Belajar Pintar Materi SMP, SMA, SMK
BelajarPintarV3
Matematika Wajib
Statistika
MATERI
Jangkauan, Hamparan, dan Simpangan Kuartil

Halo Sobat Pintar! Setelah sebelumnya kita sudah membahas mengenai ukuran pemusatan data dan juga ukuran letak data, sekarang kita akan membahas mengenai ukuran penyebaran data. Sobat pintar sudah pernah mendengar mengenai ukuran penyebaran data?
Ukuran penyebaran data adalah suatu ukuran yang menyatakan seberapa besar nilai-nilai data berbeda atau bervariasi dengan nilai ukuran pusatnya atau seberapa besar penyimpangan nilai-nilai data dengan nilai pusatnya.
Menurut Sobat, apa saja ukuran penyebaran data? Yuk sama-sama kita pelajari!!
JANGKAUAN
Jangkauan (R) atau yang bisa disebut juga dengan range adalah selisih antara nilai data terbesar dan nilai data terkecil pada suatu data tunggal. Untuk sebaran data kelompok, nilai data terbesar diambil dari nilai tengah kelas tertinggi dan nilai data terkecil diambil dari nilai kelas yang terendah.
Jangkauan dapat dirumuskan sebagai berikut:

HAMPARAN
Hamparan (H) atau yang disebut juga dengan jangkauan antarkuartil adalah selisih antara nilai kuartil ketiga dan nilai kuartil pertama.
Hamparan dapat dirumuskan sebagai berikut:
H = Q3 - Q1
Keterangan:
H = hamparan
Q3 = nilai kuartil atas
Q1 = nilai kuartil bawah
SIMPANGAN KUARTIL
Simpangan kuartil (SK) atau yang disebut juga dengan jangkauan semi antarkuartil adalah setengah kali nilai hamparan.
Simpangan Kuartil dapat dirumuskan sebagai berikut:

Keterangan :
SK = Simpangan Kuartil
H = Hamparan
Q3 = Nilai Kuartil Atas
Q1 = Nilai Kuartil Bawah
Simpangan Rata-Rata, Ragam, Simpangan Baku, Koefisien Variasi

Sobat Pintar, gimana tentang materi yang sebelumnya? Semoga sobat pintar mudah mengerti yaaa!!
Yuk yuk kita lanjut ke materi selanjutnya yaa... Disimak yaaa, Sobat!
SIMPANGAN RATA-RATA
Simpangan rata-rata (SR) adalah nilai rata-rata dari selisih setiap data dengan nilai rataan hitung.
Rumus Simpangan Rata-Rata Data Tunggal dan Simpangan Rata-Rata Data Kelompok dapat dinyatakan sebagai berikut:

RAGAM
Ragam (S2) disebut juga dengan variansi adalah ukuran seberapa jauh sebuah data tersebar. Nilai Ragam sama dengan nol menandakan bahwa semua nilai sama.
Ragam Data Tunggal
Ragam Data Tunggal dapat dirumuskan sebagai berikut:

Ragam Data Kelompok
Ragam Data Kelompok dapat dirumuskan sebagai berikut:


SIMPANGAN BAKU
Simpangan Baku (S) merupakan akar kuadrat dari ragam. Simpangan baku juga bisa disebut dengan standar deviasi.
Simpangan Baku Data Tunggal
Simpangan Baku Data Tunggal dapat dirumuskan sebagai berikut:

Simpangan Baku Data Kelompok
Simpangan Baku Data Kelompok dapat dirumuskan sebagai berikut:


KOEFISIEN VARIASI
Koefisien variasi (KV) dirumuskan sebagai berikut:


1.
Jawablah pertanyaan berikut ini!
Tentukan jangkauan (range) dari data : 10 , 10 , 10 , 11 , 13 , 10 , 6 , 2 , 5 , 6 , 10 , 3 , 3 , 3 , 6 , 6 , 10 , 11 , 10!
A. 4
B. 6
C. 8
D. 10
E. 11
JAWABAN BENAR
E.
11
PEMBAHASAN
Pertama, kita Urutkan datanya terlebih dahulu menjadi sebagai berikut :
2 , 3 , 3 , 3 , 5 , 6 , 6 , 6 , 6 , 10 , 10 , 10 , 10 , 10 , 10 , 10 , 11 , 11 , 13
Xmax = 13
Xmin = 2
Jangkauan = Xmax – Xmin = 13 – 2 = 11
2.
Perhatikan tabel berikut!

Jangkauan data di atas adalah ....
A. 20
B. 30
C. 40
D. 50
E. 60
JAWABAN BENAR
B.
30
PEMBAHASAN
Jangkauan (Range) = nilai tepi atas kelas terakhir - nilai tepi bawah kelas pertama
Jangkauan (Range) = 79,5 - 49,5 = 30
3.
Perhatikan tabel nilai ulangan matematika berikut ini!

Nilai simpangan kuartil data di atas adalah ....
A. 1
B. 2
C. 3
D. 4
E. 5
JAWABAN BENAR
A.
1
PEMBAHASAN


4.
Jawablah soal berikut dengan benar!
Diketahui sebuah data 9, 7, 5, 8, 6, maka simpangan rata-rata data tersebut adalah ….
A. 1,2
B. 1,5
C. 1,8
D. 2,0
E. 2,3
JAWABAN BENAR
A.
1,2
PEMBAHASAN

5.
Jawablah pertanyaan berikut ini dengan benar!
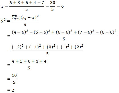
Diketahui sebuah data 6, 8, 5, 4, 7 maka ragamnya adalah ….
A. 1/2
B. 1
C. 2
D. 4
E. 5
JAWABAN BENAR
C.
2
PEMBAHASAN

6.
Perhatikan tabel tinggi badan sebagai berikut!

Nilai simpangan baku dari tinggi badan tersebut ialah ....
A. 5,477
B. 5,916
C. 6,324
D. 6,708
E. 7,071
JAWABAN BENAR
A.
5,477
PEMBAHASAN
Pertama, kita buat tabel yang memuat nilai tengah dari tiap kelas

Lalu, kita hitung nilai rata-ratanya

Selanjutnya, kita menghitung nilai ragam nya

Terakhir, kita mencari Simpangan Bakunya, yaitu akar dari ragam

Jadi, nilai simpangan baku dari tinggi badan tersebut ialah 5,477
7.
Kerjakan soal berikut dengan tepat!
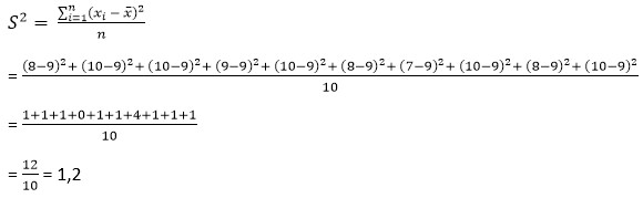
Diketahui data suatu nilai ulangan sebagai berikut:
8, 10, 10, 9, 10, 8, 7, 10, 8, 10
Ragam dan Simpangan Bakunya secara berurutan ialah ....
A. 1 dan 1
B. 1,1 dan 1,049
C. 1,2 dan 1,095
D. 1,3 dan 1,140
E. 1,4 dan 1,183
JAWABAN BENAR
C.
1,2 dan 1,095
PEMBAHASAN
Pertama, kita hitung nilai rata-ratanya

Lalu, kita menghitung nilai ragam nya

Terakhir, kita mencari Simpangan Bakunya, yaitu akar dari ragam

Jadi, nilai Ragam dan Simpangan Bakunya ialah 1,2 dan 1,095
Oops!!!
Yah, jawaban kamu meleset nih. Ingin melihat pembahasan soal ini?
BENAR!!!
Selamat!
Jawaban kamu benar. Ingin lihat pembahasan soal ini?
footer_v3
Bersama Aku Pintar temukan jurusan kuliah yang tepat
sesuai minat dan bakatmu.
Aku Pintar memiliki visi membuat pendidikan merata, mudah dijangkau, dan terjangkau dengan Program Journey Pintar yang merupakan sebuah program persiapan lengkap bagi siswa SMA/SMK/sederajat yang ingin masuk ke perguruan tinggi impiannya.
Kontak Kami
Grand Slipi Tower Lt. 42
Jl. S. Parman Kav 22-24
Jakarta Barat
© 2024 Aku Pintar. All Rights Reserved