Belajar Pintar Materi SMP, SMA, SMK
BelajarPintarV3
Matematika Wajib
Statistika
MATERI
Mean (Rata-Rata)


Sumber: republika.co.id
Pada gambar diatas, terlihat siswa sekolah dasar yang sedang berbaris dan terdiri dari berbagai macam tinggi badan ya, sobat! Siswa sekolah dasar memiliki bervariasi tinggi, dari yang paling depan terlihat paling pendek sampai dengan yang paling belakang terlihat semakin tinggi. Menurut Sobat, berapa rata-rata tinggi dari siswa sekolah dasar yang sedang berbaris?
Setelah kita mempelajari mengenai penyajian data, selanjutnya kita akan belajar tentang ukuran pemusatan data. Terdapat 3 ukuran pemusatan data dalam statistika yaitu mean (rata-rata), median (nilai tengah), dan modus (nilai yang sering muncul).
Pertama, kita akan membahas tentang mean (rata-rata)! Menurut sobat, rata-rata itu apa sihhh??
Rata-rata adalah perbandingan antara jumlah data dengan banyak data. Istilah rata-rata juga bisa disebut dengan mean dengan lambang 
Rata-rata data tunggal dan rata-rata data kelompok dirumuskan sebagai berikut.
Rata-Rata Data Tunggal
Suatu data terdiri dari x1, x2, x3, … , xn, maka untuk rumus rata-rata dapat dirumuskan sebagai berikut:


Suatu data disajikan dalam bentuk tabel distribusi frekuensi, maka rumus rata-rata dapat dirumuskan sebagai berikut:


Rata-Rata Data Berkelompok
Rata-rata untuk data berkelompok sama dengan rata-rata data pada distribusi frekuensi tunggal yaitu dengan mengambil titik tengah atau nilai tengah setiap kelas sebagai xi. Rata-Rata data berkelompok dapat dirumuskan sebagai berikut:


Median (Nilai Tengah)

Selanjutnya, kita akan belajar bersama mengenai Median. Apa itu median?
Median (Me) adalah nilai data yang terletak di tengah-tengah suatu data yang telah diurutkan dari yang terkecil. Sama halnya dengan rata-rata, untuk rumus median data tunggal dan median data kelompok sebagai berikut.
MEDIAN DATA TUNGGAL
- Data Ganjil :

- Data Genap :

Misalkan terdapat data sebagai berikut:
4,2,4,7,2,9,5,2,10,7.
Untuk mencari nilai mediannya, kita harus mengurutkan data nya terlebih dahulu menjadi seperti berikut:
2 , 2 , 2 , 4 , 4 , 5 , 7 , 7 , 9 , 10
Setelah kita urutkan baru kita bisa menentukan nilai mediannya. Jumlah datanya ada sebanyak 10, artinya kita mencari nilai median dengan menggunakan rumus median untuk data genap.
Nilai median dapat kita cari dengan cara sebagai berikut:

Berbeda dengan data tunggal yang disajikan dalam bentuk tabel. Jika data tunggal yang disajikan dalam bentuk tabel, untuk menentukan nilai mediannya kita tidak perlu mengurutkan datanya karena data yang diketahui sudah diurutkan. Misalkan diketahui data tunggal dalam bentuk tabel sebagai berikut:

Kita bisa langsung menentukan nilai mediannya tanpa mengurutkan datanya terlebih dahulu. Dari tabel tersebut, jumlah datanya ada sebanyak 105, artinya kita mencari nilai median dengan menggunakan rumus median untuk data ganjil.
Nilai median dapat kita cari dengan cara sebagai berikut:

MEDIAN DATA KELOMPOK
Pada data berkelompok, median dapat dirumuskan sebagai berikut:


Modus

Sobat, pasti kalian tidak asing lagi dengan modus? Modus yang dimaksud bukan untuk deketin doi ya hehe..
Nah, modus (Mo) yang dimaksud disini adalah nilai data yang paling sering muncul. Artinya, modus merupakan nilai data yang frekuensinya paling besar atau paling banyak ya. Sama halnya dengan rata-rata dan median, untuk rumus modus data tunggal dan modus data kelompok sebagai berikut.
MODUS DATA TUNGGAL
Modus dari data tunggal adalah data yang sering muncul maupun data yang mempunyai frekuensinya yang paling besar.
MODUS DATA BERKELOMPOK
Pada data berkelompok, modus dapat dirumuskan sebagai berikut:

Keterangan:
Mo : modus
Tb : tepi bawah kelas modus
d1 : selisih frekuensi kelas modus dengan frekuensi kelas sebelumnya
d2 : selisih frekuensi kelas modus dengan frekuensi kelas sesudahnya
p : panjang kelas/interval kelas
1.
Jawablah soal di bawah ini dengan benar!
Jika diketahui sebuah data yaitu 20,18,20,19,15,22,x,19,18,16 memiliki nilai rata-rata sama dengan 19. Maka, nilai x akan sama dengan ....
A. 21
B. 22
C. 23
D. 24
E. 25
JAWABAN BENAR
C.
23
PEMBAHASAN

2.
Perhatikan data hasil penimbangan berat badan (dalam kg) dari 60 orang ibu pada suatu desa yang disajikan dalam tabel distribusi di bawah ini!

Rata-rata berat badan 60 orang ibu-ibu tersebut adalah ....
A. 69,25
B. 70,16
C. 70,17
D. 70,33
E. 72,25
JAWABAN BENAR
C.
70,17
PEMBAHASAN
Lengkapi tabel distribusi di atas dengan kolom xi dan fixi berturut-turut menyatakan nilai tengah tiap kelas dan hasil kali frekuensi dengan nilai tengah masing-masing kelas.

sehingga rata-rata dapat dinyatakan menggunakan rumus

3.
Perhatikan data nilai hasil ulangan matematika dari 40 siswa yang disajikan dalam tabel distribusi frekuensi berikut!

Nilai modus dari data pada tabel di atas adalah ....
A. 80,5-50/9
B. 80,5-40/9
C. 80,5+40/9
D. 80,5+45/9
E. 80,5+50/9
JAWABAN BENAR
E.
80,5+50/9
PEMBAHASAN
Nilai Modus terletak pada kelas dengan frekuensi terbanyak. Artinya, nilai modus terletak pada kelas dengan nilai 81 – 90
Diketahui :
Tb = 81 – 0,5 = 80,5
d1 = 12 – 7 = 5
d2 = 12 – 8 = 4
p = 10
Dengan demikian, diperoleh:

4.
Pehatikan data pada tabel berikut!

Median dari data di atas adalah ....
A. 75
B. 75,5
C. 80
D. 80,5
E. 85,5
JAWABAN BENAR
A.
75
PEMBAHASAN
Diketahui : Banyak data = 33
Median data Ganjil dapat dirumuskan sebagai berikut:

Jadi, median datanya terletak pada data ke-17, berdasarkan tabel data ke-17 berada pada kolom nilai ke-4 dengan nilai 75.
5.
Perhatikan Histogram di bawah ini!

Median dari data tersebut adalah ....
A. 20
B. 20,5
C. 21
D. 21,5
E. 22,5
JAWABAN BENAR
C.
21
PEMBAHASAN
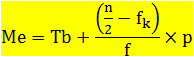
Ubah penyajian data pada histogram di atas menjadi bentuk tabel seperti di bawah ini (kolom dilengkapi dengan frekuensi kumulatif)

Kelas median berada pada data ke = 54/2 = 27 yaitu pada kelas interval 18 - 22
Diketahui:
Tb = 18-0,5 = 17,5
n = 54
fk = 20
f = 10
p = 5
Jadi, akan diperoleh:

Jadi, median dari data tersebut adalah 21
6.
Kerjakan soal berikut dengan tepat!
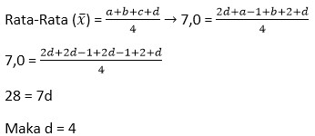
Terdapat 4 bilangan positif sebagai berikut yaitu a, b, c, dan d dengan nilai a = 2d , b = a – 1 , dan c = b + 2. Jika nilai rata-rata dari ke 4 bilangan tersebut ialah 7,0, nilai 2d + b akan sama dengan ....
A. 13
B. 14
C. 15
D. 16
E. 17
JAWABAN BENAR
C.
15
PEMBAHASAN
Diketahui : 4 bilangan positif yaitu a , b , c , dan d
a = 2d
b = a – 1
c = b + 2
Rata-rata = 7,0
Dengan menggunakan rumus rata-rata, akan diperoleh nilai d

Setelah di dapatkan nilai d, kita akan mencari b
b = a – 1
b = 2d – 1
b = 2(4) – 1 = 7
Berikutnya kita menghitung hasil 2d + b
2d + b = 2(4) + 7 = 15
Jadi, hasil dari 2d + b akan sama dengan 15
7.
Kerjakan soal berikut dengan tepat!
Rata-Rata nilai ulangan dari pelajaran matematika dari 30 anak ialah 6,1. Jika seseorang siswa tidak diikutsertakan ke dalam nilai tersebut, maka nilai rata-ratanya akan menjadi 6,0. Nilai siswa yang tidak diikutsertakan adalah ....
A. 8,8
B. 8,9
C. 9,0
D. 9,1
E. 9,2
JAWABAN BENAR
C.
9,0
PEMBAHASAN


Jadi, nilai siswa yang tidak diikutsertakan adalah 9,0.
Oops!!!
Yah, jawaban kamu meleset nih. Ingin melihat pembahasan soal ini?
BENAR!!!
Selamat!
Jawaban kamu benar. Ingin lihat pembahasan soal ini?
footer_v3
Bersama Aku Pintar temukan jurusan kuliah yang tepat
sesuai minat dan bakatmu.
Aku Pintar memiliki visi membuat pendidikan merata, mudah dijangkau, dan terjangkau dengan Program Journey Pintar yang merupakan sebuah program persiapan lengkap bagi siswa SMA/SMK/sederajat yang ingin masuk ke perguruan tinggi impiannya.
Kontak Kami
Grand Slipi Tower Lt. 42
Jl. S. Parman Kav 22-24
Jakarta Barat
© 2024 Aku Pintar. All Rights Reserved