Belajar Pintar Materi SMP, SMA, SMK
BelajarPintarV3
Fisika
Listrik Arus Searah
MATERI
Kuat Arus Listrik

Nah, listrik yang kita gunakan sehari-hari namanya adalah listrik dinamis. Ditinjau dari gerak muatannya, listrik dinamis adalah listrik dengan muatan bergerak. Muatan bergerak menyebabkan munculnya arus listrik.
Arus listrik didefinisikan sebagai aliran muatan listrik melalui sebuah konduktor. Arus ini bergerak dari potensial tinggi ke potensial rendah, dari kutub positif ke kutub negatif, dari anoda ke katoda. Arah arus listrik ini berlawanan arah dengan arus elektron. Muatan listrik dapat berpindah apabila terjadi beda potensial. Beda potensial dapat dihasilkan oleh sumber tegangan yang mengakibatkan arus listrik mengalir dalam rangkaian.
Jadi, kuat arus listrik adalah jumlah muatan listrik yang mengalir dalam suatu penghantar tiap satuan waktu. Arus listrik ini bisa dihitung loh. Kuat arus listrik dapat dihitung dengan rumus:

Keterangan:
I = kuat arus listrik (A)
Q = jumlah muatan listrik (Coulomb)
t = selang waktu (s)
Beda Potensial

Beda potensial adalah banyaknya energi untuk memindahkan muatan listrik dari satu titik ke titik lain. Suatu benda dikatakan mempunyai potensial listrik lebih tinggi daripada benda lain, jika benda tersebut memiliki muatan positif lebih banyak daripada muatan positif benda lain.
Satuan beda potensial adalah volt (V). Secara matematis beda potensial dapat dituliskan sebagai berikut.

Keterangan:
V = beda potensial (Volt)
W = energi (Joule)
Q = muatan (Coulomb)
Amperemeter dan Voltmeter

Kalo kamu mau tau nilai kuat arus listrik dapat diukur dengan alat amperemeter, sedangkan beda potensial listrik dapat diukur dengan alat voltmeter, atau bisa menggunakan multimeter untuk bisa mengukur tiga besaran sekaligus yaitu kuat arus, beda potensial dan hambatan listrik.

Sobat pintar, perhatikan contoh membaca hasil ukur dengan amperemeter dan voltmeter berikut.
a. Pengukuran dengan Amperemeter

b. Pengukuran dengan Voltmeter

Hambatan Ohmik dan Non-Ohmik

- Hambatan Ohmik dan Hukum Ohm
Dalam dunia elektronik, resistor merupakan salah satu komponen utama yang digunakan untuk mengatur arus listrik dalam rangkaian. Resistor memiliki sifat hambatan atau resistansi, yang diukur dalam satuan ohm. Georg Simon Ohm mengemukakan hukum Ohm, yang menghubungkan tegangan (V) dan arus (I) pada suatu resistor dengan rumus:
Hukum Ohm:
V = I x R
Di mana R adalah hambatan resistor (ohm), dan V serta I adalah tegangan dan arus yang melewati resistor tersebut.
Resistor dan beberapa komponen lainnya yang memiliki grafik linier antara tegangan dan arus, serta memiliki nilai hambatan tetap, dikenal sebagai komponen hambatan ohmik.
- Hambatan Non-Ohmik dan Contohnya
Tidak semua komponen elektronik memiliki sifat hambatan tetap seperti resistor. Beberapa komponen memiliki sifat hambatan yang berubah tergantung pada berbagai faktor, seperti suhu atau beda potensial. Komponen-komponen ini disebut hambatan non-ohmik.
- Lampu Filamen: Sebagai contoh, lampu filamen memiliki hambatan yang tidak tetap karena hambatannya dipengaruhi oleh suhu kawat filamen. Ketika arus mengalir, filamen menjadi panas, dan hambatannya meningkat seiring dengan suhu kawat.
- Diode Semikonduktor: Diode semikonduktor memiliki hambatan yang sangat kecil pada satu arah tertentu (arah maju) dan hambatan yang sangat besar pada arah sebaliknya (kebalikan). Ini membuatnya tidak mematuhi hukum Ohm.
- Termistor: Termistor adalah komponen yang hambatannya berubah seiring dengan perubahan suhu. Hambatannya akan menurun ketika suhu naik. Rangkaian termistor dan resistor sering digunakan untuk mengatur suhu dalam aplikasi seperti radiator mobil.
Hambatan Jenis

Ketika kita membuat rangkaian listrik tertutup, kawat tembaga sering digunakan sebagai penghantar listrik. Namun, selain jenis kawat, ukuran kawat juga memiliki peranan penting dalam penghantar listrik. Hambatan jenis adalah besaran fisis yang mengukur karakteristik kawat dalam kelistrikan. Hambatan jenis menyatakan hambatan yang dimiliki oleh kawat penghantar sepanjang satu meter tiap luas penampang 1 m2.
Rumus Hambatan Jenis:

Di mana:
R adalah hambatan kawat (ohm)
rho adalah hambatan jenis kawat (ohm m)
l adalah panjang kawat (meter)
A adalah luas penampang kawat (m2)
Semakin kecil hambatan jenis sebuah kawat logam, semakin rendah pula hambatannya, sehingga semakin baik kawat tersebut dijadikan sebagai penghantar listrik.
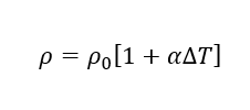
Hambatan jenis konduktor dan bahan semikonduktor dapat dipengaruhi oleh perubahan suhu. Pada konduktor, hambatan jenis meningkat seiring dengan kenaikan suhu. Namun, pada bahan semikonduktor, hambatan jenis mengalami penurunan ketika suhu meningkat.
Hubungan Hambatan Jenis dengan Perubahan Suhu:

Ketika hambatan jenis bergantung pada suhu, kita juga dapat menghubungkannya dengan rumus hambatan:

Daya Listrik

Sobat mungkin pernah melihat spesifikasi watt pada berbagai produk elektronik seperti lampu, speaker, setrika, mesin cuci, dan televisi. Satuan watt (W) merupakan satuan yang digunakan untuk mengukur daya listrik. Daya listrik adalah energi yang digunakan atau dihasilkan oleh suatu komponen dalam jangka waktu tertentu.
Konsep daya listrik serupa dengan konsep daya pada bab mekanika, yaitu energi per satuan waktu. Dalam kelistrikan, jika suatu komponen dihubungkan dengan sumber tegangan, muatan dalam komponen akan bergerak dari potensial tinggi ke potensial yang lebih rendah. Energi potensial yang dimiliki oleh muatan dalam beda potensial dapat dihitung menggunakan rumus:
E = q x V
Daya listrik dapat dinyatakan dalam persamaan:

Daya listrik merupakan energi yang digunakan oleh suatu komponen dalam satuan waktu. Daya listrik dapat dinyatakan dalam rumus:
P = V x I
Di mana:
P adalah daya listrik dalam watt (W)
V adalah tegangan dalam volt (V)
I adalah arus listrik dalam ampere (A)
Substitusikan persamaan hambatan, sehingga daya listrik juga dapat dinyatakan dengan:

Besar daya listrik yang digunakan di rumah biasanya dinyatakan dalam kWh (kilo watt hour). Ini mengukur total daya yang digunakan dalam waktu tertentu. Setiap kWh dibebankan biaya tertentu, jadi semakin besar konsumsi daya listrik, semakin besar biaya yang harus dikeluarkan.
1.
Kerjakan soal berikut ini dengan tepat!

Buah resistor masing-masing memiliki hambatan 2 ohm dan 2 ohm yang dirangkai secara seri. Selanjutnya, kedua hambatan dirangkai dengan tegangan baterai yang nilainya 6 volt. Berapa nilai kuat arus listrik yang mengalir pada kedua hambatan tersebut?
A. 1,0 A
B. 1,5 A
C. 2,0 A
D. 2,5 A
E. 3,0 A
JAWABAN BENAR
B.
1,5 A
PEMBAHASAN
R1 = 2 ohm
R2 = 2 ohm
V = 6 volt
Rtotal = R1+R2
= 2+2
= 4 ohm
I = V/R
I = 6/4
I = 1,5 A
2.
Kerjakan soal berikut ini dengan tepat!

Diketahui besarnya R1 = 6 Ohm, R2 = 6 Ohm, dan R3 = 6 Ohm. Jika tegangan totalnya 14 Volt, tentukan tentukan besarnya arus yang mengalir pada R3!
A. 1,5 A
B. 2,3 A
C. 3,2 A
D. 4,1 A
E. 5,0 A
JAWABAN BENAR
B.
2,3 A
PEMBAHASAN
1/Rp = 1/6 + 1/6 + 1/6
Rp = 2 ohm
Selanjutnya, tentukan besarnya I3 berdasarkan persamaan hukum Ohm.
I3 = V/R3
I = 14/6
I = 2,3 A
3.
Kerjakan soal berikut ini dengan tepat!
Hubungan antara kuat arus (I) dan tegangan (V) pada ujung-ujung resistor diperlihatkan pada gambar di bawah.

Berapakah beda potensial ujung-ujung resistor jika dilalui arus 0,08 A?
A. 3 V
B. 4 V
C. 7 V
D. 9 V
E. 12 V
JAWABAN BENAR
E.
12 V
PEMBAHASAN
I1 = 0,02 A
V1 = 3 Volt
I2 = 0,8 A
R = V I = (3) (0,02) =150 ohm
Dari nilai R ini dapat ditentukan V sebagai berikut
V = I R = (0,08) (150) = 12 V
4.
Kerjakan soal berikut ini dengan tepat!

Jarak voltmeter AC menunjukkan angka 80. Apabila batas ukur 300 volt,tegangan pada saat pengukuran sebesar ....
A. 100 V
B. 150 V
C. 200 V
D. 250 V
E. 275 V
JAWABAN BENAR
C.
200 V
PEMBAHASAN

5.
Kerjakan soal berikut ini dengan tepat!
Diantara faktor – faktor berikut ini:
- Panjang penghantar
- Luas penampang penghantar
- Hambatan jenis
- Massa jenis
Yang mempengaruhi hambatan penghantar adalah…
A. (1), (2), dan (3)
B. (1), (2), (3), dan (4)
C. (1), dan (3)
D. (2) dan (4)
E. (4) saja
JAWABAN BENAR
A.
(1), (2), dan (3)
PEMBAHASAN
Hambatan penghantar dituliskan dalam persamaan

Berdasarkan persamaan di atas, hambatan penghantar dipengaruhi oleh panjang penghantar (I), hambatan jenis (p), dan luas penampang penghantar (A).
6.
Jawablah soal berikut ini!
Sebuah resistor dengan hambatan 10 Ohm dilewati oleh arus sebesar 2A. Daya yang dipancarkan oleh resistor tersebut adalah....
A. 10W
B. 20W
C. 30W
D. 40W
E. 50W
JAWABAN BENAR
D.
40W
PEMBAHASAN
Daya (P) yang dipancarkan oleh resistor dapat dihitung dengan rumus:

7.
Jawablah soal berikut ini!
Sebuah resistor memiliki tegangan 10 V dan arus yang mengalir sebesar 2 A. Berdasarkan hukum Ohm, besar hambatan resistor tersebut adalah....
A. 2 Ohm
B. 3 Ohm
C. 4 Ohm
D. 5 Ohm
E. 6 Ohm
JAWABAN BENAR
D.
5 Ohm
PEMBAHASAN
Menurut hukum Ohm, hambatan (R) didefinisikan sebagai perbandingan antara tegangan (V) dan arus (I):

Oops!!!
Yah, jawaban kamu meleset nih. Ingin melihat pembahasan soal ini?
BENAR!!!
Selamat!
Jawaban kamu benar. Ingin lihat pembahasan soal ini?
footer_v3
Bersama Aku Pintar temukan jurusan kuliah yang tepat
sesuai minat dan bakatmu.
Aku Pintar memiliki visi membuat pendidikan merata, mudah dijangkau, dan terjangkau dengan Program Journey Pintar yang merupakan sebuah program persiapan lengkap bagi siswa SMA/SMK/sederajat yang ingin masuk ke perguruan tinggi impiannya.
Kontak Kami
Grand Slipi Tower Lt. 42
Jl. S. Parman Kav 22-24
Jakarta Barat
© 2024 Aku Pintar. All Rights Reserved