal dengan kolom frekuensi kumulatif (fk)

Persentil ke 60 terletak pada data ke 24, artinya terletak pada interval 50 – 54
Diketahui :
Tb = 50 – 0,5 = 49,5
fk = 21
f = 4
p = 5
Dengan demikian, diperoleh:

Nilai persentil ke-60 adalah 53,25
6.
Perhatikan tabel nilai akhir dari suatu ujian berikut!

Nilai desil ke 7 akan sama dengan ....
A. 69
B. 69,5
C. 70
D. 70,5
E. 71
JAWABAN BENAR
C.
70
PEMBAHASAN
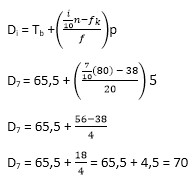
Pertama, kita cari dahulu letak nilai desil ke 7 dengan jumlah data nya ada sebanyak 80

Lengkapi tabel pada soal dengan kolom frekuensi kumulatif (fk)

Desil ke 7 terletak pada data ke 56, artinya terletak pada interval 66 – 70
Diketahui :
Tb = 66 – 0,5 = 65,5
fk = 38
f = 20
p = 5
Dengan demikian, diperoleh:

Jadi, desil ke 7 dari data tersebut adalah 70
7.
Perhatikan tabel berikut!

Kuartil bawah dari data diatas adalah ....
A. 103,125
B. 103,250
C. 103,375
D. 103,500
E. 103,625
JAWABAN BENAR
E.
103,625
PEMBAHASAN
Kita cari letak data Kuartil bawah (Q1) terlebih dahulu dengan jumlah data ada sebanyak 25

Lengkapi tabel pada soal dengan kolom frekuensi kumulatif (fk)

Kuartil bawah terletak pada data ke 6,25 artinya terletak pada interval 101 – 115
Diketahui :
Tb = 101 – 0,5 = 100,5
fk = 5
f = 6
p = 15
Dengan demikian, diperoleh:

Nilai kuartil bawah dari data pada tabel di atas adalah 103,625
Oops!!!
Yah, jawaban kamu meleset nih. Ingin melihat pembahasan soal ini?
BENAR!!!
Selamat!
Jawaban kamu benar. Ingin lihat pembahasan soal ini?
footer_v3
Bersama Aku Pintar temukan jurusan kuliah yang tepat
sesuai minat dan bakatmu.
Aku Pintar memiliki visi membuat pendidikan merata, mudah dijangkau, dan terjangkau dengan Program Journey Pintar yang merupakan sebuah program persiapan lengkap bagi siswa SMA/SMK/sederajat yang ingin masuk ke perguruan tinggi impiannya.
Kontak Kami
Grand Slipi Tower Lt. 42
Jl. S. Parman Kav 22-24
Jakarta Barat
© 2024 Aku Pintar. All Rights Reserved