Belajar Pintar Materi SMP, SMA, SMK
BelajarPintarV3
UTBK - SNBT
Pengetahuan Kuantitatif
MATERI
Bilangan Rasional


Hai Sobat Pintar, mari kita perhatikan tabel di atas. Apakah kalian bisa melihat kaitan antara jenis bilangan yang satu dengan yang lain? Tampak bilangan asli termasuk dalam kategori bilangan cacah, dan bilangan cacah juga merupakan bagian dari bilangan bulat. Berikut adalah gambaran visualnya menggunakan diagram Venn.

Dalam rangkaian dua bilangan bulat, terdapat sebuah bilangan lain yang tidak termasuk dalam kategori bilangan bulat. Bilangan itu disebut Bilangan Rasional. Sobat Pintar tau nggak apa definisi bilangan rasional? Bilangan rasional merujuk pada suatu bilangan yang dapat diwakili dalam bentuk pecahan biasa (a/b), dan jika dinyatakan dalam bentuk desimal, angkanya akan berhenti setelah sejumlah digit atau akan membentuk pola pengulangan.
Untuk menentukan apakah suatu bilangan adalah bilangan rasional atau tidak, salah satu metode yang dapat digunakan adalah dengan mengubahnya menjadi pecahan a/b, di mana a adalah pembilang dan b adalah penyebut.
Bagaimana sobat menyatakan −0,5 dalam (a/b)? Bisa jadi ada yang menuliskan −1/2, 1/−2, atau bentuk lain yang ekuivalen. Ketiga penulisan tersebut berbeda, namun menyatakan bilangan rasional yang sama. Sebuah bilangan rasional dapat dinyatakan dengan banyak cara penulisan (a/b).
Bilangan rasional juga dapat dinyatakan dalam bentuk desimal. Apakah semua bilangan desimal merupakan bilangan rasional? Coba perhatikan contoh berikut:
akar 2 = 1,414213562 . . .
phi = 3,141592564 . . .
keduanya memiliki angka desimal yang tak terbatas.
Bilangan akar 2 dan phi termasuk ke dalam bilangan irasional. Kalian akan mempelajari bilangan irasional di tingkat berikutnya. Bilangan Rasional dan Irasional termasuk ke dalam Bilangan Real.
Operasi bilangan rasional
Penjumlahan dan Pengurangan bilangan rasional harus disamakan terlebih dahulu penyebutnya.

Sedangkan perkalian dan pembagian bilangan rasional tidak perlu disamakan penyebutnya

Untuk pembagian bilangan rasional, dapat berubah menjadi perkalian dengan syarat penyebut dan pembilang pembaginya harus bertukar.

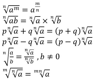
Definisi dan Sifat Bentuk Akar

Bilangan irasional adalah bilangan yang tidak dapat dinyatakan dalam bentuk a/b dengan a, b ∈ B (a, b merupakan bilangan bulat dan b ≠0).
Ciri-ciri bilangan irasional sebagai berikut:
- tidak dapat dinyatakan dalam bentuk pecahan
- apabila dinyatakan dalam bentuk desimal, termasuk dalam desimal tak terbatas dan tak berulang
- dapat dinyatakan dalam bentuk akar
Sifat-sifat bilangan irasional

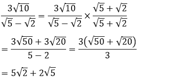
Merasionalkan Penyebut

Sobat Pintar sudah tahu kan, kalau bilangan pecahan dengan penyebut berbentuk akar itu harus dirasionalkan terlebih dahulu.
Nah, cara merasionalkan penyebut akar, harus dikalikan dengan sekawan dari penyebutnya. Maksudnya bagaimana? Simak langsung rumus berikut ini!

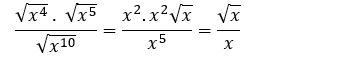
Akar dari Bentuk Akar

Akar yang berada di dalam akar?
Wah kalau dibayangkan saja rasanya sulit ya, Sobat.
Tapi tenang saja, Sobat, karena akar dari akar ada cara cepatnya, lho!
RUMUS CEPAT AKAR DARI BENTUK AKAR


1.
Kerjakan soal berikut ini!

A.

B.
\C.

D.

E.

JAWABAN BENAR
B.
\
PEMBAHASAN

2.
Kerjakan soal berikut ini dengan tepat!

A.

B.

C.

D.

E.

JAWABAN BENAR
A.
PEMBAHASAN

3.
Kerjakan soal berikut ini!

A.

B.

C.

D.

E.

JAWABAN BENAR
D.

PEMBAHASAN

4.
Kerjakan soal berikut ini dengan tepat!

A.

B.

C.

D.

E.

JAWABAN BENAR
B.
PEMBAHASAN
![]()
5.
Kerjakan soal berikut ini dengan tepat!

A.

B.

C.

D.

E.

JAWABAN BENAR
C.
PEMBAHASAN

Oops!!!
Yah, jawaban kamu meleset nih. Ingin melihat pembahasan soal ini?
BENAR!!!
Selamat!
Jawaban kamu benar. Ingin lihat pembahasan soal ini?
footer_v3
Bersama Aku Pintar temukan jurusan kuliah yang tepat
sesuai minat dan bakatmu.
Aku Pintar memiliki visi membuat pendidikan merata, mudah dijangkau, dan terjangkau dengan Program Journey Pintar yang merupakan sebuah program persiapan lengkap bagi siswa SMA/SMK/sederajat yang ingin masuk ke perguruan tinggi impiannya.
Kontak Kami
Grand Slipi Tower Lt. 42
Jl. S. Parman Kav 22-24
Jakarta Barat
© 2024 Aku Pintar. All Rights Reserved