Belajar Pintar Materi SMP, SMA, SMK
BelajarPintarV3
Fisika
Listrik Statis
MATERI
Kapasitor Keping Sejajar

Kapasitor adalah salah satu komponen elektronik yang memiliki kemampuan untuk menyimpan muatan listrik. Kapasitor keping sejajar, seperti yang digunakan pada layar sentuh kapasitif, terdiri dari dua lapisan konduktor yang dipisahkan oleh bahan dielektrik isolator. Kapasitor ini bekerja berdasarkan prinsip kapasitansi, yang merupakan kemampuan untuk menyimpan muatan listrik.
Rumus Kapasitansi Kapasitor:

Di mana:
C adalah kapasitansi kapasitor (farad)
permitivitas bahan atau permitivitas medium
A adalah luas penampang keping (meter persegi)
d adalah jarak antar keping (meter)
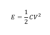
Ketika kapasitor keping sejajar telah terisi muatan hingga mencapai tegangan sumber, energi listrik tersimpan di dalamnya. Energi yang tersimpan E dapat dihitung dengan rumus:

Di mana:
E adalah energi yang tersimpan (joule)
C adalah kapasitansi kapasitor (farad)
V adalah tegangan sumber (volt)
Rangkaian Kapasitor

Dalam dunia teknologi modern, kapasitor menjadi komponen penting dalam berbagai perangkat elektronik. Kapasitor yang tersedia di pasaran memiliki beragam bentuk, jenis, ukuran, dan kapasitansi. Kapasitansi merupakan kemampuan kapasitor untuk menyimpan muatan listrik. Biasanya, kapasitor diberi label nilai kapasitansinya, yang diukur dalam satuan farad (F).
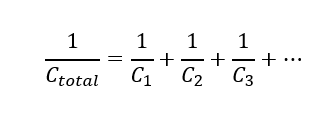
- Rangkaian Seri Kapasitor
Rangkaian seri terjadi ketika beberapa kapasitor disusun dalam barisan. Dalam rangkaian seri, kapasitor-kapasitor ini saling berbagi muatan, tetapi tegangan pada masing-masing kapasitor dapat berbeda. Namun, tegangan total pada rangkaian seri adalah hasil penjumlahan tegangan pada masing-masing kapasitor:
Rumus Tegangan Total pada Rangkaian Seri:
Vtotal = V1 + V2 + V3 + …
Rumus Kapasitansi Total pada Rangkaian Seri:

- Rangkaian Paralel Kapasitor
Pada rangkaian paralel, beberapa kapasitor dihubungkan pada ujung-ujung positif yang sama dan pada ujung-ujung negatif yang sama. Ini mengakibatkan muatan total terbagi di antara kapasitor-kapasitor tersebut, namun tegangan pada masing-masing kapasitor sama.
Rumus Tegangan yang Sama pada Rangkaian Paralel:
Vtotal = V1 = V2 = V3 = …
Rumus Kapasitansi Total pada Rangkaian Paralel:
Ctotal = C1 + C2 + C3 + …
Konsep rangkaian kapasitor memiliki aplikasi yang luas dalam dunia teknologi elektronik. Dalam produksi produk elektronik, kadang-kadang dibutuhkan nilai kapasitansi yang spesifik. Untuk mencapai nilai ini, kapasitor-kapasitor dapat digabungkan dalam konfigurasi rangkaian seri atau paralel sesuai dengan kebutuhan.
1.
Kerjakan soal berikut ini dengan tepat!
Pada suatu kapasitor mempunyai kapasitas yang besar yakni 0,6 Mikrofarad dan bermuatan dengan baterai berkapasitas 25 Volt. Maka berapakah besar muatan yang terdapat dalam Kapasitor tersebut?
A. 1,5 x 10-5
B. 2,5 x 10-5
C. 3,5 x 10-5
D. 4,5 x 10-5
E. 5,5 x 10-5
JAWABAN BENAR
A.
1,5 x 10-5
PEMBAHASAN

2.
Kerjakan soal berikut ini dengan tepat!
Lima buah kapasitor memiliki kapasitas yang sama, yaitu 3 Mikrofarad. Jika kelimanya disusun secara paralel lalu dihubungkan dengan beda potensial 4 volt, berapakah besarnya muatan listrik yang tersimpan di dalamnya?
A. 30 Mikrocoulomb
B. 40 Mikrocoulomb
C. 50 Mikrocoulomb
D. 60 Mikrocoulomb
E. 70 Mikrocoulomb
JAWABAN BENAR
D.
60 Mikrocoulomb
PEMBAHASAN
C1= C2 = C3 = C4 = C5 = 3 Mikrofarad
V = 4 volt
Ctotal = C1+ C2 + C3 + C4 + C5
= 3 + 3 + 3 + 3 + 3 = 15
q = C . V
q = 15 . 4
q = 60 Mikrocoloumb
3.
Kerjakan soal berikut ini dengan tepat!
Dua buah kapasitor masing-masing 6 Mikrofarad disusun seri dengan beda potensial 100 V. Berapa energi yang tersimpan dalam sistem tersebut?
A. 1,5 x 10-2
B. 2,5 x 10-2
C. 3,5 x 10-2
D. 4,5 x 10-2
E. 5,5 x 10-2
JAWABAN BENAR
A.
1,5 x 10-2
PEMBAHASAN
Kita cari dulu kapasitas kapasitor pengganti untuk rangkaian seri tersebut

Energi yang tersimpan dalam sistem:

4.
Kerjakan soal berikut ini dengan tepat!
Kemampuan kapasitor untuk menyimpan muatan disebut? …
A. Konstanta kapasitor
B. Kapasitas kapasitor
C. Kerangka kapasitor
D. Kualitas kapasitor
E. Kemampuan kapasitor
JAWABAN BENAR
B.
Kapasitas kapasitor
PEMBAHASAN
Kapasitor berfungsi sebagai komponen elektronik yang digunakan untuk menyimpan muatan listrik. Kemampuan kapasitor untuk menyimpan muatan disebut dengan kapasitas kapasitor.
5.
Kerjakan soal berikut ini dengan tepat!
Terdiri dari berapa kapasitor yang diletakan berdekatan tapi tidak saling bersentuhan?
A. satu keping sejajar
B. dua keping sejajar
C. tiga keping sejajar
D. empat keping sejajar
E. lima keping sejajar
JAWABAN BENAR
B.
dua keping sejajar
PEMBAHASAN
Kapasitor pada umumnya terdiri dari dua keping sejajar yang diletakkan berdekatan tetapi tidak saling bersentuhan.
Oops!!!
Yah, jawaban kamu meleset nih. Ingin melihat pembahasan soal ini?
BENAR!!!
Selamat!
Jawaban kamu benar. Ingin lihat pembahasan soal ini?
footer_v3
Bersama Aku Pintar temukan jurusan kuliah yang tepat
sesuai minat dan bakatmu.
Aku Pintar memiliki visi membuat pendidikan merata, mudah dijangkau, dan terjangkau dengan Program Journey Pintar yang merupakan sebuah program persiapan lengkap bagi siswa SMA/SMK/sederajat yang ingin masuk ke perguruan tinggi impiannya.
Kontak Kami
Grand Slipi Tower Lt. 42
Jl. S. Parman Kav 22-24
Jakarta Barat
© 2024 Aku Pintar. All Rights Reserved