Belajar Pintar Materi SMP, SMA, SMK
BelajarPintarV3
UTBK - SNBT
Pengetahuan Kuantitatif
MATERI
Konsep dan Sifat-Sifat Logaritma

Logaritma merupakan suatu operasi yang berkebalikan dengan eksponen (perpangkatan). Logaritma dapat didefinisikan sebagai berikut:

Catatan:
- b disebut bilangan pokok
- Jika bilangan pokoknya bernilai 10, biasanya tidak ditulis, misal 10log y = log y
- Jika bilangan pokoknya e (bilangan euler, e = 2,718281828...), maka bentuk logaritmanya ditulis dengan ln (dibaca: lon, merupakan logaritma natural), misal elog y = ln y
SIFAT-SIFAT FUNGSI LOGARITMA
Oleh karena bentuk logaritma masih berhubungan dengan pangkat, maka sifat-sifat logaritma dapat diturunkan dari sifat bilangan berpangkat, yaitu:
PERKALIAN LOGARITMA

PEMBAGIAN LOGARITMA

LOGARITMA DENGAN PANGKAT

Sifat perpangkatan logaritma dapat diturunkan menjadi beberapa sifat berikut:

MENGUBAH BASIS LOGARITMA

Berdasarkan sifat di atas, dapat diturunkan sifat berikut:

PERPANGKATAN LOGARITMA

Persamaan dan Pertidaksamaan Logaritma

PERSAMAAN LOGARITMA
Persamaan logaritma yaitu persamaan yang memuat bentuk logaritma dengan basis atau numerus, atau keduanya memuat variabel. Bentuknya sama seperti bentuk umum logaritma, tapi pada persamaan logaritma, bentuk logaritmanya ada dua di ruas kiri dan kanan lalu dihubungkan menggunakan tanda sama dengan.
Nggak jauh beda dari materi eksponen, persamaan logaritma juga punya beberapa bentuk agar lebih mudah untuk mengidentifikasi nilai peubahnya.
Berikut ini bentuk-bentuk persamaan logaritma

PERTIDAKSAMAAN LOGARITMA

Jangan lupa untuk paham dan hafal tentang sifat-sifat logaritma ya!
Secara khusus, pertidaksamaan logaritma memiliki sifat tersendiri dengan adanya syarat tertentu yang memenuhi. Sifat pertidaksamaan logaritma antara lain:


Fungsi Logaritma

Fungsi logaritma adalah fungsi yang mengandung logaritma. Secara konsep, fungsi logaritma adalah kebalikan dari fungsi eksponensial. Fungsi logaritma digunakan untuk menghitung taraf intensitas bunyi, kadar asam, bunga majemuk, dan masih banyak lagi.
Seperti fungsi lainnya, fungsi logaritma memiliki bentuk umum sebagai berikut:
f(x) = alog x
a merupakan nilai basis logaritma. Nilai a harus lebih besar dari 0 tetapi tidak boleh sama dengan 1. Hal tersebut dikarenakan logaritma 1 sama dengan logaritma 0 yang tidak terdefinisi.
Grafik fungsi logaritma dapat menanjak ataupun menurun bergantung pada nilai basisnya (a)
- Jika nilai basisnya 0 < a < 1, maka grafik fungsi logaritmanya menurun
- Jika nilai basisnya a > 0, maka grafik fungsi logaritmanya naik
SIFAT SIFAT GRAFIK FUNGSI LOGARITMA
- Fungsi Logaritma adalah fungsi injektif, artinya masing-masing domain tidak memiliki kodomain yang sama.
- Grafik fungsi logaritma sama seperti grafik fungsi eksponen berupa garis lengkung
- Fungsi logaritma memiliki domain positif, artinya
domain fungsi logaritma akan selalu lebih besar dari nol dan nilai fungsinya akan selalu meningkat seiring dengan peningkatan nilai x
-
Fungsi logaritma tidak pernah memotong sumbu y
-
Fungsi logaritma pasti memotong sumbu x di x = 1, artinya grafik fungsi logaritma selalu melewati titik (1,0)
1.
Kerjakan soal berikut ini!

A.
0
B. 1
C. 2
D. 3
E. 4
JAWABAN BENAR
C.
2
PEMBAHASAN

2.
Kerjakan soal berikut ini!
![]()
A. 4
B. 3
C. 2
D. 1
E. 0
JAWABAN BENAR
D.
1
PEMBAHASAN

3.
Kerjakan soal berikut ini!
Jika x1 dan x2 adalah penyelesaian persamaan (3log x)2 – 4(3log x) = -3 dengan x1 < x2. Perbandingan x1 dengan x2 yaitu :
A. 1 : 3
B. 1 : 9
C. 1 : 27
D. 9 : 1
E. 3 : 1
JAWABAN BENAR
B.
1 : 9
PEMBAHASAN

4.
Kerjakan soal berikut ini!
Jika 2log 5 = p dan 5log 7 = q, maka 5log 28 = ….
A.

B.

C.

D.

E.

JAWABAN BENAR
A.
PEMBAHASAN

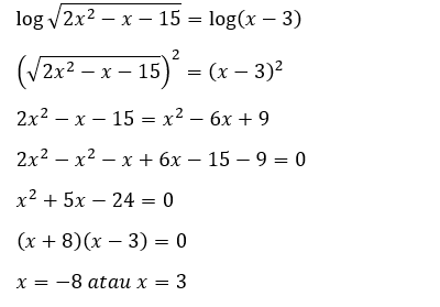
5.
Kerjakan soal berikut ini!

A. -15
B. -9
C. -8
D. -3
E. -1
JAWABAN BENAR
C.
-8
PEMBAHASAN

Oops!!!
Yah, jawaban kamu meleset nih. Ingin melihat pembahasan soal ini?
BENAR!!!
Selamat!
Jawaban kamu benar. Ingin lihat pembahasan soal ini?
footer_v3
Bersama Aku Pintar temukan jurusan kuliah yang tepat
sesuai minat dan bakatmu.
Aku Pintar memiliki visi membuat pendidikan merata, mudah dijangkau, dan terjangkau dengan Program Journey Pintar yang merupakan sebuah program persiapan lengkap bagi siswa SMA/SMK/sederajat yang ingin masuk ke perguruan tinggi impiannya.
Kontak Kami
Grand Slipi Tower Lt. 42
Jl. S. Parman Kav 22-24
Jakarta Barat
© 2024 Aku Pintar. All Rights Reserved