Belajar Pintar Materi SMP, SMA, SMK
BelajarPintarV3
Fisika
Kemagnetan
MATERI
Medan Magnet Induksi

- Medan Magnet di Sekitar Kawat Lurus
Hans Christian Oersted dan Andre Marie Ampere adalah tokoh-tokoh penting dalam menghubungkan antara kemagnetan dan kelistrikan. Kompas yang mengalami simpangan dekat kawat berarus listrik mengindikasikan adanya medan magnet di sekitar kawat. Medan magnet ini dikenal sebagai medan magnet induksi. Arah medan magnet dapat ditentukan dengan aturan tangan kanan, di mana arah ibu jari menunjukkan arah arus dan arah jari yang melingkar menunjukkan arah medan magnet.
- Kawat Melingkar Berarus Listrik
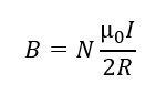
Jika arus listrik mengalir melalui kawat melingkar, medan magnet yang timbul dapat diilustrasikan. Di pusat lingkaran, arah medan magnet ditunjukkan oleh arah jari tangan, sementara arah arus pada kawat ditunjukkan oleh ibu jari. Besarnya medan magnet pada pusat lingkaran lilitan kawat berarus listrik dengan jari-jari R dapat dihitung menggunakan rumus:

di mana N adalah jumlah lilitan kawat, miu 0 adalah permeabilitas medium udara atau ruang hampa, dan I adalah kuat arus listrik.
- Solenoida
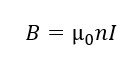
Solenoida adalah lilitan kumparan kawat berbentuk heliks dengan panjang lebih besar dari diameternya. Besar medan magnet di pusat solenoida dapat dihitung menggunakan rumus:

di mana n adalah jumlah lilitan tiap satuan panjang. Inti besi sering dimasukkan ke dalam lilitan solenoida untuk meningkatkan medan magnet yang dihasilkan. Inti besi memiliki permeabilitas magnetik yang tinggi, sehingga dapat memperkuat medan magnet yang dihasilkan oleh solenoida.
Konsep medan magnet induksi memiliki aplikasi luas dalam teknologi sehari-hari. Salah satu contohnya adalah penggunaan solenoida dalam bel listrik. Ketika arus listrik mengalir melalui solenoida, medan magnet terbentuk di sekitarnya. Medan magnet ini digunakan untuk menarik batang besi, yang akhirnya memukul bel dan menghasilkan bunyi.
Gaya Gerak Listrik (GGL) Induksi

konsep Gaya Gerak Listrik (GGL) induksi yang muncul ketika terjadi perubahan fluks magnetik dalam suatu kumparan. Konsep ini menggambarkan bagaimana medan magnetik dapat menghasilkan arus listrik dan bagaimana perubahan fluks magnetik menginduksi gaya pada muatan listrik.
- Fluks Magnet
Sebelum memahami GGL induksi, penting untuk memahami konsep fluks magnet. Ketika sebuah kumparan berada dalam medan magnet, garis-garis medan magnet akan masuk ke dalam kumparan. Jumlah garis medan yang masuk dalam kumparan ini disebut fluks magnet. Besar fluks magnet diukur dengan rumus:

di mana B adalah kuat medan magnet, A adalah luas penampang, dan tetha adalah sudut antara garis medan dan garis normal bidang.
- Besar GGL Induksi
GGL induksi terjadi ketika terjadi perubahan fluks magnetik dalam suatu kumparan. Ketika sebuah magnet batang digerakkan mendekati atau menjauhi kumparan, terjadi perubahan fluks magnetik yang masuk dalam kumparan. Perubahan ini menyebabkan fluks induksi, yang kemudian menghasilkan GGL induksi. Besar GGL induksi dapat dihitung menggunakan rumus:

Rumus GGL induksi di atas merupakan rumus Hukum Faraday. Hukum Faraday menyatakan bahwa GGL induksi dalam rangkaian sebanding dengan laju perubahan fluks magnetiknya. Namun, tanda negatif pada rumus tersebut dijelaskan oleh Hukum Lenz. Hukum Lenz menyatakan bahwa fluks magnetik induksi selalu berlawanan dengan perubahan fluks penyebabnya.
Konsep GGL induksi memiliki aplikasi dalam berbagai aspek teknologi. Salah satu contohnya adalah generator listrik, di mana perubahan fluks magnetik dalam kumparan menghasilkan GGL induksi yang kemudian menghasilkan arus listrik. Hal ini digunakan dalam pembangkit listrik tenaga angin, hidroelektrik, dan lainnya.
Generator

Sobat Pintar sudah memahami bahwa perubahan fluks magnetik dalam kumparan menghasilkan GGL induksi. Generator memanfaatkan konsep ini untuk menghasilkan energi listrik. Generator pada dasarnya terdiri dari dua komponen utama: magnet dan kumparan. Kumparan tersebut diputar dalam medan magnet untuk menghasilkan perubahan fluks magnetik yang akan menginduksi GGL dan pada akhirnya menghasilkan arus listrik dalam rangkaian tertutup. Prinsip ini menggambarkan bagaimana energi mekanik dari gerakan putaran kumparan dapat diubah menjadi energi listrik.
Besar GGL pada generator dapat dihitung menggunakan rumus:

Laju sudut putaran dapat dihubungkan dengan frekuensi putaran menggunakan rumus:

Berdasarkan rumus di atas, grafik GGL pada generator berbentuk sinusoidal. Hal ini sesuai dengan fungsi sin(wt) yang menggambarkan hubungan antara sudut putaran dengan waktu. Puncak grafik menunjukkan GGL maksimum yang dihasilkan oleh generator pada setiap putaran.
Generator dapat ditenagai oleh berbagai sumber energi, seperti air, angin, panas bumi, atau bahan bakar fosil. Gerakan atau perubahan energi dari sumber-sumber ini digunakan untuk memutar kumparan dalam medan magnet, yang pada gilirannya menghasilkan GGL induksi dan arus listrik.
Induktansi dan Transformator

- Induktansi
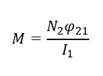
Induktansi adalah konsep yang berkaitan dengan perubahan fluks magnetik dalam kumparan yang menghasilkan Gaya Gerak Listrik (GGL) induksi. Induktansi bersama (mutual induction) terjadi saat perubahan arus dalam kumparan pertama mempengaruhi kumparan kedua, meskipun keduanya tidak terhubung secara langsung. Induktansi bersama dapat dihitung menggunakan rumus:

Konsep induktansi juga berlaku pada satu kumparan, menghasilkan induktansi diri (L). Perubahan arus dalam kumparan menyebabkan perubahan fluks magnetik, yang menghasilkan GGL induksi dalam kumparan. Besar GGL induksi dapat dihitung dengan rumus:

- Transformator
Transformator (trafo) adalah alat yang memanfaatkan induksi elektromagnetik untuk mengubah tegangan listrik. Terdapat dua jenis trafo: trafo step up (menaikkan tegangan) dan trafo step down (menurunkan tegangan). Prinsip kerja trafo didasarkan pada hubungan perbandingan antara jumlah lilitan pada kumparan primer dan sekunder.
Pada trafo step up, jumlah lilitan primer lebih sedikit daripada jumlah lilitan sekunder, sedangkan pada trafo step down, jumlah lilitan primer lebih banyak dari jumlah lilitan sekunder. Hubungan antara GGL induksi pada kumparan primer dan sekunder dapat dinyatakan sebagai:

Hubungan tegangan antara kumparan primer dan sekunder pada trafo juga memiliki hubungan perbandingan yang sama:

Efisiensi transformator menggambarkan sejauh mana energi input dikonversi menjadi energi output. Karena adanya kerugian daya di dalam transformator, efisiensinya kurang dari 100% yaitu:

1.
Kerjakan soal berikut ini dengan benar !
Sebuah kawat lurus panjangnya 20 cm dialiri arus listrik 4 A, memotong medan magnet yang besarnya 100 T secara tegak lurus. Gaya magnetik yang dihasilkan adalah….
A. 20 N
B. 40 N
C. 60 N
D. 80 N
E. 100 N
JAWABAN BENAR
D.
80 N
PEMBAHASAN
l = 20 cm = 20.10-2 m
i = 4 A
B = 100 T
Masalah
FLorentz = ?
Solusi FLorentz = B.i.l
FLorentz= 100.4.20.10-2
FLorentz = 80 N
2.
Kerjakan soal dibawah ini dengan benar !
Sebuah bidang berbentuk persegi dengan luas 40 cm2 ditembus oleh medan magnetik 200 T yang membentuk sudut 30o terhadap bidang. Besar fluks magnetik yang dihasilkan adalah ….
A. 0,4 wb
B. 0,5 wb
C. 0,6 wb
D. 0,7 wb
E. 0,8 wb
JAWABAN BENAR
A.
0,4 wb
PEMBAHASAN

3.
Kerjakan soal berikut dengan benar!
Sepotong kawat yang panjanganya 50 cm dan memiliki massa 15 gram berada dalam medan magnetik 0,6 Wb/m2 yang arahnya keluar tegak lurus bidang gambar. Tiap ujung kawat tergantung pada tali. Arah arus pada kawat sedemikian rupa sehingga gaya yang dihasilkan dapat mengimbangi gaya tegangan tali penggantung. Maka besar dan arah arus pada kawat adalah….
A. 0,5 A, ke kanan
B. 0,5 A, ke kiri
C. 1,5 A, ke kanan
D. 1,5 A, ke kiri
E. 2,0 A, ke kanan
JAWABAN BENAR
A.
0,5 A, ke kanan
PEMBAHASAN
L=50 cm=0,5 m
m=15 gram=0,015 Kg
B=0,6 Wb/m2
Ditanyakan : kuat arus (i)…?
F=W
B.i.l=m.g

Jadi, besar arus pada kawat sebesar 0,5 A ke arah kanan
4.
Kerjakan soal berikut ini dengan benar !
Kawat berarus listrik 10 A dengan arah ke atas berada dalam medan magnet 0,5 T dengan membentuk sudut 300O terhadap kawat. Jika panjang kawat 5 m, maka besar gaya Lorentz yang dialami kawat tersebut adalah . . .
A. 10,0 N
B. 12,5 N
C. 15,0 N
D. 17,5 N
E. 19,0 N
JAWABAN BENAR
B.
12,5 N
PEMBAHASAN
F = ILB sinθ
F = 10.5.0,5.sin 300
F = 12,5 N
Jawaban B.
5.
Kerjakan soal berikut ini dengan benar !
Suatu kawat berarus listrik 20 A dengan arah ke atas berada dalam sebuah medan magnetik 0,5 T dengan membentuk sebuah sudut 30O terhadap kawat. Apabila panjang kawat 20 meter. Berapa besarnya gaya Lorentz yang akan dialami kawat?
A. 80 N
B. 90 N
C. 100 N
D. 110 N
E. 200 N
JAWABAN BENAR
C.
100 N
PEMBAHASAN
Diketahui :
= 20 A
B = 0,5 T
α = 30o
l = 20 m
Penyelesaian
FL = Bil sin α
FL = 0.5 20 20 sin 30o
FL = 100 N
Jadi besar gaya Lorentz yang dialami kawat tersebut adalah 100 N.
6.
Jawablah soal berikut ini!
Sebuah transformator step-down memiliki 1000 lilitan pada kumparan primer dan 100 lilitan pada kumparan sekunder. Jika tegangan input pada kumparan primer adalah 220 V, berapakah tegangan output pada kumparan sekunder?
A. 10V
B. 20V
C. 22V
D. 24V
E. 44V
JAWABAN BENAR
C.
22V
PEMBAHASAN

7.
Jawablah soal berikut ini!
Sebuah kawat melingkar dengan luas penampang 0,1 m2 berada dalam medan magnet homogen sebesar 0,5 T. Jika medan magnet berubah dari 0,5 T menjadi 0 T dalam waktu 2 detik, berapakah besar GGL induksi yang dihasilkan?
A. 0.025V
B. 0.05V
C. 0.1V
D. 0.2V
E. 0.25V
JAWABAN BENAR
A.
0.025V
PEMBAHASAN

Oops!!!
Yah, jawaban kamu meleset nih. Ingin melihat pembahasan soal ini?
BENAR!!!
Selamat!
Jawaban kamu benar. Ingin lihat pembahasan soal ini?
footer_v3
Bersama Aku Pintar temukan jurusan kuliah yang tepat
sesuai minat dan bakatmu.
Aku Pintar memiliki visi membuat pendidikan merata, mudah dijangkau, dan terjangkau dengan Program Journey Pintar yang merupakan sebuah program persiapan lengkap bagi siswa SMA/SMK/sederajat yang ingin masuk ke perguruan tinggi impiannya.
Kontak Kami
Grand Slipi Tower Lt. 42
Jl. S. Parman Kav 22-24
Jakarta Barat
© 2024 Aku Pintar. All Rights Reserved