Belajar Pintar Materi SMP, SMA, SMK
BelajarPintarV3
UTBK - SNBT
Penalaran Matematika
MATERI
Data
​​​​​​​
Rata-rata (Mean)
Definisi: Nilai rata-rata adalah hasil bagi dari jumlah seluruh data dengan banyaknya data.
Rumus:

Contoh: Data 4, 6, 8, 10, 12.
rata-rata = (4 + 6 + 8 + 10 + 12)/5 = 40/5 = 8
Rataan Gabungan
Definisi: Rata-rata dari gabungan dua kelompok data.
Rumus:

Modus (Mode)
Definisi: Nilai yang paling sering muncul dalam sekumpulan data.
Contoh: Data 4, 5, 5, 6, 7. Modus adalah 5 karena muncul paling banyak.
Median
Definisi: Nilai tengah dari data yang telah diurutkan.
Cara Menentukan:
Jika jumlah data ganjil, median adalah data ke-(n+1)/2
Jika jumlah data genap, median adalah rata-rata dua data tengah.
Contoh: Data 3, 5, 7, 8, 9: Median = 7
Kuartil
Definisi: Pembagian data menjadi empat bagian yang sama besar.
Kuartil bawah (Q1): Nilai data (n+1)/4.
Kuartil tengah (Q2): Median.
Kuartil atas (Q3): Nilai data (3(n+1))/4​
Contoh: Data 2, 4, 6, 8, 10.
Q1 = 4, Q2 = 6, Q3 = 8.
Penyebaran Data Tunggal
​​​​​​​
Jangkauan (Range)
Definisi: Selisih antara data terbesar dan data terkecil.
Rumus:
R = xmaks - xmin
Contoh: Data 3, 5, 7, 9:
R = 9 - 3 = 6.
Simpangan Rata-rata
Definisi: Rata-rata dari selisih mutlak setiap data terhadap rata-rata.
Rumus:

Variasi (Ragam/Variance)
Definisi: Ukuran yang menunjukkan keragaman data.
Rumus:

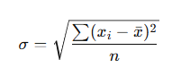
Simpangan Baku (Standard Deviation)
Definisi: Akar kuadrat dari variansi.
Rumus:

Kaidah Pencacahan
​​​​​​​
Prinsip Dasar Pencacahan
Jika ada n1 cara memilih dari tahap pertama, n2 cara memilih dari tahap kedua, dan seterusnya, maka total cara memilih:
n = n1 x n2 x n3 x ...
Permutasi
Definisi: Susunan elemen yang memperhatikan urutan.
Rumus:

Kombinasi
Definisi: Pemilihan elemen tanpa memperhatikan urutan.
Rumus:

Peluang Suatu Kejadian
​​​​​​​
Ruang Sampel dan Kejadian
Ruang sampel (S): Semua hasil yang mungkin terjadi.
Kejadian (A): Subset dari ruang sampel.
Rumus Peluang
Peluang Suatu Kejadian:

Peluang Komplemen
Rumus:
P(A') = 1 - P(A)
Peluang Kejadian Bersama (Gabungan)

Contoh Soal Peluang
Sebuah dadu dilempar sekali. Tentukan peluang muncul angka ganjil.

1.
Kerjakan soal berikut ini dengan tepat!
Dari angka-angka 1, 2, 3, 4, 5, 6, 7, dan 8 akan dibuat bilangan yang terdiri dari 3 angka berbeda. Banyaknya bilangan berbeda yang lebih besar dari 520 tetapi lebih kecil dari 760 adalah …
A. 120
B. 84
C. 108
D. 90
E. 72
JAWABAN BENAR
C.
108
PEMBAHASAN
Bilangan dengan 3 angka berbeda antara 520 < … <760
Angka ratusan 5
1 x 6 x 6 = 36
Angka ratusan 6
1 x 7 x 6 = 42
Angka ratusan 7
1 x 5 x 6 = 30
Jadi, banyaknya bilangan adalah 36 + 42 + 30 = 108
2.
Perhatikan gambar berikut ini !

Nilai ulangan matematika satu kelas disajikan dengan histogram seperti pada gambar. Median nilai tersebut adalah ....
A. 64,5
B. 65
C. 65,5
D. 66
E. 66,5
JAWABAN BENAR
C.
65,5
PEMBAHASAN
Mengubah histogram menjadi bentuk tabel


Jawaban : C
3.
Kerjakan soal di bawah ini dengan tepat!

Dari grafik di atas, manakah diantara pilihan berikut yang paling mendekati rata-rata (arithmetic mean) jumlah biji per apel?
A. 4
B. 5
C. 6
D. 7
E. 8
JAWABAN BENAR
C.
6
PEMBAHASAN

4.
Kerjakan soal berikut dengan tepat!
Salsa memiliki koleksi album boyband dan girlband asal korea selatan, diantaranya 3 album BTS, sebuah album NCT, dan 2 album Blackpink. Ia ingin menyusun semua albumnya pada rak baru. Misalkan A adalah kejadian susunan album sehingga album BTS berada di ujung kiri dan ujung kanan rak dan album Blackpink letaknya berurutan. Tanpa memperhatikan judul albumnya, peluang kejadian P adalah ....
A. 1/20
B. 3/20
C. 1/10
D. 3/10
E. 1/5
JAWABAN BENAR
C.
1/10
PEMBAHASAN

5.
Kerjakan soal berikut dengan benar!
Disebuah rumah dipasang lampu hias yang terdiri dari 4 bohlam kuning, 5 bohlam merah, dan 6 bohlam hijau. Banyaknya cara memasang lampu hias tersebut jika bohlam berwarna sama tidak dapat dibedakan adalah….
A. 90.090
B. 520.520
C. 630.630
D. 780.780
E. 840.840
JAWABAN BENAR
C.
630.630
PEMBAHASAN
Terdapat 15 bohlam lampu hias dengan 3 jenis warna
- bohlam kuning ada 4 buah
- bohlam merah ada 5 buah
- bohlam hijau ada 6 buah
Banyaknya cara memasang lampu hias tersebut adalah

Oops!!!
Yah, jawaban kamu meleset nih. Ingin melihat pembahasan soal ini?
BENAR!!!
Selamat!
Jawaban kamu benar. Ingin lihat pembahasan soal ini?
footer_v3
Bersama Aku Pintar temukan jurusan kuliah yang tepat
sesuai minat dan bakatmu.
Aku Pintar memiliki visi membuat pendidikan merata, mudah dijangkau, dan terjangkau dengan Program Journey Pintar yang merupakan sebuah program persiapan lengkap bagi siswa SMA/SMK/sederajat yang ingin masuk ke perguruan tinggi impiannya.
Kontak Kami
Grand Slipi Tower Lt. 42
Jl. S. Parman Kav 22-24
Jakarta Barat
© 2024 Aku Pintar. All Rights Reserved